IN SITU ENCAPSULATION OF NICKEL NANOPARTICLES IN POLYSACCHARIDE SHELLS DURING THEIR FABRICATION BY ELECTRICAL EXPLOSION OF WIRE
- Authors: SAFRONOV A.P.1,2, BEKETOV I.V.1,2, BAGAZEEV A.V.1, MEDVEDEV A.I.1,2, MURZAKAEV A.M.1,2, TERZIYAN T.V.2, ZUBAREV A.Y.2
-
Affiliations:
- Institute of Electrophysics, Ural Branch, Russian Academy of Sciences, Yekaterinburg, Russia
- Yeltsin Ural Federal University, Yekaterinburg, Russia
- Issue: Vol 85, No 4 (2023)
- Pages: 463-475
- Section: Articles
- Submitted: 16.10.2023
- Published: 01.07.2023
- URL: https://ogarev-online.ru/0023-2912/article/view/137239
- DOI: https://doi.org/10.31857/S0023291223600311
- EDN: https://elibrary.ru/OOMKCN
- ID: 137239
Cite item
Full Text
Abstract
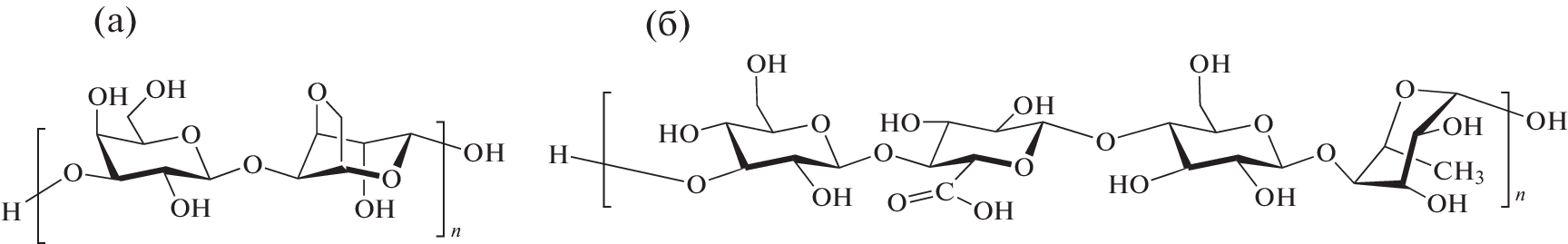
Nickel nanoparticles are obtained by electrical explosion of wire under the action of a high-voltage discharge followed by condensation in an inert gas medium. When butane is added to the gas medium, a carbon shell is deposited onto the condensing nickel particles. Immediately after the synthesis, liquid-phase modification of nanoparticles is carried out with aqueous solutions of polysaccharides agarose and gellan. As a result, a polymer shell is formed on particles of Ni and nickel particles coated with a carbon shell (Ni@C). The dispersity, crystalline structure, and magnetic properties of Ni and Ni@C nanoparticles are characterized by transmission microscopy, X-ray diffraction analysis, and vibration magnetometry. The total carbon
content on the surface of the nanoparticles is determined by thermal analysis with simultaneous mass spectrometry. It is shown that, under the studied conditions, polysaccharides are deposited onto the nanoparticles in amounts up to 2 wt % to form a shell with a thickness of about 4 nm. When agarose is used as a modifier, the content of the polysaccharide increases with the concentration of the modifying solution. When gellan is used as a modifier, a more complex concentration dependence is observed: an initial increase is followed by a decrease in the amount of deposited polysaccharide. The results are discussed from the viewpoint of the influence of the molecular weight of a polymer on the adsorption process.
Keywords
About the authors
A. P. SAFRONOV
Institute of Electrophysics, Ural Branch, Russian Academy of Sciences, Yekaterinburg, Russia; Yeltsin Ural Federal University, Yekaterinburg, Russia
Email: Alexander.safronov@urfu.ru
Россия, 620016, Екатеринбург, ул. Амундсена 106; Россия, 620020, Екатеринбург, ул. Мира 19
I. V. BEKETOV
Institute of Electrophysics, Ural Branch, Russian Academy of Sciences, Yekaterinburg, Russia; Yeltsin Ural Federal University, Yekaterinburg, Russia
Email: Alexander.safronov@urfu.ru
Россия, 620016, Екатеринбург, ул. Амундсена 106; Россия, 620020, Екатеринбург, ул. Мира 19
A. V. BAGAZEEV
Institute of Electrophysics, Ural Branch, Russian Academy of Sciences, Yekaterinburg, Russia
Email: Alexander.safronov@urfu.ru
Россия, 620016, Екатеринбург, ул. Амундсена 106
A. I. MEDVEDEV
Institute of Electrophysics, Ural Branch, Russian Academy of Sciences, Yekaterinburg, Russia; Yeltsin Ural Federal University, Yekaterinburg, Russia
Email: Alexander.safronov@urfu.ru
Россия, 620016, Екатеринбург, ул. Амундсена 106; Россия, 620020, Екатеринбург, ул. Мира 19
A. M. MURZAKAEV
Institute of Electrophysics, Ural Branch, Russian Academy of Sciences, Yekaterinburg, Russia; Yeltsin Ural Federal University, Yekaterinburg, Russia
Email: Alexander.safronov@urfu.ru
Россия, 620016, Екатеринбург, ул. Амундсена 106; Россия, 620020, Екатеринбург, ул. Мира 19
T. V. TERZIYAN
Yeltsin Ural Federal University, Yekaterinburg, Russia
Email: Alexander.safronov@urfu.ru
Россия, 620020, Екатеринбург, ул. Мира 19
A. YU. ZUBAREV
Yeltsin Ural Federal University, Yekaterinburg, Russia
Author for correspondence.
