Влияние РН и концентрации индифферентного электролита на агрегативную устойчивость водного золя детонационного наноалмаза
- Authors: Волкова А.В.1, Белобородов А.А.1, Водолажский В.А.1, Голикова Е.В.1, Ермакова Л.Э.1
-
Affiliations:
- Санкт-Петербургский государственный университет
- Issue: Vol 86, No 2 (2024)
- Pages: 169-192
- Section: Articles
- Submitted: 07.07.2024
- Accepted: 07.07.2024
- Published: 15.03.2024
- URL: https://ogarev-online.ru/0023-2912/article/view/259138
- DOI: https://doi.org/10.31857/S0023291224020031
- EDN: https://elibrary.ru/DHNPYD
- ID: 259138
Cite item
Full Text
Abstract
Экспериментально и теоретически в рамках классической и расширенной теории ДЛФО изучена коагуляция полидисперсного водного золя детонационного наноалмаза (ДНА), содержащего первичные агрегаты с преимущественным средним размером в диапазоне 20–200 нм, в зависимости от концентрации индифферентного электролита (NaCl) и потенциалопределяющих ионов (рН). Показано, что заряжение поверхности частиц ДНА происходит вследствие ионизации ионогенных амфотерных гидроксильных и кислотных карбоксильных групп на поверхности частиц ДНА. Определенное значение рН изоэлектрической точки частиц ДНА составило 7.5 ед. рН. Установлено, что основной фактор стабилизации водного золя ДНА электростатический. Показано, что теоретическое описание устойчивости и коагуляции золя возможно в рамках обобщенной теории ДЛФО при использовании эффективной константы Гамакера для первичных пористых агрегатов и учете исходной полидисперсности частиц ДНА.
Full Text
ВВЕДЕНИЕ
Количество ежегодных публикаций по теме ДНА, в которых термин “наноалмазы (nanodiamonds)” указан в ключевых словах, за последние двадцать лет выросло примерно в 30 раз. Благодаря высокой биосовместимости, низкой цитотоксичности (минимальной среди углеродных наноструктур), высокой удельной поверхности, маленькому размеру первичных частиц 4–5 нм, способности к флуоресценции и возможности функционализации поверхности, с начала XXI века наблюдается всевозрастающий интерес к использованию ДНА в биомедицинских целях [1–3]. Наночастицы детонационного алмаза рассматриваются как перспективный материал для применения в качестве носителя в системах адресной доставки биологически активных и лекарственных веществ [4, 5], флуоресцентного маркера [5–7], контрастного агента для магнитно-резонансной томографии (МРТ) [8–11], биосенсоров [12]. Открывающиеся перспективы успешного применения ДНА в биомедицине обуславливают значимость и актуальность исследования процессов агрегации в разбавленных водных дисперсиях детонационных наноалмазов в зависимости от факторов, определяющих возможность получения агрегативно устойчивых нанозолей ДНА (состав и концентрация солевого фона и рН, полидисперсность золей и т. д.), а также их стабильность и функциональные свойства при введении в организм. С другой стороны, гидрозоли наноалмаза, как отмечается, например, в работе [13], могут служить идеальной модельной системой для теоретического изучения процессов агрегации и структурообразования в разбавленных и концентрированных нанодисперсных системах, что необходимо для развития существующих теорий устойчивости.
Следует отметить, что большая часть существующих к настоящему времени работ посвящена изучению агрегативной устойчивости водных золей либо только отрицательно, либо только положительно заряженных частиц ДНА, то есть величины заряда поверхности и дзета-потенциала не меняют знак при изменении рН среды. Экспериментально и теоретически изучают электролитную коагуляцию золей как первичных наночастиц ДНА (4–5 нм), так и полидисперсных золей, содержащих главным образом первичные агрегаты наночастиц ДНА. Однако при описании коагуляционного поведения последнего типа золей в рамках теории ДЛФО не принимается во внимание возможная роль полидисперсности в их устойчивости и возможное различие величин константы Гамакера для пористого агрегата и монолитной наночастицы.
Влияние состава и концентрации неорганического электролита на устойчивость и коагуляцию разбавленных (содержание твердой фазы ϕ < 0.2 вес. %) золей ДНА, полученных из концентрированного нанозоля с положительно заряженными частицами размером 3–4 нм, достаточно детально исследовано в работах [14–17]. Установлено, что коагуляция гидрозоля ДНА, содержащего преимущественно агрегаты наночастиц, растворами неорганических солей подчиняется классическому правилу Шульце–Гарди и может быть описана с точки зрения классической теории ДЛФО. Следует отметить, что при теоретическом изучении коагуляции золей с положительно заряженными частицами ДНА в вышеприведенных работах не рассматривается влияние граничных слов (ГС) воды на агрегативную устойчивость гидрозолей ДНА.
При этом исследование гидратации частиц ДНА является предметом особого интереса ученых с тех пор, как существование оболочки из молекул воды толщиной в 2–4 слоя (толщина ГС воды у 5 нм частицы составляет порядка 10% от ее размера) вокруг наночастиц отрицательно заряженного детонационного алмаза было предположено в работах [18, 19]. В работах [20, 21] показано, что ориентация молекул воды первого сольватного слоя зависит от знака дзета-потенциала частицы. В отличие от положительно заряженного ДНА, для отрицательно заряженных частиц большая часть водородных связей между молекулами воды разрушена из-за их электростатического взаимодействия с карбоксильными группами. Образование первого гидратного слоя у поверхности гидрированного детонационного алмаза объяснятся фактом накапливания избытка электронов на межфазной границе “частица ДНА – вода”, стабилизируемого молекулами воды. Причем для положительно заряженных частиц гидрированного ДНА, содержащих на поверхности гидрофобные CHx-группы, степень гидрофильности оказывается даже выше, чем для частиц ДНА с карбоксильными и гидроксильными поверхностными функциональными группами. Существенное различие в структуре и свойствах ГС разноименно заряженных частиц ДНА также отмечается в работе [22]. Согласно [13, 23], межчастичное расстояние в разбавленных гидрозолях детонационного алмаза много больше, чем ожидалось бы при действии только сил ионно-электростатического отталкивания вследствие того, что частицы связаны между собой через слои воды.
В связи с вышесказанным, несмотря на то, что необходимость учета влияния существования ГС воды на устойчивость и агрегацию разбавленных дисперсий ДНА очевидна, работ в данном направлении к настоящему моменту относительно немного. При этом в них рассматривается вклад структурной составляющей в суммарную энергию парного взаимодействия частиц преимущественно окисленного детонационного алмаза (расширенная теория ДЛФО) [24–28]. В работе [26] было показано, что соотношение порогов коагуляции дисперсии отрицательно заряженных частиц ДНА со средним размером агрегатов наночастиц 300 нм не подчиняется правилу Шульце–Гарди. Следовательно, агрегативная устойчивость ДНА обеспечивается не только электростатическим фактором, но и дополнительным к нему, обусловленным гидратацией частиц, причем в кислой области рН устойчивость в основном определяется структурными силами отталкивания, а при рН 7 и выше основной вклад в устойчивость системы вносит электростатический фактор. Увеличение температуры приводит к уменьшению толщины ГС воды, что обуславливает коагуляцию частиц [27]. В работах [24, 25, 28] также показано, что основные изменения агрегативного поведения гидрозолей ДНА, преимущественно состоящих из устойчивых агрегатов первого рода, под влиянием электролитов вполне согласуются с данными расчетов по расширенной теории ДЛФО. При этом устойчивость гидрозоля монодисперсного детонационного наноалмаза с отрицательно заряженными частицами размером 4–5 нм, как отмечается в работе [29], может быть объяснена как с позиции классической, так и обобщенной теории ДЛФО, при этом коагуляция, вероятнее всего, протекает в ближнем потенциальном минимуме по барьерному механизму. В пользу существования стабилизирующего структурного (гидратационного) фактора свидетельствует и заметное уменьшение порогов коагуляции золей положительно заряженных частиц ДНА при переходе от воды и протофильных (катионофильных) растворителей к протофобным (катионофобным) [30]. Как видно, учет вклада протяженных ГС воды в устойчивость гидрозолей ДНА при теоретическом описании протекающих в них процессов агрегации в большинстве случаев необходим, что, в свою очередь, порождает проблему неопределенности параметров структурной составляющей энергии парного взаимодействия частиц ДНА.
В связи с вышесказанным, целью настоящей работы было экспериментальное и теоретическое изучение агрегативной устойчивости разбавленного полидисперсного водного золя ДНА в зависимости от концентрации индифферентного противоиона при естественном рН 5.8 раствора соли (NaCl), когда частицы золя заряжены положительно, и от концентрации потенциалопределяющих ионов (рН 4–11.5) при постоянном солевом фоне (10–3 М NaCl), когда при увеличении рН изменяется как величина, так и знак заряда поверхности частиц ДНА; теоретическое описание процессов коагуляции в золях ДНА с учетом полидисперсности исходного гидрозоля, пористости первичных агрегатов и степени гидрофильности поверхности частиц ДНА.
ЭКСПЕРИМЕНТАЛЬНАЯ ЧАСТЬ
В качестве объекта исследования использовали порошок промышленного ДНА производства СКТБ “Технолог” (Санкт-Петербург, Россия), полученный при детонации тетрила. Для удаления ионных примесей исходный порошок был дополнительно трехкратно очищен методом электродиализа. Для этого была приготовлена 2.5 мас. % водная дисперсия ДНА. После каждой стадии очистки полученную дисперсию центрифугировали, воду сливали. Далее образец сушили при 80°C до полного испарения оставшейся воды и затем при 120°C в течение 2 ч. Высушенный порошок тщательно растирали в агатовой ступке и снова диспергировали в деионизированной воде с использованием ультразвуковой ванны марки “РОЛТЕК” УЗВ – 7/100 – ТНМ при 60 кГц в течение 30 мин для следующего цикла очистки.
Величина удельной поверхности Sуд порошка, определенная методом БЭТ по тепловой десорбции азота с хроматографической регистрацией, составила 270 м2/г. Средний размер первичных наночастиц do, вычисленный по формуле:
do = 6/rSуд, (1)
где ρ = 3.52 г/м3 – плотность ДНА, составил 6.3 нм.
Фазовый состав и состав поверхности частиц ДНА были определены методами рентгенофазового анализа (РФА), рентгеновской фотоэлектронной спектроскопии (РФЭС), ИК-Фурье спектроскопии и спектроскопии комбинационного рассеяния (КР).
Рентгенофазовый анализ был выполнен в Ресурсном центре “Рентгенодифракционные методы исследования” с использованием настольного автоматического порошкового дифрактометра Bruker “D2 Phaser” (Bruker AXS, Германия). Идентификация фаз проводилась с помощью программного комплекса PDXL 2.0 с использованием базы порошковых дифракционных данных Powder Diffraction File (PDF-2, 2011) (Rigaku). Также методом полнопрофильного анализа (метод Ритвельда) с помощью структурных данных из базы Inorganic Crystal Structure Database (ICSD, 2021/2) было проведено определение размера кристаллита с использованием программного комплекса TOPAS.
Анализ порошка ДНА методом рентгеновской фотоэлектронной спектроскопии был осуществлен с использованием комплексного фотоэлектронного и растрового оже-электронного спектрометра Thermo Fisher Scientific Escalab 250Xi (Thermo Fisher Scientific, Великобритания) в Ресурсном центре Научного парка СПбГУ “Физические методы исследования поверхности”.
Спектр комбинационного рассеяния света получен на приборе Senterra (Bruker, Германия) в геометрии обратного рассеяния в Ресурсном центре Научного парка СПбГУ “Оптические и лазерные методы исследования вещества”. Возбуждение комбинационного рассеяния осуществлялось с использованием внешнего твердотельного лазера с длиной волны 532 нм. Фокусировка лазерного излучения осуществлялась 20× объективом (числовая апертура 0.4), мощность на образце под объективом составляла 0.6 мВт (на входе в прибор 2 мВт). Регистрация спектра осуществлялась в диапазоне 45–4400 см–1. Для съемки спектра использовалась дифракционная решетка 400 шт./мм, апертура – прямоугольная 25×1000 мкм. Время съемки однократного спектра – 150 с, число усреднений – 6.
Спектр ИК-поглощения был получен методом нарушенного полного внутреннего отражения (НПВО) на ИК-Фурье спектрометре Nicolet 8700 (Thermo Scientific, США) с приставкой НПВО (Smart iTR) с алмазным кристаллом в РЦ “Оптические и лазерные методы исследования вещества”. В качестве детектора использовался дейтерированный триглицинсульфатный (ДТГС) детектор. Разрешение составляло 4 см–1. Представленный спектр является усреднением по 250 сканам. Апертура составляла 75% от максимальной. В качестве аподизирующей функции была использована функция Блэкмана–Харриса. Фазовая коррекция проведена по методу Мерца. Спектр после вычитания базовой линии, вызванной рассеянием, был приведен по максимальному значению в области валентных колебаний ОН-групп.
Для получения исходно седиментационно и агрегативно устойчивого гидрозоля ДНА была приготовлена 0.25 мас. % водная дисперсия. Для этого очищенный порошок ДНА был диспергирован в деионизированной воде с использованием ультразвуковой ванны марки “РОЛТЕК” УЗВ – 7/100 – ТНМ при 60 кГц в течение 2 ч. Полученная суспензия отстаивалась в течение двух недель, после чего верхний тонкодисперсный слой был отобран и разбавлен деионизированной водой таким образом, чтобы оптическая плотность полученного золя, разбавленного в два раза, составляла 0.18 ± 0.01 (при длине волны света 380 нм). Полученный золь сохранял свою дисперсность в течение всего времени эксперимента (около двух месяцев).
С помощью метода анализа траектории частиц на приборе NanoSight NS300 (Malvern, Великобритания) была определена частичная концентрация исходного разбавленного золя ДНА, а также получено распределение частиц по размерам.
Морфология и дисперсность частиц исходного гидрозоля были изучены методом сканирующей электронной микроскопии (СЭМ) с использованием сканирующего электронного микроскопа Carl Zeiss Merlin (Carl Zeiss Merlin, Германия) в Междисциплинарном ресурсном центре по направлению “Нанотехнологии” Научного парка СПбГУ.
В работе изучали влияние концентрации индифферентного электролита NaCl (5 × 10–4 М–10–1 М) при естественном рН (рНест) 5.8–6.0 и влияние рН (4–11.5) в растворе с постоянной концентрацией (10–3 М) хлорида натрия на агрегативную устойчивость разбавленного гидрозоля ДНА. Для изучения процесса коагуляции при изменении концентрации индифферентного и потенциалопределяющего ионов (ПОИ) были использованы методы турбидиметрии и динамического рассеяния света (ДРС). Кинетические зависимости оптической плотности (D) водного золя ДНА получали с помощью фотоэлектрокалориметра КФК-3-01 в кювете длиной 5 см и шириной 2 см при длине волны 380 нм. Измерения проводили в течение 15 мин. Детальное описание методики эксперимента приведено в работе [31].
Распределения частиц по размерам, величины электрофоретической подвижности (Ue) и дзета-потенциала (ζ-потенциал) частиц ДНА в исходном водном золе, а также в дисперсиях по окончании измерений оптической плотности (примерно через 20 мин после добавления к золю электролита) были определены методом ДРС и лазерного доплеровского электрофореза, соответственно, на анализаторе Zetasizer Nano ZS (Malvern Instruments, Великобритания). Измерения проводили в универсальной капиллярной U-образной кювете (DTS1070) с интегрированными позолоченными электродами с предварительным термостатированием в течение 2 мин при 20°C. Погрешность определения значений Ue составила ± 0.1–0.2 м2/(Вс). Из экспериментально найденных значений электрофоретической подвижности в рамках модели Овербека – Буса – Вирсемы [32] для наименьших значений электрокинетического радиуса kа (где k – параметр Дебая, а – радиус первичной наночастицы) с учетом поляризации двойного электрического слоя были рассчитаны значения электрокинетического потенциала (ζW).
Для приготовления растворов и дисперсий использовалась деионизированная вода, удельная электропроводность которой не превышала 1.5 × 10–6 Ом–1см–1 (система очистки воды Аквалаб AL Plus). Необходимые значения рН задавали с помощью 3 × 10–2 М и 10–1 М растворов соляной кислоты и гидроксида натрия. рН среды измеряли с помощью рН-метра SevenMulti (Mettler Toledo).
Для выяснения характера наблюдаемой устойчивости и коагуляции водного золя ДНА были проведены расчеты энергии парного взаимодействия частиц (V) по классической [33–35] (формула (2)) и обобщенной теории ДЛФО [36–38] (формула (3)).
(2)
(3)
где VЕ, VM и VS – ионно-электростатическая, дисперсионная и структурная составляющие энергии взаимодействия частиц соответственно.
Расчет суммарной энергии парного взаимодействия проводили в предположении сферической формы частиц. Энергию ионно-электростатического взаимодействия одинаковых частиц при условии постоянства потенциала рассчитывали для симметричного электролита по формуле Ошимы, Хили и Уайта [39]:
(4)
в которой выражение для имеет вид:
(5)
(6)
(7)
где h – расстояние между поверхностями частиц, а – радиус частиц, ε – относительная диэлектрическая проницаемость раствора, ε0 – абсолютная диэлектрическая постоянная вакуума, С – концентрация электролита в растворе, γ+ – безразмерный потенциал частиц, κ – параметр Дебая, z – кратность заряда противоиона электролита, e – элементарный заряд, I – ионная сила электролита, ψ – потенциал диффузной части двойного электрического слоя (ДЭС) (ψ = ψd). В расчетах принимали, что ψ – потенциал частиц равен их электрокинетическому потенциалу.
Расчет молекулярной составляющей проводили согласно микроскопической теории с учетом запаздывания дисперсионных сил [40, 41] по формулам (8) и (9):
при p < 0.5, (8)
при p > 0.5, (9)
где p = 2πh/λ, а λ – характеристическая длина волны материала частиц, А – константа молекулярных (дисперсионных) сил (константа Гамакера). Характеристическая длина волны частиц ДНА принималась равной 207 нм, константа Гамакера – 1.38 × 10–19 Дж [42].
Структурную составляющую энергии взаимодействия частиц, возникающую при перекрытии граничных слоев у поверхности сферических частиц, рассчитывали по формуле (10) [36, 43]:
(10)
здесь K – параметр интенсивности, l – длина корреляции.
На основе рассчитанных кривых энергии парного взаимодействия частиц ДНА проводили расчеты факторов устойчивости (W1) по уравнению (11) для “барьерного” механизма коагуляции [44–46]:
(11)
где u = (r-2a)/a – безразмерное относительное расстояние между частицами, r – расстояние между центрами взаимодействующих частиц, a – радиус частицы, β(u) – гидродинамический фактор, который может быть выражен следующим уравнением:
(12)
Фактор устойчивости (W2) для безбарьерного механизма коагуляции определяли по формуле (13) [45, 47]:
(13)
где W2 – фактор устойчивости при коагуляции в потенциальном минимуме по безбарьерному механизму, hmin – координата вторичного потенциального минимума.
Cуммарный фактор устойчивости (Wсум) по отношению к коагуляции в одном из потенциальных минимумов рассчитывали по формулам (14):
, при (14а)
, при (14б)
РЕЗУЛЬТАТЫ И ИХ ОБСУЖДЕНИЕ
Фазовый состав, состав поверхностных групп частиц ДНА и дисперсность исходного гидрозоля
На рис. 1 приведен ИК-Фурье спектр очищенного порошка ДНА. Интенсивная линия 3400 см–1 соответствует валентным колебаниям –ОН-групп, принадлежащих адсорбированной воде и поверхностным гидроксильным группам. Характерная полоса 1635 см–1 относится к деформационным колебаниям –ОН-группы. Полосы поглощения 2930 см–1 и 1350 см–1 соответствуют валентным и деформационным колебаниям С–H связей в алкильных CHx группах. Полоса 1730 см–1 относится к валентным колебаниям карбонильной группы С=O в составе карбоксильных, а также сложноэфирных, кетонных и альдегидных групп. Пик 1561 см–1 можно отнести к асимметричным валентным C=O колебаниям в составе депротонированной карбоксильной группы. Полоса с максимумом 1251 см–1 соответствует деформационным колебаниям C–O группы в эпоксидах и сложных эфирах. Полоса поглощения 1125 см–1 относится к валентным С–О колебаниям в составе С–О–С групп. При 1325 см–1 находится пик наноалмаза, соответствующий валентному колебанию связи С–С в кристаллической решетке ДНА [48–50].
Рис. 1. Спектр ИК-поглощения порошка ДНА с вычитанием базовой линии и приведением по максимуму в области валентных колебаний ОН-групп.
Согласно данным спектроскопии комбинационного рассеяния (рис. 2) и рентгенофазового анализа (рис. П1 Приложения), помимо фазы алмаза в исследуемом порошке содержится углерод в состоянии sp2-гибридизации, соответствующей фазе графита. Как видно из рис. 2, помимо пика 1328 см–1, характерного для наноалмаза, в спектре присутствует также широкий асимметричный пик с максимумом при 1630 см–1. Согласно [51], этот пик главным образом является суперпозицией G-линии углерода в sp2-состоянии, характерной для спектра КР образцов, содержащих фазу графита [52], и пиком, соответствующим деформационным ОН колебаниям адсорбированной на поверхности частиц воды или поверхностных функциональных ОН-групп.
Рис. 2. Спектр комбинационного рассеяния порошка ДНА.
Результаты деконволюции пиков C1s и O1s рентгенофотоэлектронного спектра порошка ДНА приведены на рис. 3а и 3б соответственно. Как видно из рис. 3а, пик с энергией связи 286.4 эВ соответствует атомам углерода в составе гидроксильных и эфирных групп [53–57]. Энергия связи 287.8 эВ отвечает за состояние атомов углерода в карбонильной [56, 57] или карбоксильной группе [53, 54]. Разложение O1s спектра (рис. 3б) показывает наличие в нем пиков с максимумами при 533.1 эВ – основной пик, соответствующий связи между атомами углерода и кислорода в С–О–С и С–О–Н группах, а также пик малой интенсивности c максимумом 530.5 эВ, который, по всей видимости, может соответствовать энергии связи С=О в карбонильной группе [55–58].
Рис. 3. Рентгеновский фотоэлектронный спектр С1s (а) и O1s (б) порошка ДНА.
Таким образом, согласно данным РФЭС, ИК-Фурье и Рамановской спектроскопии, поверхность частиц ДНА гетерогенна, главным образом, содержит ионогенные карбоксильные и гидроксильные функциональные группы, а также неионогенные углеводородные. Наличие ионогенных амфотерных ‒СОН и кислотных ‒СООН групп на поверхности частиц ДНА, их количество и степень ионизации определяет знак и величину заряда поверхности частиц наноалмаза в жидкой дисперсионной среде:
(15)
(16)
(17)
На рис. 4 приведены результаты определения размеров частиц исследуемого агрегативно и седиментационно устойчивого гидрозоля ДНА методом анализа траектории частиц. Видно, что исходный золь полидисперсен и содержит агрегаты первичных наночастиц ДНА, среди которых превалируют частицы с размером порядка 135 нм. Полученные данные хорошо согласуются с результатами ДРС, приведенными на рис. 5 (средний размер частиц dI из распределения интенсивности рассеянного света по размеру также составил 135 нм). Совместный анализ СЭМ-изображений частиц золя ДНА (рис. 6), распределений частиц по размерам, полученным методами анализа траектории частиц и ДРС, показал, что большая часть первичных агрегатов в исследуемом золе имеет размер в диапазоне от 20 до 200 нм и их форма близка к сферической (рис. 6). Условно этот диапазон можно разбить на две области 70–200 нм и 20–70 нм, в которых наиболее вероятными размерами агрегатов являются 135 нм и 45 нм (рис. 5) – средний диаметр частиц dN из распределения числа частиц по размеру соответственно. Эти размеры, наряду с размером первичной наночастицы 6.3 нм, использовались при расчете суммарной энергии парного взаимодействия частиц ДНА для того, чтобы учесть полидисперсность исходного гидрозоля. Частичная концентрация исходного водного золя ДНА составила (2.8 ± 0.9) × 1010 частиц/см3.
Рис. 4. Усредненное по трем измерениям распределение частиц по размерам водного золя ДНА, разбавленного в 50 раз, полученное методом анализа траектории частиц.
Рис. 5. Распределение частиц исходного водного золя ДНА по размерам, полученное методом ДРС.
Рис. 6. СЭМ-изображение частиц исходного водного золя ДНА.
Устойчивость гидрозоля ДНА в растворах NaCl при естественном значении рН
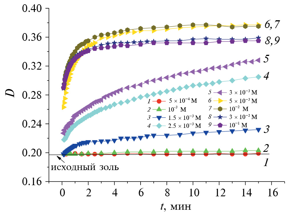
На рис. 7 представлены результаты изучения кинетики коагуляции водного золя ДНА при естественном значении рН (5.8–6.0) и различных концентрациях растворов хлорида натрия. Из рис. 7 видно, что исследуемый золь ДНА агрегативно устойчив при СNaCl ≤ 10–3 М, о чем свидетельствует постоянство оптической плотности в течение 15 мин наблюдения. При СNaCl ≥ 10–2 М ход зависимостей D – t характерен для протекания быстрой коагуляции (БК). В промежуточной области концентраций протекает медленная коагуляция (МК), скорость которой растет по мере увеличения концентрации растворов NaCl. Более точные значения порогов коагуляции были определены графически из концентрационных зависимостей оптической плотности золей, измеренной через 0.5 и 15 мин после добавления NaCl (рис. 8) [31]. Найденные таким образом значения порогов медленной Cмк и быстрой Сбк коагуляции золя ДНА составили 1.1 × 10–3 М и 7.4 × 10–3 М соответственно. Следует отметить достаточно узкую область медленной коагуляции золя и тот факт, что полученные значения Сб.к заметно ниже, чем для типичных ионно-стабилизированных коллоидов (~(1–3) × 10–1 М). Вероятно, это может быть связано с относительно высоким значением константы Гамакера частиц детонационного алмаза. Также обращает на себя внимание тот факт, что в отличие от полидисперсных золей оксидов (например, оксида циркония [31]), для которых достаточно характерно наличие областей слабой и интенсивной медленной коагуляции, зона слабой МК, в которой ожидается преимущественное протекание коагуляции первичных наночастиц, для золя ДНА не характерна. Вероятно, это может свидетельствовать о том, что первичных наночастиц ДНА в исследуемом золе практически не содержится.
Рис. 7. Зависимость оптической плотности гидрозоля ДНА от времени наблюдения при различных концентрациях растворов хлорида натрия и естественном значении рН (5.8–6.0).
Рис. 8. Зависимость оптической плотности водного золя ДНА от концентрации растворов NaCl для 0.5 (кривая 1) и 15 (кривая 2) минут наблюдения при естественном значении рН.
Нарушение агрегативной устойчивости гидрозоля ДНА под действием индифферентного электролита вызвано, по-видимому, в первую очередь уменьшением величины дзета-потенциала при увеличении концентрации NaCl вследствие сжатия диффузной части ДЭС (рис. 9). Следует отметить, что во всем исследованном концентрационном интервале при рН 5.8 величина электрокинетического потенциала положительна. По-видимому, при данном значении рН в растворах NaCl и заряд поверхности частиц ДНА положителен, и основной вклад в образование поверхностного заряда вносит поверхностная реакция (16).
Рис. 9. Зависимость дзета-потенциала (ζW) частиц ДНА от концентрации растворов хлорида натрия при естественном значении рН.
Расчеты энергии парного взаимодействия частиц ДНА при рНест и различных концентрациях NaCl проводили по классической и обобщенной теории ДЛФО, в последнем случае при расчете структурной компоненты энергии взаимодействия частиц варьировали параметр корреляционной длины структурных сил l ((1–3) нм). Расчеты проводили (как указано выше) для первичных наночастиц 6.3 нм, а также первичных агрегатов 45 нм и 135 нм.
Результаты расчета энергии парного взаимодействия для первичных частиц приведены на рис. 10 и в табл. П1 Приложения. Видно, что независимо от способа расчета первичные наночастицы должны медленно коагулировать по барьерному механизму уже в 5 × 10–4 М растворе хлорида натрия, а при концентрации NaCl 5 × 10–3 М – быстро. Результаты расчетов подтверждают высказанное ранее предположение о практически отсутствующих в исследуемом золе первичных наночастицах ДНА. В связи с этим в дальнейших расчетах взаимодействие первичных наночастиц не рассматривали.
Рис. 10. Зависимости энергии парного взаимодействия первичных наночастиц ДНА (6.3 нм) от расстояния при естественном значении рН и различных концентрациях растворов хлорида натрия. Расчет по расширенной теории ДЛФО. А = 1.38 × 10–19 Дж, K = 1 × 106 Дж/м3; l = 1.0 нм.
Результаты расчетов энергии парного взаимодействия для первичных агрегатов наночастиц ДНА по классической и обобщенной теории ДЛФО с константой Гамакера для пористых агрегатов, соответствующей монолитным частицам алмаза, представлены в табл. П2 и П3 Приложения. Анализ полученных результатов показал, что даже при учете структурной составляющей и варьировании значений длины корреляции не удается достигнуть соответствия между экспериментальными и теоретическими данными. Естественно предположить, что агрегаты частиц ДНА имеют плотность, отличную от плотности монолитных частиц наноалмаза. Пористость и морфология таких агрегатов зависят от ряда параметров изучаемой системы, в частности от их размеров, однако, не вдаваясь в детали этой проблемы, важно отметить, что при том или ином их строении (вряд ли отвечающем плотнейшей упаковке частиц) эффективная константа Гамакера частиц (то есть Аэфф, реально описывающая силы молекулярного взаимодействия неплотных агрегатов) будет меньше константы Гамакера монолитных частиц ДНА. В связи с этим далее при расчете молекулярных сил взаимодействия между агрегатами частиц ДНА использовали ряд вероятных эффективных констант Гамакера для разной степени рыхлости случайных свободных упаковок частиц ((0.58–0.86) × 10–19 Дж) (табл. П4–П7 Приложения).
Детальное сопоставление результатов расчета и эксперимента показали, что в принципе имеется область расчетных параметров (Аэфф, l), позволяющая объяснить устойчивость и коагуляцию золя ДНА, содержащего частицы двух указанных основных размеров. При этом объективно реальными представляются наименьшее значение эффективной константы Гамакера 0.58 × 10–19 Дж и величины корреляционной длины l ((1–3) нм). Подтверждением этого являются результаты, представленные на рис. 11 и рис. 12. Следует отметить, что при рассмотрении данных расчета учитывали как изменение высоты потенциального барьера при изменении концентрации NaCl, так и расчетные значения факторов замедления коагуляции.
Рис. 11. Зависимости энергии парного взаимодействия агрегатов ДНА (45 нм (а) и 135 нм (б)) от расстояния при естественном значении рН и различных концентрациях растворов хлорида натрия. Расчет по расширенной теории ДЛФО. Аэфф = 0.58 × 10–19 Дж, K = 1 × 106 Дж/м3; l = 1.0 нм.
Рис. 12. Зависимости относительной оптической плотности золя ДНА (при t = 0.5 минут) (кривая 1), размера частиц (при t = 20 минут) (кривая 2) и расчетного фактора агрегации (1/Wсум) для агрегатов с размером 135 нм (кривая 3) и 45 нм (кривая 4) от концентрации растворов NaCl. Расчетные параметры структурных сил: K = 106 Дж/м3, l = 1 нм; Аэфф = 0.58 ×10–19 Дж. Численные значения при точках (кривая 2) – доля (%) интенсивности света, рассеянного частицами данного размера (приведены для случая бимодального распределения).
Из зависимостей энергии парного взаимодействия частиц от расстояния между ними при разных концентрациях электролита (рис. 11) следует, что порогу быстрой коагуляции соответствует интервал концентраций NaCl, соответствующий исчезновению небольшого барьера отталкивания и переходу к области притяжения частиц на всех расстояниях между ними. Из данных рис. 12 следует очевидная корреляция между экспериментальными концентрационными зависимостями оптической плотности (t = 0.5 мин) и среднего размера частиц (t = 20 мин) и рассчитанными зависимостями суммарного фактора агрегации Wсум–1 от lgC для обозначенной группы параметров Аэфф и l и основных размеров первичных агрегатов в золе. Нетрудно заключить, что основным фактором стабилизации золя ДНА является электростатический. В рассмотренном интервале концентраций NaCl для основных размеров частиц коагуляция золя может протекать по барьерному, безбарьерному и смешанному механизмам. Последнее положение могут иллюстрировать, например, данные, представленные в табл. 1 и на рис. 11. При этом основной вклад в устойчивость золя вносят первичные агрегаты с меньшим размером (45 нм). Следует отметить, что в случае взаимодействия частиц промежуточных размеров результаты расчетов будут лишь количественно другими, при этом анализ парных взаимодействий частиц приведет к тому же заключению о характере коагуляции и о вполне удовлетворительном соответствии теории и эксперимента.
Таблица 1. Некоторые параметры суммарной зависимости энергии парного взаимодействия частиц ДНА (45 нм и 135 нм) oт расстояния, рассчитанные по классической и обобщенной теории ДЛФО, и факторы агрегации при естественном значении рН. Аэфф = 0.58 × 10–19 Дж
C, M | Параметры Vs | Vmax/kТ | hmax, нм | –Vmin/kТ | hmin, нм | W1 | W2 | d, нм | |
K × 106, Дж/м3 | l, нм | ||||||||
5 × 10–4 | 1 | 1 | 13.2 | 4.7 | 0.02 | 115.5 | 2.1 × 105 | 43.9 | 45 |
10–3 | 11.6 | 3.6 | 0.06 | 71.7 | 4 × 104 | 18.6 | |||
2.5 × 10–3 | 8.2 | 2.9 | 0.17 | 36.2 | 1.1 × 103 | 6.3 | |||
3 × 10–3 | 6.6 | 3.0 | 0.22 | 31.8 | 245 | 5.0 | |||
5 × 10–3 | 2.4 | 3.4 | 0.44 | 20.3 | 5.7*1 | 2.8 | |||
7 × 10–3 | 0.15 | 4.0 | 0.7 | 13.4 | 1.6* | 2.0 | |||
10–2 | Притяжение на всех расстояниях | 1 | |||||||
3 × 10–2 | |||||||||
5 × 10–4 | 0 | – | 13.1 | 4.9 | 0.02 | 115.5 | 1.6 × 105 | 43.9 | 45 |
10–3 | 11.3 | 4.2 | 0.06 | 71.7 | 2.5 × 104 | 18.6 | |||
2.5 × 10–3 | 7.2 | 3.7 | 0.17 | 36.8 | 190 | 6.3 | |||
3 × 10–3 | 6.0 | 3.75 | 0.23 | 31.8 | 124 | 5.0 | |||
5 × 10–3 | 2.0 | 4.2 | 0.44 | 20.3 | 3.9* | 2.8 | |||
10–2 | Притяжение на всех расстояниях | 1 | |||||||
3 × 10–2 | |||||||||
5 × 10–4 | 1 | 1 | 39.7 | 4.5 | 0.07 | 115.5 | 2.5 × 1016 | 15.1 | 135 |
10–3 | 35.0 | 3.6 | 0.16 | 71.7 | 2.1 × 1014 | 6.6 | |||
2.5 × 10–3 | 24.5 | 2.9 | 0.52 | 37.2 | 5.4 × 109 | 2.5 | |||
3 × 10–3 | 19.8 | 3.0 | 0.66 | 31.8 | 5.3 × 107 | 2.1 | |||
5 × 10–3 | 7.34 | 3.4 | 1.3 | 20.3 | 240 | 1.37 | |||
7 × 10–3 | 0.45 | 4 | 2.1 | 13.5 | 1.3* | 1.13 | |||
10–2 | Притяжение на всех расстояниях | 1 | |||||||
3 × 10–2 | |||||||||
1 * Расчет величины фактора устойчивости по барьерному механизму (W1*) при невысоких значениях барьера отталкивания (меньше 5 kТ) не корректен.
Важно заметить, что процесс коагуляции разноразмерных агрегатов, так же как и для частиц одного размера, протекает преимущественно в дальнем потенциальном минимуме по безбарьерному механизму (табл. 2). Причем именно для этого процесса, протекающего с большей скоростью, чем коагуляция одноразмерных частиц, и, следовательно, оказывающего большее влияние на устойчивость полидисперсного золя, расчетные параметры наилучшим образом соответствуют экспериментальным данным.
Таблица 2. Некоторые параметры суммарной зависимости энергии парного взаимодействия разноразмерных частиц ДНА (45 нм и 135 нм) oт расстояния, рассчитанные по обобщенной теории ДЛФО, и факторы агрегации при естественном значении рН. Аэфф = 0.58 ×10–19 Дж
C, M | Параметры Vs | Vmax/kТ | hmax, нм | –Vmin/kТ | hmin, нм | W1 | W2 | ζW, мВ | |
K × 106, Дж/м3 | l, нм | ||||||||
5 × 10–4 | 1 | 1 | 19.7 | 4.4 | 0.03 | 113.5 | 6.7 × 107 | 28.5 | 37.2 |
10–3 | 17.5 | 3.6 | 0.08 | 71.7 | 6.6 × 106 | 12.6 | 37.5 | ||
2.5 × 10–3 | 12.2 | 2.9 | 0.26 | 37.2 | 3.2 × 104 | 4.4 | 36.5 | ||
3 × 10–3 | 9.9 | 3.0 | 0.33 | 31.8 | 3.2 × 103 | 3.5 | 35.2 | ||
5 × 10–3 | 7.2 | 2.84 | 0.59 | 22.2 | 142 | 2.25 | 30.9 | ||
10–2 | Притяжение на всех расстояниях | 1 | 24.8 | ||||||
3 × 10–2 | 14.5 | ||||||||
Устойчивость водного золя ДНА при различных значениях концентрации ПОИ (рН)
Результаты изучения кинетики коагуляции водного золя ДНА при различных значениях рН в 10–3 М растворе хлорида натрия методом турбидиметрии представлены на рис. 13. Видно, что при уменьшении рН от его естественного значения 5.8 дисперсия остается агрегативно устойчивой. При рН > рНест в дисперсиях протекает коагуляция. Ход кривых свидетельствует о том, что при рН 6.61 и 11.5 протекает медленная коагуляция, причем при рН 11.5 более интенсивная, а при рН 8.66 – быстрая. Из рис. 14 видно, что изоэлектрическая точка частиц ДНА лежит при рН 7.5. В связи с этим при рН < 7.5 частицы золя положительно заряжены, а при рН > 7.5 – отрицательно (в предположении индифферентности NaCl). В данном случае положительный заряд при рН < 7.5 на поверхности ДНА, по всей видимости, обусловлен протонированием поверхностных гидроксильных групп.
Рис. 13. Зависимость оптической плотности от времени при различных значениях рН в 10–3 М растворе хлорида натрия.
Рис. 14. Зависимость электрокинетического потенциала (ζW) частиц гидрозоля ДНА от рН 10–3 М раствора хлорида натрия.
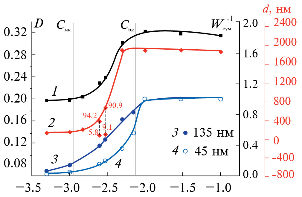
Как видно из рис. 15, данные по определению оптической плотности золя и среднего размера частиц в зависимости от рН при постоянном времени наблюдения хорошо согласуются между собой. При этом обращает на себя внимание тот факт, что как в области устойчивости, так и в случае наиболее интенсивной коагуляции (при 8.66 и 11.5) наблюдается бимодальное распределение частиц, что обусловлено полидисперсностью исходного золя ДНА. Как видно из рис. 16, устойчивый в 10–3 М растворе хлорида натрия при естественном рН 5.8 золь ДНА характеризуется двумя значениями наиболее вероятного размера частиц – 135 нм и 24 нм (dI) или 24 нм и 60 нм (dN). То, что в случае изучения устойчивости золя при рН 5.8 в 10–3 М растворе хлорида натрия наблюдался только один пик, соответствующий достаточно крупным агрегатам ДНА 135 нм, может быть объяснено особенностями метода ДРС при изучении полидисперсных образцов, содержащих как крупные, так и мелкие частицы. Следует отметить, при сопоставлении полученных данных с результатами СЭМ (рис. 6) видно, что основная фракция частиц золя, по всей видимости, имеет размер d ≤ 60 нм, а методом анализа траектории частиц “видны” не все частицы, соответственно, определенная частичная концентрация золя может быть занижена. Это допущение хорошо согласуется с результатами исследования устойчивости при рН 5.8 (рис. 12). При условии, что основной вклад в устойчивость золя вносят частицы со средним размером менее 60 нм, коагуляция более крупных частиц (по крайней мере в начальной области медленной коагуляции) на фоне сохранения дисперсности частиц с относительно небольшим размером может существенным образом не сказываться на наблюдаемой общей картине устойчивости золя ДНА. В связи с вышесказанным, далее при расчетах мы также принимали во внимание частицы с размерами 24 нм и 60 нм.
Рис. 15. Зависимость оптической плотности водного золя ДНА от концентрации растворов NaCl для 0.5 (кривая 1) и 15 (кривая 2) минут наблюдения, а также среднего размера частиц (t = 20 минут, кривая 3) при естественном значении рН. Численные значения при точках (кривая 3) – доля (%) интенсивности света, рассеянного частицами данного размера (приведены для случая бимодального распределения).
Рис. 16. Распределение частиц водного золя ДНА по размерам, полученное методом ДРС, в 10–3 М растворе NaCl при рН 5.8.
Результаты расчета потенциальной энергии парного взаимодействия частиц золя ДНА от расстояния между ними и соответствующие факторы устойчивости золя для барьерного и безбарьерного механизмов приведены в табл. 3 и 4. При этом использовались те же расчетные параметры Аэфф и l, что и при построении кривых V(h) на рис. 4. При рассмотрении данных расчета учитывали как изменение высоты потенциального барьера при изменении рН (в случае величины барьера меньше 5 kТ), так и расчетные значения факторов замедления коагуляции. Можно отметить, что расчетные значения фактора устойчивости W1 для относительно невысоких барьеров отталкивания частиц (данные в таблицах выделены курсивом) не согласуются в удовлетворительной степени с результатами изучения устойчивости золя.
Таблица 3. Некоторые параметры суммарной зависимости энергии парного взаимодействия агрегатов ДНА (45 и 135 нм) oт расстояния, рассчитанные по обобщенной теории ДЛФО, и факторы агрегации при различных значениях рН 10–3 М раствора хлорида натрия. Аэфф = 0.58 × 10–19 Дж
рН | Параметры Vs | Vmax/kТ | hmax, нм | –Vmin/kТ | hmin, нм | W1 | W2 | ζW, мВ | d, нм | |
K × 106, Дж/м3 | l, нм | |||||||||
4.08 (+) | 1 | 1 | 64.0 | 2.503 | 0.16 | 73.2 | >1026 | 6.6 | 47.4 | 135 |
5.34 (+) | 35.3 | 3.5 | 0.18 | 69.2 | >1014 | 6.23 | 37.8 | |||
5.8 (+) | 27.8 | 4.1 | 0.19 | 66.9 | 1.7 × 1011 | 5.9 | 34.8 | |||
6.6 (+) | 9.2 | 6.8 | 0.22 | 59.60 | 1.8 × 103 | 5.0 | 24.7 | |||
8.66 (–) | 22.6 | 4.5 | 0.19 | 65.1 | 109 | 5.6 | –32.5 | |||
11.5 (–) | 34.8 | 1.2 | 4.5 | 8.6 | 1013 | 1.0 | –54.9 | |||
4.08 (+) | 1 | 1 | 21.3 | 2.5 | 0.05 | 73.0 | 4.8 × 108 | 18.9 | 47.4 | 45 |
5.34 (+) | 11.8 | 3.5 | 0.06 | 69.2 | 4.3 × 104 | 17.5 | 37.8 | |||
5.8 (+) | 9.2 | 4.1 | 0.06 | 66.9 | 3.7 × 103 | 16.6 | 34.8 | |||
6.6 (+) | 3.2 | 6.8 | 0.07 | 59.0 | 11.7 | 14.0 | 24.7 | |||
8.66 (–) | 7.5 | 4.5 | 0.06 | 65.1 | 737 | 15.9 | –32.5 | |||
11.5 (–) | 11.6 | 1.2 | 1.5 | 8.6 | 7.7 × 103 | 1.3 | –54.9 | |||
Таблица 4. Некоторые параметры суммарной зависимости энергии парного взаимодействия агрегатов ДНА (24 и 60 нм) oт расстояния, рассчитанные по обобщенной теории ДЛФО, и факторы агрегации при различных рН 10–3 М раствора хлорида натрия. Аэфф = 0.58 × 10–19 Дж
рН | Параметры Vs | Vмах/kТ | hmax, нм | –Vmin,/kТ | hmin, нм | W1 | W2 | ζW, мВ | WΣ | d, нм | |
K × 106, Дж/м3 | l, нм | ||||||||||
4.08 (+) | 1 | 1 | 11.4 | 2.5 | 0.036 | 73.0 | 3.9 × 104 | 34.9 | 47.4 | 34.9 | 24 |
5.34 (+) | 6.3 | 3.5 | 0.03 | 69.2 | 303 | 32.3 | 37.8 | 58.4 | |||
5.8 (+) | 4.9 | 4.1 | 0.033 | 66.9 | 87 | 16.6 | 34.8 | 27.9 | |||
6.6 (+) | 1.6 | 6.8 | 0.04 | 59.0 | 4.7 | 25.9 | 24.7 | 7.9 | |||
8.66 (–) | 4.0 | 4.5 | 0.035 | 65.1 | 65.1 | 29.4 | 32.5 | 40.5 | |||
11.5 (–) | 6.2 | 1.2 | 0.8 | 53.8 | 120 | 1.8 | 54.9 | 1.8 | |||
4.08 (+) | 1 | 1 | 28.4 | 2.503 | 0.076 | 73.0 | 4.6 × 1011 | 14.3 | 47.4 | 14.3 | 60 |
5.34 (+) | 15.7 | 3.5 | 0.08 | 69.2 | 1.7 × 106 | 13.2 | 37.8 | 13.2 | |||
5.8 (+) | 12.3 | 4.1 | 0.08 | 66.9 | 6.6 × 104 | 12.6 | 34.8 | 12.6 | |||
6.6 (+) | 4.1 | 6.8 | 0.1 | 59.0 | 24.3 | 10.6 | 24.7 | 14.8 | |||
8.66 (–) | 10.6 | 4.5 | 0.09 | 65.1 | 7 × 103 | 12.1 | 32.5 | 12.1 | |||
11.5 (–) | 15.5 | 1.2 | 2.0 | 8.6 | 6 × 105 | 1.15 | 54.9 | 1.15 | |||
Из табл. 3 видно, что для положительно заряженных частиц ДНА с размером 45 нм в интервале рН 4.1–5.8 прогнозируется устойчивость и достаточно медленная коагуляция по барьерному механизму при рН 6.6, аналогичный прогноз следует для частиц ДНА с размером 60 нм (табл. 4). Для более крупных частиц (135 нм) прогнозируется протекание медленной коагуляции преимущественно по безбарьерному механизму в интервале рН 4.1–6.6, для мелких частиц с размером 24 нм – медленная коагуляция преимущественно по барьерному механизму в интервале рН 5.8–6.6. Для отрицательно заряженных частиц ДНА в зависимости от размера частиц и рН можно ожидать как протекания медленной или быстрой коагуляции, так и устойчивости золя (табл. 3 и 4). Такое же заключение можно сделать при рассмотрении парного взаимодействия разноразмерных частиц (табл. 5 и 6).
Таблица 5. Некоторые параметры суммарной зависимости энергии парного взаимодействия разноразмерных агрегатов ДНА (24 и 60 нм) oт расстояния, рассчитанные по обобщенной теории ДЛФО, и факторы агрегации при различных рН 10–3 М раствора хлорида натрия. Аэфф = 0.58 × 10–19 Дж
рН | Параметры Vs | Vмах/kТ | hmax, нм | –Vmin,/kТ | hmin, нм | W1 | W2 | ζW, мВ | WΣ | |
K × 106, Дж/м3 | l, нм | |||||||||
4.08 (+) | 1 | 1 | 16.3 | 2.5 | 0.04 | 73.0 | 4.8 × 106 | 24.6 | 47.4 | 24.6 |
5.34 (+) | 9.0 | 3.5 | 0.04 | 69.2 | 4.2 × 103 | 22.8 | 37.8 | 22.6 | ||
5.8 (+) | 7.0 | 4.1 | 0.05 | 66.9 | 679 | 21.6 | 34.8 | 20.9 | ||
6.6 (+) | 2.25 | 6.7 | 0.22 | 56.5 | 8.0 | 17 | 24.7 | 11.3 | ||
8.66 (–) | 1 | 1 | 5.9 | 4.6 | 0.05 | 67.7 | 216 | 22.2 | 32.5 | 40.2 |
11.5 (–) | 8.8 | 1.2 | 1.15 | 8.6 | 1.6 × 103 | 1.46 | 54.9 | 1.46 | ||
Таблица 6. Некоторые параметры суммарной зависимости энергии парного взаимодействия разноразмерных агрегатов ДНА (24 и 135 нм) oт расстояния, рассчитанные по обобщенной теории ДЛФО, и факторы агрегации при различных рН 10–3 М раствора хлорида натрия. Аэфф = 0.58 × 10–19 Дж
рН | Параметры Vs | Vмах/kТ | hmax, нм | –Vmin,/kТ | hmin, нм | W1 | W2 | ζW, мВ | WΣ | |
K × 106, Дж/м3 | l, нм | |||||||||
4.08 (+) | 1 | 1 | 20.0 | 2.5 | 0.05 | 73.0 | 7.3 × 107 | 20.1 | 47.4 | 20.1 |
5.34 (+) | 9.0 | 3.5 | 0.04 | 69.2 | 4.2 × 103 | 22.8 | 37.8 | 22.8 | ||
5.8 (+) | 11 | 3.5 | 0.06 | 69.2 | 1.2 × 104 | 18.6 | 34.8 | 18.6 | ||
6.6 (+) | 2.9 | 6.8 | 0.07 | 59 | 5.9 | 14.9 | 24.7 | 8.6 | ||
8.66 (–) | 1 | 1 | 7.0 | 4.4 | 0.06 | 65.1 | 257 | 16.9 | 32.5 | 31.7 |
11.5 (–) | 10.9 | 1.2 | 1.4 | 8.6 | 4.7 × 103 | 1.3 | 54.9 | 1.3 | ||
В целом можно говорить о качественном соответствии данных турбидиметрии с рассчитанными зависимостями V(h). Вероятно, что неполная корреляция теоретических расчетов и экспериментальных результатов для различных значений рН (главным образом только для значения рН 8.66) обусловлена тем, что ГС воды у поверхности частиц ДНА достаточно чувствительны к концентрации ПОИ, использование в расчетах неизменных параметров структурной компоненты является существенным приближением.
ЗАКЛЮЧЕНИЕ
Спектроскопическое изучение состава поверхностных функциональных групп показало, что поверхность частиц ДНА гетерогенна, главным образом содержит ионогенные карбоксильные и гидроксильные функциональные группы, а также неионогенные углеводородные. Заряжение поверхности частиц происходит вследствие ионизации ионогенных амфотерных ‒СОН и кислотных ‒СООН групп на поверхности частиц ДНА.
Агрегативная устойчивость и электрокинетические свойства полидисперсного водного золя детонационного наноалмаза с частичной концентрацией (2.8 ± 0.9) × 1010 частиц/см3 были изучены при естественном значении рН (5.8–6.0) и различной концентрации растворов индифферентного электролита NaCl, а также при различных рН в 10–3 М растворе хлорида натрия. Определено значение рН изоэлектрической точки частиц ДНА, которое составило 7.5 ед. рН. Найденные пороги медленной и быстрой коагуляции золя положительно заряженных частиц ДНА при рН 5.8 составили 1.1 × 10–3 М и 7.4 × 10–3 М соответственно. Показано, что для исследованного гидрозоля ДНА характерна весьма узкая область медленной коагуляции, и значение Сб.к заметно ниже, чем для типичных ионно-стабилизированных коллоидов, что может быть связано с относительно высоким значением константы Гамакера частиц детонационного алмаза.
Установлено, что коагуляция гидрозолей ДНА обусловлена главным образом уменьшением вклада ионно-электростатической составляющей энергии парного взаимодействия частиц вследствие уменьшения абсолютной величины дзета-потенциала при увеличении концентрации растворов NaCl или при приближении к ИЭТ.
Совокупный анализ экспериментальных и теоретических результатов показал, что первичных наночастиц ДНА в исследуемом золе практически не содержится, а основной вклад в устойчивость вносят агрегаты наночастиц ДНА со средним размером порядка 60 нм и меньше. Определена область расчетных параметров (Аэфф, l), позволяющая объяснить устойчивость и коагуляцию золя ДНА, содержащего частицы нескольких основных размеров, в рамках расширенной теории ДЛФО.
БЛАГОДАРНОСТИ
Авторы благодарят Д. А. Александрова за выполнение измерений удельной поверхности. Исследования проведены с использованием оборудования Междисциплинарного Ресурсного центра Научного парка СПбГУ по направлению “Нанотехнологии”, Ресурсных центров Научного парка СПбГУ “Оптические и лазерные методы исследования вещества”, “Физические методы исследования поверхности”, “Рентгенодифракционные методы исследования”.
ФИНАНСИРОВАНИЕ РАБОТЫ
Работа выполнена при финансовой поддержке гранта РНФ № 23-23-00333.
СОБЛЮДЕНИЕ ЭТИЧЕСКИХ СТАНДАРТОВ
В данной работе отсутствуют исследования человека или животных.
КОНФЛИКТ ИНТЕРЕСОВ
Авторы заявляют, что у них нет конфликта интересов.
ПРИЛОЖЕНИЕ
Рис. П1. Рентгенограмма порошка ДНА.
Таблица П1. Некоторые параметры суммарной зависимости энергии парного взаимодействия частиц ДНА (6.3 нм) oт расстояния, рассчитанные по обобщенной теории ДЛФО, и факторы агрегации при естественном значении рН. А =1.38 × 10–19 Дж
C, M | Параметры Vs | Vmax/kТ | hmax, нм | –Vmin/kТ | hmin, нм | W1 | W2 | ζW, мВ | |
K × 106, Дж/м3 | l, нм | ||||||||
5 × 10–4 | 0 | – | 1.2 | 8.1 | 0.01 | 96.8 | 4.5 | 96.90 | 37.2 |
10–3 | 0.87 | 7.15 | 0.03 | 57.4 | 3.35 | 38.9 | 37.5 | ||
2.5 × 10–3 | 0.24 | 6.8 | 0.09 | 26.7 | 2.1 | 11.85 | 36.5 | ||
3 × 10–3 | 0.06 | 7.2 | 0.12 | 21.9 | 1.8 | 9.1 | 35.2 | ||
5 × 10–3 | Притяжение на всех расстояниях | 1 | 30.9 | ||||||
10–2 | 24.8 | ||||||||
3 × 10–2 | 14.5 | ||||||||
5 × 10–4 | 1 | 1 | 1.2 | 7.9 | 0.01 | 96.8 | 4.6 | 96.90 | 37.2 |
10–3 | 0.87 | 7.15 | 0.03 | 57.4 | 3.5 | 38.9 | 37.5 | ||
2.5 × 10–3 | 0.25 | 6.7 | 0.09 | 26.7 | 2.2 | 11.8 | 36.5 | ||
3 × 10–3 | 0.065 | 7.1 | 0.12 | 21.9 | 1.9 | 9.1 | 35.2 | ||
5 × 10–3 | Притяжение на всех расстояниях | 1 | 30.9 | ||||||
10–2 | 24.8 | ||||||||
3 × 10–2 | 14.5 | ||||||||
Таблица П2. Некоторые параметры суммарной зависимости энергии парного взаимодействия частиц ДНА (45 нм) oт расстояния, рассчитанные по обобщенной теории ДЛФО, и факторы агрегации при естественном значении рН. А = 1.38 × 10–19 Дж
C, M | Параметры Vs | Vmax/kТ | hmax, нм | –Vmin/kТ | hmin, нм | W1 | W2 | ζW, мВ | |
K × 106, Дж/м3 | l, нм | ||||||||
5 × 10–4 | 1 | 1 | 8.8 | 7.9 | 0.07 | 96.6 | 2.7 × 103 | 14.09 | 37.2 |
10–3 | 6.2 | 7.1 | 0.18 | 57.4 | 214 | 5.9 | 37.5 | ||
2.5 × 10–4 | 1.8 | 6.7 | 0.63 | 26.7 | 3.9 | 2.1 | 36.5 | ||
3 × 10–3 | 0.46 | 6.8 | 0.8 | 21.9 | 1.9 | 1.8 | 35.2 | ||
5 × 10–3 | Притяжение на всех расстояниях | 1 | 1 | 30.9 | |||||
10–2 | 1 | 1 | 24.8 | ||||||
3 × 102 | 1 | 1 | 14.5 | ||||||
5 × 10–4 | 0 | – | 8.7 | 8.1 | 0.07 | 96.8 | 2.7 × 103 | 14.0 | 37.2 |
10–3 | 6.2 | 7.1 | 0.18 | 57.4 | 206 | 5.9 | 37.5 | ||
2.5 × 10–4 | 1.75 | 6.8 | 0.63 | 26.7 | 3.8 | 2.1 | 36.5 | ||
3 × 10–3 | 0.45 | 7.2 | 0.83 | 21.9 | 1.9 | 1.8 | 35.2 | ||
5 × 10–3 | Притяжение на всех расстояниях | 1 | 1 | 30.9 | |||||
10–2 | 1 | 1 | 24.8 | ||||||
5 × 10–4 | 1 | 2 | 17.7 | 2.29 | 0.07 | 96.8 | >107 | 14 | 37.2 |
10–3 | 16.95 | 2.2 | 0.18 | 57.4 | >106 | 5.9 | 37.5 | ||
3 × 10–3 | 12.5 | 2.1 | 0.8 | 21.9 | 5.1 × 104 | 1.8 | 35.2 | ||
5 × 10–3 | 9.1 | 2.2 | 1.0 | 18.6 | 1.8 × 103 | 1.6 | 30.9 | ||
10–2 | 4.3 | 2.2 | 2.3 | 9.7 | 17.3 | 1.1 | 24.8 | ||
Таблица П3. Некоторые параметры суммарной зависимости энергии парного взаимодействия частиц ДНА (135 нм) oт расстояния, рассчитанные по обобщенной теории ДЛФО, и факторы агрегации при естественном значении рН. А = 1.38 × 10–19 Дж
C, M | Параметры Vs | Vmax/kТ | hmax, нм | –Vmin/kТ | hmin, нм | W1 | W2 | ζW, мВ | |
K × 106, Дж/м3 | l, нм | ||||||||
5 × 10–4 | 0 | – | 26.36 | 8.1 | 0.22 | 968 | >1010 | 5.0 | 37.2 |
10–3 | 18.6 | 7.1 | 0.56 | 57.4 | >107 | 2.3 | 37.5 | ||
2.5 × 10–3 | 5.25 | 6.8 | 1.9 | 26.7 | 32.8 | 1.18 | 36.5 | ||
3 × 10–3 | 1.35 | 7.2 | 2.5 | 21.9 | 1.8 | 1.09 | 35.2 | ||
5 × 10–3 | Притяжение на всех расстояниях | 1 | 1 | 30.9 | |||||
10–2 | 1 | 1 | 24.8 | ||||||
3 × 10–2 | 1 | 1 | 14.5 | ||||||
5 × 10–4 | 1 | 1 | 26.36 | 7.9 | 0.22 | 96.8 | >1010 | 5.0 | 37.2 |
10–3 | 18.65 | 7.1 | 0.56 | 57.4 | >107 | 2.3 | 37.5 | ||
2.5 × 10–3 | 5.3 | 6.7 | 1.9 | 26.7 | 35.6 | 1.2 | 36.5 | ||
3 × 10–3 | 1.4 | 7.1 | 2.5 | 21.9 | 1.8 | 1.09 | 35.2 | ||
5 × 10–3 | Притяжение на всех расстояниях | 1 | 1 | 30.9 | |||||
5 × 10–4 | 1 | 2 | 53.1 | 2.2 | 0.2 | 96.8 | >1010 | 5.0 | 30.9 |
5 × 10–3 | 1 | 2 | 24.22 | 2.1 | 5.2 | 12.3 | >109 | 1.0 | 30.9 |
5 × 10–3 | 1 | 3 | 206.42 | 1.3 | 3.5 | 20.0 | >1080 | 1.03 | 30.9 |
1 × 10–2 | 1 | 1 | Притяжение на всех расстояниях | 24.8 | |||||
1 × 10–2 | 1 | 2 | 9.3 | 2.2 | 10 | 8.3 | 925 | 1 | 24.8 |
3 × 10–2 | 1 | 2 | Притяжение на всех расстояниях | 1 | 1 | 14.5 | |||
Таблица П4. Некоторые параметры суммарной зависимости энергии парного взаимодействия частиц ДНА (45 нм) oт расстояния, рассчитанные по обобщенной теории ДЛФО, и факторы агрегации при естественном значении рН. Аэфф = 0.86 × 10–19 Дж
C, M | Параметры Vs | Vmax/kТ | hmax, нм | –Vmin/kТ | hmin, нм | W1 | W2 | ζW, мВ | |
K × 106, Дж/м3 | l, нм | ||||||||
5 × 10–4 | 0 | – | 11.2 | 6.1 | 0.04 | 196.8 | 2.8 × 104 | 26.09 | 37.2 |
10–3 | 9.1 | 5.3 | 0.1 | 65.3 | 3.2 × 103 | 11 | 37.5 | ||
2.5 × 10–3 | 4.4 | 4.9 | 0.3 | 32.1 | 31.1 | 3.7 | 36.5 | ||
3 × 10–3 | 3.3 | 4.9 | 0.4 | 27.6 | 13.8 | 3.0 | 35.2 | ||
5 × 10–3 | Притяжение на всех расстояниях | 1 | 1 | 30.9 | |||||
10–2 | 1 | 1 | 24.8 | ||||||
5 × 10–4 | 1 | 1 | 11.3 | 6.1 | 0.04 | 106.8 | 3.0 × 104 | 26 | 37.2 |
10–3 | 9.2 | 5.1 | 0.09 | 65.3 | 3.7 × 103 | 11 | 37.5 | ||
2.5 × 10–3 | 5.2 | 4.4 | 0.31 | 32.8 | >1010 | 3.8 | 36.5 | ||
3 × 10–3 | 3.7 | 4.5 | 0.4 | 27.6 | 16.9 | 3.0 | 35.2 | ||
5 × 10–3 | 0.02 | 5.6 | 0.8 | 16.7 | 1.6 | 1.8 | 30.9 | ||
10–2 | Притяжение на всех расстояниях | 1 | 1 | 24.8 | |||||
5 × 10–4 | 1 | 2 | 29.7 | 1.5 | 0.04 | 106.8 | >1011 | 26.0 | 37.2 |
10–3 | 29.3 | 1.4 | 0.09 | 65.3 | >1011 | 11.0 | 37.5 | ||
2.5 × 10–3 | 25.9 | 1.4 | 0.31 | 32.7 | >1010 | 3.8 | 36.5 | ||
3 × 10–3 | 25.3 | 1.4 | 0.4 | 27.7 | >1010 | 3.0 | 35.2 | ||
5 × 10–3 | 20.8 | 1.4 | 0.8 | 17.2 | 1.5 × 108 | 1.8 | 30.9 | ||
10–2 | 15.6 | 1.4 | 1.6 | 10.8 | 8.8 × 105 | 1.25 | 24.8 | ||
Таблица П5. Некоторые параметры суммарной зависимости энергии парного взаимодействия частиц ДНА (135 нм) oт расстояния, рассчитанные по обобщенной теории ДЛФО, при естественном значении рН. Аэфф = 0.86 × 10–19 Дж
C, M | Параметры Vs | Vmax/kТ | hmax, нм | –Vmin/kТ | hmin, нм | W1 | W2 | ζW, мВ | |
K × 106, Дж/м3 | l, нм | ||||||||
5 × 10–4 | 0 | – | 33.7 | 6.1 | 0.12 | 106.8 | >1013 | 9.0 | 37.2 |
10–3 | 27.4 | 5.3 | 0.28 | 56.3 | >1011 | 4.0 | 37.5 | ||
2.5 × 10–3 | 15.0 | 4.8 | 0.92 | 32.8 | 4.1 × 103 | 1.7 | 36.5 | ||
3 × 10–3 | 10.6 | 4.9 | 1.2 | 27.6 | 5.4 × 103 | 1.4 | 35.2 | ||
5 × 10–3 | Притяжение на всех расстояниях | 1 | 1 | 30.9 | |||||
10–2 | 1 | 1 | 24.8 | ||||||
3 × 10–2 | 1 | 1 | 14.5 | ||||||
5 × 10–4 | 1 | 1 | 33.8 | 6.1 | 0.12 | 106.8 | >1013 | 9.0 | 37.2 |
10–3 | 27.7 | 5.1 | 0.29 | 65.3.3 | >1011 | 4.0 | 37.5 | ||
2.5 × 10–3 | 15.2 | 4.4 | 0.92 | 32.8 | 7.6 × 103 | 1.7 | 36.5 | ||
3 × 10–3 | 11.4 | 4.5 | 1.2 | 27.6 | 935 | 1.4 | 35.2 | ||
5 × 10–3 | 0.08 | 5.6 | 2.4 | 16.7 | 1.25 | 1.1 | 30.9 | ||
5 × 10–3 | 1 | 2 | 62.4 | 1.4 | 2.4 | 17.2 | >1010 | 1.1 | 30.9 |
5 × 10–3 | 1 | 3 | 265.4 | 1.0 | 1.8 | 22.6 | >1010 | 1.2 | 30.9 |
10–2 | 1 | 1 | Притяжение на всех расстояниях | 1 | 24.8 | ||||
Таблица П6. Некоторые параметры суммарной зависимости энергии парного взаимодействия частиц ДНА (45 нм) oт расстояния, рассчитанные по обобщенной теории ДЛФО, и факторы агрегации при естественном значении рН. Аэфф = 0.58 × 10–19 Дж
C, M | Параметры Vs | Vmax/kТ | hmax, нм | –Vmin/kТ | hmin, нм | W1 | W2 | ζW, мВ | |
K × 106, Дж/м3 | l, нм | ||||||||
5 × 10–4 | 1 | 1 | 13.2 | 4.7 | 0.02 | 115.5 | 2.1 × 105 | 43.99 | 37.2 |
10–3 | 11.6 | 3.6 | 0.06 | 71.73 | 4 × 104 | 18.6 | 37.5 | ||
2.5 × 10–3 | 8.2 | 2.9 | 0.17 | 36.2 | 1.1 × 103 | 6.3 | 36.5 | ||
3 × 10–3 | 6.6 | 3.0 | 0.22 | 31.8 | 245 | 5.0 | 35.2 | ||
5 × 10–3 | 2.4 | 3.4 | 0.44 | 20.3 | 5.7 | 2.8 | 30.9 | ||
10–2 | Притяжение на всех расстояниях | 1 | 24.8 | ||||||
3 × 10–2 | 14.5 | ||||||||
5 × 10–4 | 0 | – | 13.1 | 4.9 | 0.02 | 115.5 | 1.6 × 105 | 43.9 | 37.2 |
10–3 | 11.3 | 4.2 | 0.06 | 71.7 | 2.5 × 104 | 18.6 | 37.5 | ||
2.5 × 10–3 | 7.2 | 3.7 | 0.17 | 36.8 | 190 | 6.3 | 36.5 | ||
3 × 10–3 | 6.0 | 3.75 | 0.23 | 31.8 | 124 | 5.0 | 35.2 | ||
5 × 10–3 | 2.0 | 4.2 | 0.44 | 20.3 | 3.9 | 2.8 | 30.9 | ||
10–2 | Притяжение на всех расстояниях | 1 | 24.8 | ||||||
3 × 10–2 | 14.5 | ||||||||
10–3 | 1 | 2 | 38.5 | 1.1 | 0.06 | 71.4 | 5.6 × 1015 | 18.6 | 37.5 |
2.5 × 10–3 | 36.7 | 1.1 | 0.17 | 37.2 | 1015 | 6.3 | 36.5 | ||
3 × 10–3 | 35.1 | 1.1 | 0.2 | 31.9 | 1 × 1014 | 5.0 | 35.2 | ||
5 × 10–3 | 30.6 | 1.1 | 0.43 | 20.5 | 2.4 × 1012 | 2.8 | 30.9 | ||
10–2 | 25.2 | 1.1 | 0.9 | 25 | 1.1 × 1010 | 1.7 | 24.8 | ||
3 × 10–2 | 19.5 | 1.1 | 2.3 | 10.1 | 3.9 × 107 | 1.4 | 14.5 | ||
5 × 10–4 | 1 | 1.25 | 14.3 | 2.6 | 0.02 | 115.5 | 6.5 × 105 | 43.9 | 37.2 |
10–3 | 13.4 | 2.2 | 0.06 | 71.7 | 2.1 × 105 | 18.6 | 37.5 | ||
2.5 × 10–3 | 11.2 | 1.9 | 0.17 | 37.5 | 1.8 × 104 | 6.4 | 36.5 | ||
3 × 10–3 | 6.6 | 3.0 | 0.22 | 31.8 | 245 | 5.0 | 35.2 | ||
5 × 10–3 | 2.4 | 3.4 | 0.44 | 20.3 | 5.7 | 2.8 | 30.9 | ||
10–2 | Притяжение на всех расстояниях | 1 | 24.8 | ||||||
Таблица П7. Некоторые параметры суммарной зависимости энергии парного взаимодействия частиц ДНА (135 нм) oт расстояния, рассчитанные по обобщенной теории ДЛФО, и факторы агрегации при естественном значении рН. Аэфф = 0.58 × 10–19 Дж
C, M | Параметры Vs | Vmax/kТ | hmax, нм | –Vmin/kТ | hmin, нм | W1 | W2 | ζW, мВ | |
K × 106, Дж/м3 | l, нм | ||||||||
5 × 10–4 | 1 | 1 | 39.7 | 4.5 | 0.07 | 115.5 | 2.5 × 1016 | 15.09 | 37.2 |
10–3 | 35.0 | 3.6 | 0.16 | 71.7 | 2.1 × 1014 | 6.6 | 37.5 | ||
2.5 × 10–3 | 24.5 | 2.9 | 0.52 | 37.2 | 5.4 × 109 | 2.5 | 36.5 | ||
3 × 10–3 | 19.8 | 3.0 | 0.66 | 31.8 | 5.3 × 107 | 2.1 | 35.2 | ||
5 × 10–3 | 7.34 | 3.4 | 1.3 | 20.3 | 240 | 1.37 | 30.9 | ||
10–2 | Притяжение на всех расстояниях | 1 | 24.8 | ||||||
3 × 10–2 | 14.5 | ||||||||
5 × 10–4 | 0 | 1 | 39.2 | 4.9 | 0.07 | 115.5 | 1.4 × 1016 | 15.09 | 37.2 |
10–3 | 34.0 | 4.2 | 0.17 | 71.7 | 6.5 × 1013 | 6.55 | 37.5 | ||
2.5 × 10–3 | 22.6 | 3.7 | 0.52 | 37.2 | 7.4 × 108 | 2.5 | 36.5 | ||
3 × 10–3 | 18 | 3.7 | 0.7 | 31.8 | 7.9 × 106 | 2.06 | 35.2 | ||
5 × 10–3 | 6.2 | 4.2 | 1.3 | 20.3 | 67 | 1.37 | 30.9 | ||
10–2 | Притяжение на всех расстояниях | 1 | 24.8 | ||||||
3 × 10–2 | 14.5 | ||||||||
5 × 10–4 | 1 | 2 | 116.3 | 1.3 | 0.07 | 115.5 | >1048 | 15.09 | 37.2 |
10–3 | 116.5 | 1.1 | 0.165 | 71.7 | >1048 | 6.55 | 37.5 | ||
2.5 × 10–3 | 110.1 | 1.07 | 0.52 | 37.2 | >1046 | 2.5 | 36.5 | ||
3 × 10–3 | 105.4 | 1.08 | 0.66 | 31.9 | >1044 | 2.06 | 35.2 | ||
5 × 10–3 | 91.7 | 1.1 | 1.3 | 20.5 | >1038 | 1.37 | 30.9 | ||
10–2 | 75.7 | 1.1 | 3.8 | 10.1 | >1031 | 1.07 | 24.8 | ||
5 × 10–4 | 1.25 | 43.0 | 2.5 | 0.07 | 115.5 | 7 × 1017 | 15.0 | 37.2 | |
10–3 | 40.3 | 2.2 | 0.16 | 71.7 | 4 × 1016 | 6.6 | 37.5 | ||
2.5 × 10–3 | 31.7 | 1.9 | 0.52 | 37.2 | 6.3 × 1012 | 2.5 | 36.5 | ||
3 × 10–3 | 27.18 | 1.9 | 0.66 | 31.8 | 5.8 × 1010 | 2.06 | 35.2 | ||
5 × 10–3 | 13.84 | 2 | 1.3 | 20.2 | 1.1 × 105 | 1.37 | 30.9 | ||
10–2 | Притяжение на всех расстояниях | 1 | 24.8 | ||||||
3 × 10–2 | 14.5 | ||||||||
About the authors
А. В. Волкова
Санкт-Петербургский государственный университет
Author for correspondence.
Email: anna.volkova@spbu.ru
Russian Federation, Университетская наб., 7–9, Санкт-Петербург, 199034
А. А. Белобородов
Санкт-Петербургский государственный университет
Email: anna.volkova@spbu.ru
Russian Federation, Университетская наб., 7–9, Санкт-Петербург, 199034
В. А. Водолажский
Санкт-Петербургский государственный университет
Email: anna.volkova@spbu.ru
Russian Federation, Университетская наб., 7–9, Санкт-Петербург, 199034
Е. В. Голикова
Санкт-Петербургский государственный университет
Email: anna.volkova@spbu.ru
Russian Federation, Университетская наб., 7–9, Санкт-Петербург, 199034
Л. Э. Ермакова
Санкт-Петербургский государственный университет
Email: anna.volkova@spbu.ru
Russian Federation, Университетская наб., 7–9, Санкт-Петербург, 199034
References
- Rosenholm J.M., Vlasov I.I., Burikov S.A. et al. Nanodiamond-based composite structures for biomedical imaging and drug delivery // Journal of Nanoscience and Nanotechnology. 2015. V. 15. № 2. P. 959–971. https://doi.org/10.1166/jnn.2015.9742
- Schrand A.M., Ciftan Hens S.A., Shenderova O.A. Nanodiamond particles: Properties and perspectives for bioapplications // Critical Reviews in Solid State and Materials Sciences. 2009. V. 34. № 1–2. P. 18–74. https://doi.org/10.1080/10408430902831987
- Turcheniuk K., Mochalin V.N. Biomedical applications of nanodiamond // Nanotechnology. 2017. V. 28. P. 252001–252027. https://doi.org/10.1016/j.slast.2023.03.007
- Yu Y., Nishikawa M., Liu M. et al. Self-assembled nanodiamond supraparticles for anticancer chemotherapy // Nanoscale. 2018. V. 10. № 19. P. 8969–8978. https://doi.org/10.1039/C8NR00641E
- Qina S.-R., Zhao Q., Cheng Z.-G. et al. Rare earth-functionalized nanodiamonds for dual-modal imaging and drug delivery // Diamond & Related Materials. 2019. V. 91. P. 173–182. https://doi.org/10.1016/j.diamond.2018.11.015
- Alkahtani M.H., Alghannam F., Jiang L. et al. Fluorescent nanodiamonds: Past, present, and Future // Nanophotonics. 2018. V. 7. № 8. P. 1423–1453. https://doi.org/10.1515/nanoph-2018-0025
- Nunn N., d’Amora M., Prabhakar N. et al. Fluorescent single-digit detonation nanodiamond for biomedical applications // Methods Appl. Fluoresc. 2018. V. 6. № 3. P. 035010. https://doi.org/10.1088/2050-6120/aac0c8
- Panich A.M., Salti M., Prager O. et al. PVP-coated Gd-grafted nanodiamonds as a novel and potentially safer contrast agent for in vivo MRI // Magn. Reason. Med. 2021. V. 86. № 2. P. 935–942. https://doi.org/10.1002/mrm.28762
- Panich A.M., Salti M., Goren S.D. et al. Gd(III)-grafted detonation nanodiamonds for MRI contrast enhancement // J. Phys. Chem. 2019. V. 123. № 4. P. 2627–2631. https://doi.org/10.1021/acs.jpcc.8b11655
- Panich A.M., Shames A.I., Goren S.D. et al. Examining relaxivities in suspensions of nanodiamonds grafted by magnetic entities: Comparison of two approaches // Magnetic Resonance Materials in Physics, Biology and Medicine. 2020. V. 33. P. 885–888. https://doi.org/10.1007/s10334-020-00847-3
- Panich A.M., Shames A.I., Aleksenskii A.E. et al. Manganese-grafted detonation nanodiamond, a novel potential MRI contrast agent // Diamond & Related Materials. 2021. V. 119. P. 108590. https://doi.org/10.1016/j.diamond.2021.108590
- Fujisaku T., Tanabe R., Onoda S. et al. pH nanosensor using electronic spins in diamond // ACS Nano. 2019. V. 13. № 10. P. 11726–11732. https://doi.org/10.1021/acsnano.9b05342
- Batsanov S.S., Dan’kin D.A., Gavrilkin S.M. et al. Structural changes in colloid solutions of nanodiamond // New J. Chem. 2020. V. 44. № 4. P. 1640–1647. https://doi.org/10.1039/C9NJ05191K
- Mchedlov-Petrossyan N.O., Kamneva N.N., Marynin A.I. et al. Colloidal properties and behaviors of 3 nm primary particles of detonation nanodiamonds in aqueous media // Phys. Chem. Chem. Phys. 2015. V. 17. № 24. P. 16186–16203. https://doi.org/10.1039/C5CP01405K
- Mchedlov-Petrossyan N.O., Kamneva N.N., Kryshtal A.P. et al. The properties of 3 nm-sized detonation diamond from the point of view of colloid science // Ukr. J. Phys. 2015. V. 60. № 9. Р. 932–937. https://doi.org/10.15407/ujpe60.09.0932
- Mchedlov-Petrossyan N.O., Kriklya N.N., Kryshtal A.P. et al. The interaction of the colloidal species in hydrosols of nanodiamond with inorganic and organic electrolytes // Journal of Molecular Liquids. 2019. V. 283. P. 849–859. https://doi.org/10.1016/j.molliq.2019.03.095
- Kamneva N.N., Tkachenko V.V., Mchedlov-Petrossyan N.O. et al. Interfacial electrical properties of nanodiamond colloidal species in aqueous medium as examined by acid-base indicator dyes // Surface Engineering and Applied Electrochemistry. 2018. V. 54. P. 64–72. https://doi.org/10.3103/S1068375518010088
- Korobov M.V., Avramenko N.V., Bogachev A.G. Nanophase of water in nano-diamond gel // J. Phys. Chem. 2007. V. 111. № 20. P. 7330–7334. https://doi.org/10.1021/jp0683420
- Batsanov S.S., Lesnikov E.V., Dan’kin D.A., Balakhanov D.M. Water shells of diamond nanoparticles in colloidal solutions // Applied Physics Letters. 2014. V. 104. № 13. P. 133105. https://doi.org/10.1063/1.4870464
- Petit T., Puskar L., Dolenko T. et al. Unusual water hydrogen bond network around hydrogenated nanodiamonds // J. Phys. Chem. 2017. V. 121. № 9. P. 5185–5194. https://doi.org/10.1021/acs.jpcc.7b00721
- Petit T., Yuzawa H., Nagasaka M. et al. Probing interfacial water on nanodiamonds in colloidal dispersion // J. Phys. Chem. Lett. 2015. V. 6. № 15. P. 2909–2912. https://doi.org/10.1021/acs.jpclett.5b00820
- Emelyanenko A.M., Emelyanenko K.A., Vul A.Ya. et al. The role of nanoparticle charge in crystallization kinetics and ice adhesion strength for dispersionsof detonation nanodiamonds // Phys. Chem. Chem. Phys. 2023. V. 25. № 5. P. 3950–3958. https://doi.org/10.1039/D2CP05144C
- Batsanov S.S., Gavrilkin S.M., Korzhenevskiy A.P. et al. Giant permittivity of confined water on nanodiamonds // J. Phys. Chem. C. 2022. V. 126. № 14. P. 6385–6393. https://doi.org/10.1021/acs.jpcc.1c08827
- Чиганова Г.А. Влияние гидратации частиц на агрегативную устойчивость ультрадисперсных алмазов // Коллоидный журнал. 1997. Т. 59. № 1. С. 93–95.
- Чиганова Г.А. Агрегирование частиц в гидрозолях ультрадисперсных алмазов // Коллоидный журнал. 2000. Т. 62. № 2. С. 272–277.
- Морару В.Н., Овчаренко Ф.Д., Троцкая Л.А. Устойчивость и электроповерхностные свойства водных дисперсий окисленного синтетического алмаза // Коллоидный журнал. 1991. Т. 53. № 5. С. 874–879.
- Овчаренко А.Г., Солохина А.Б., Сатаев Р.Р., Игнатенко А.В. Электрофоретическое поведение агрегатов ультрадисперсных алмазных частиц // Коллоидный журнал. 1991. Т. 53. № 6. С. 1067–1071.
- Chiganova G.A., Gosudareva E.Yu. Structure formation in aqueous dispersions of detonation nanodiamonds // Nanotechnologies in Russia. 2016. V. 11. № 7–8, P. 401–406. https://doi.org/10.1134/S1995078016040042
- Сычёв Д.Ю., Жуков А.Н., Голикова Е.В., Суходолов Н.Г. Влияние простых электролитов на коагуляцию гидрозолей монодисперсного отрицательно заряженного детонационного наноалмаза // Коллоидный журнал. 2017. Т. 79. № 6. С. 785–791. https://doi.org/10.7868/S0023291217060118
- Mchedlov-Petrossyan N.O., Kriklya N.N., Laguta A.N., Osawa E. Stability of detonation nanodiamond colloid with respect to inorganic electrolytes and anionic surfactants and solvation of the particles surface in DMSO–H2O organo-hydrosols // Liquids. 2022. V. 2. № 3. P. 196–209. https://doi.org/10.3390/liquids2030013
- Волкова А.В., Вдовиченко Д.А., Голикова Е.В., Ермакова Л.Э. Закономерности протекания процессов коагуляции в полидисперсном нанозоле оксида циркония // Коллоидный журнал. 2021. Т. 83. № 5. С. 512–523. https://doi.org/10.31857/S002329122105013X
- Wiersema P.H., Loeb A.L., Overbeek J.T.G. Calculation of the electrophoretic mobility of a spherical colloid particle // J. Colloid Interface Sci. 1966. V. 22. № 1. P. 78–99. https://doi.org/10.1016/0021-9797(66)90069-5
- Дерягин Б.В., Ландау Л.Д. Теория устойчивости сильно заряженных лиофобных золей и слипания сильно заряженных частиц в растворах электролитов // ЖЭТФ. 1941. Т. 11. № 2. С. 802–821.
- Derjaguin B., Landau L. Theory of the stability of strongly charged lyophobic sols and of the adhesion of strongly charged particles in solutions of electrolyte // Prog. Surf. Sci. 1993. V. 43. № 1–4. P. 30–59. https://doi.org/10.1016/0079-6816(93)90013-L
- Дерягин Б.В. Теория устойчивости коллоидов и тонких пленок. М.: Наука, 1986. 206 с. Derjaguin B.V. Theory of stability of colloids and thin films, Nauka, Moscow. 1986]
- Derjaguin B.V., Сhuraev N.V. Inclusion of structural forces in the theory of stability of colloids and films // J. Colloid Interface Sci. 1985. V. 103. № 2. P. 542–553. https://doi.org/10.1016/0021-9797(85)90129-8
- Boström M., Deniz V., Franks G.V., Ninham B.W. Extended DLVO theory: Electrostatic and non-electrostatic forces in oxide suspensions // Adv. Colloid. Interf. Sci. 2006. V. 123–126. P. 5–15. https://doi.org/10.1016/j.cis.2006.05.001
- Чураев Н.В., Соболев В.Д. Вклад структурных сил в смачивание поверхности кварца растворами электролита // Коллоидный журнал. 2000. Т. 62. № 2. С. 278–285.
- Oshima H.J., Healy T.W., White L.R. Improvement on Hogg-Healy-Fuerstenau formulas for the interaction on dissimilar double layers // J. Colloid Interf. Sci. 1982. V. 89. № 2. P. 484–493. https://doi.org/10.1016/0021-9797(82)90199-0
- Casimir H.B.G., Polder D. The influence of retardation of the London-van-der-Waals // Phys. Rev. 1948. V. 73. № 4. P. 360–372. https://doi.org/10.1103/PhysRev.73.360
- Schenkel J.H., Kitchener J.A. A test of the Derjaguin-Verwey-Overbeek theory with a colloidal suspension // Trans. Faraday Soc. 1960. V. 56. P. 161–173. https://doi.org/10.1039/TF9605600161
- Bergström L. Hamaker constants of inorganic materials // Advances in Colloid and Interface Science. 1997. V. 70. P. 125–169. https://doi.org/10.1016/S0001-8686(97)00003-1
- Derjaguin B.V., Churaev N.V., Müller V.M., Surface Forces, Consultants Bureau, New York, London (1987).
- McGown D.N.L., Parfitt G.D. Improved theoretical calculation of stability ratio for colloidal systems // J. Phys. Chem. 1967. V. 71. № 2. P. 419–450. https://doi.org/10.1021/j100861a041
- Molina-Bolı´var J.A., Galisteo-Gonza´lez F., Hidalgo-A´lvareza R. Colloidal aggregation in energy minima of restricted depth //J. Chem. Phys. 1999. V. 110. № 11. P. 5412–5420. https://doi.org/10.1063/1.478436
- Ruckenstein E., Huang H. Colloid restabilization at high electrolyte concentrations: Effect of ion valency // Langmuir. 2003. V. 19. № 7. P. 3049–3055. https://doi.org/10.1021/la026729y
- Нogg R., Yang K.C. Secondary coagulation // J. Colloid Interface Sci. 1976. V. 56. № 3. P. 573–576. https://doi.org/10.1016/0021-9797(76)90123-5
- Petit T., Puskar L. FTIR spectroscopy of nanodiamonds: Methods and interpretation // Diamond & Related Materials. 2018. V. 89. P. 52–66. https://doi.org/10.1016/j.diamond.2018.08.005
- Shenderova O., Panich A.M., Moseenkov S. et al. Hydroxylated detonation nanodiamond: FTIR, XPS, and NMR studies // Phys. Chem. C. 2011. V. 115. № 39. P. 19005–19011. https://doi.org/10.1021/jp205389m
- Кулакова И.И. Химия поверхности наноалмазов // Физика твердого тела. 2004. T. 46. № 4. С. 621–628.
- Mochalin V., Osswald S., Gogotsi Yu. Contribution of functional groups to the Raman spectrum of nanodiamond powders // Chem. Mater. 2009. V. 21. № 2. P. 273–279. https://doi.org/10.1021/cm802057q
- Шарин П.П., Сивцева А.В., Яковлева С.П. и др. Сравнение морфологических и структурных характеристик частиц нанопорошков, полученных измельчением природного алмаза и методом детонационного синтеза // Известия вузов. Порошковая металлургия и функциональные покрытия. 2019. Т. 4. С. 55–67. https://doi.org/10.17073/1997-308X-2019-4-55-67
- Шарин П.П., Сивцева А.В., Попов В.И. Термоокисление на воздухе нанопорошков алмазов, полученных механическим измельчением и методом детонационного синтеза // Известия вузов. Порошковая металлургия и функциональные покрытия. 2022. № 4. С. 67–83. https://doi.org/10.17073/1997-308X-2022-4-67-83
- Шарин П.П., Сивцева А.В., Попов В.И. Рентгеновская фотоэлектронная спектроскопия наноалмазов, полученных измельчением и детонационным синтезом // Журнал технической физики. 2021. Т. 91. № 2. С. 287–290. https://doi.org/10.21883/JTF.2021.02.50364.203-20
- Thomas A., Parvathy M.S., Jinesh K.B. Synthesis of nanodiamonds using liquid-phase laser ablation of graphene and its application in resistive random access memory // Carbon Trends. 2021. V. 3. P. 100023. https://doi.org/10.1016/j.cartre.2020.100023
- Lim D.G., Kim K.H., Kang E. et al. Comprehensive evaluation of carboxylated nanodiamond as a topical drug delivery system // International Journal of Nanomedicine. 2016. V. 11. P. 2381–2395. https://doi.org/10.2147/IJN.S104859
- Frese N., Mitchell S.T., Bowers A. et al. Diamond-like carbon nanofoam from low-temperature hydrothermal carbonization of a sucrose/naphthalene precursor solution // Journal of Carbon Research. 2017. V. 3. № 3. P. 23. https://doi.org/10.3390/c3030023
- Testolin A., Cattaneo S., Wang W. et al. Cyclic Voltammetry characterization of Au, Pd, and AuPd nanoparticles supported on different carbon nanofibers // Surfaces. 2019. V. 2. № 1. P. 205–215. https://doi.org/10.3390/surfaces2010016
Supplementary files



