Email: Alexander.safronov@urfu.ru
Россия, 620020, Екатеринбург, ул. Мира 19
References
- Гусев А.И. Наноматериалы, наноструктуры, нанотехнологии. М.: Физматлит, 2009. 416 с.
- Kim Y., Zhao X. Magnetic soft materials and robots // Chemical Reviews. 2022. V. 122. № 5. P. 5317–5364. https://doi.org/10.1021/acs.chemrev.1c00481
- Wu S., Hu W., Ze Q., Sitti M., Zhao R. Multifunctional magnetic soft composites: A review // Multifunctional Materials. 2020. V. 3. P. 042003. https://doi.org/10.1088/2399-7532/abcb0c
- Liao J., Huang H. Review on magnetic natural polymer constructed hydrogels as vehicles for drug delivery // Biomacromolecules. 2020. V. 21. № 7. P. 2574–2594. https://doi.org/10.1021/acs.biomac.0c00566
- Shin B.Y., Cha B.G., Jeong J.H., Kim J. Injectable macroporous ferrogel microbeads with a high structural stability for magnetically actuated drug delivery // ACS Applied Materials & Interfaces. 2017. V. 9. № 37. P. 31372–31380. https://doi.org/10.1021/acsami.7b06444
- Llandro J., Palfreyman J.J., Ionescu A., Barnes C.H.W. Magnetic biosensor technologies for medical applications: A review // Medical & Biological Engineering & Computing. 2010. V. 48. № 10. P. 977–998. https://doi.org/10.1007/s11517-010-0649-3
- Qui J., Li Y., Wang Y., Zhao Z., Zhou Y., Wang Y. Synthesis of carbon-encapsulated nickel nanocrystals by arc discharge of coal-based carbons in water // Fuel. 2004. V. 83. № 4. P. 615–617. https://doi.org/10.1016/j.fuel.2003.09.005
- Ermoline A., Schoenitz M., Dreizin E., Yao N. Production of carbon-coated aluminium nanopowders in pulsed microarc discharge // Nanotechnology. 2002. V. 13. № 5. P. 638–643. https://doi.org/10.1088/0957-4484/13/5/320
- Athanassiou E., Grass R., Stark W. Large-scale production of carbon-coated copper nanoparticles for sensor applications // Nanotechnology. 2006. V. 17. P. 1668–1673. https://doi.org/10.1088/0957-4484/17/6/022
- Kotov Yu.A. Electric explosion of wires as a method for preparation of nanopowders // Journal of Nanoparticle Research. 2003. V. 5. P. 539–550. https://doi.org/10.1023/B:NANO.0000006069.45073.0b
- Патент РФ 2033901. Котов Ю.А., Бекетов И.В., Саматов О.М. Способ получения сферических ультрадисперсных порошков оксидов активных металлов. БИ № 12, 1995, с. 134.
- Патент РФ 2149735. Котов Ю.А., Бекетов И.В., Саматов О.М. Установка для получения высокодисперсных порошков металлов, сплавов и их химических соединений методом электрического взрыв проволоки. БИ № 15, 2000, с. 284.
- Kurlyandskaya G.V., Bhagat S.M., Safronov A.P., Beketov I.V., Larranaga A. Spherical magnetic nanoparticles fabricated by electric explosion of wire // AIP Advances. 2011. V. 1. P. 042122. https://doi.org/10.1063/1.3657510
- Beketov I.V., Safronov A.P., Medvedev A.I., Alonso J., Kurlyandskaya G.V., Bhagat S.M. Iron oxide nanoparticles fabricated by electric explosion of wire: Focus on magnetic nanofluids // AIP Advances. 2012. V. 2. P. 022154. https://doi.org/10.1063/1.4730405
- Beketov I.V., Safronov A.P., Medvedev A.I., Murzakaev A.M., Zhidkov I.S., Cholah S.O., Maximov A.D. Encapsulation of Ni nanoparticles with oxide shell in vapor condensation // Chimica Techno Acta. 2019. V. 6. № 3. P. 93–103. https://doi.org/10.15826/chimtech.2019.6.3.02
- Beketov I.V., Safronov A.P., Bagazeev A.V., Larrañaga A., Kurlyandskaya G.V., Medvedev A.I. In situ modification of Fe and Ni magnetic nanopowders produced by the electrical explosion of wire // Journal of Alloys & Compounds. 2014. V. 586. P. 483–488. https://doi.org/10.1016/j.jallcom.2013.01.152
- Safronov A.P., Terziyan T.V., Petrov A.V., Beketov I.V. Tuning of interfacial interactions in poly(isoprene) ferroelastomer by surface modification of embedded metallic iron nanoparticles // Nanosystems: Physics, Chemistry, Mathematics. 2021. V. 12. № 4. P. 520–527. https://doi.org/10.17586/2220-8054-2021-12-4-520-527
- Rochas C., Lahaye M. Average molecular weight and molecular weight distribution of agarose and agarose-type polysaccharides // Carbohydr. Polym. 1989. V. 10. № 4. P. 289–298. https://doi.org/10.1016/0144-8617(89)90068-4
- Brunchi C.-E., Morariu S., Bercea M. Intrinsic viscosity and conformational parameters of xanthan inaqueous solutions: Salt addition effect // Colloids and Surfaces B: Biointerfaces. 2014. V. 122. P. 512–519. https://doi.org/10.1016/j.colsurfb.2014.07.023
- Foner S., Vibrating sample magnetometer // Rev. Sci. Instrum. 1956. V. 27. № 7. P. 548.
- Beketov I.V., Safronov A.P., Medvedev A.I., Murzakaev A.M., Timoshenkova O.R., Demina T.M. In-situ formation of carbon shells on the surface of Ni nanoparticles synthesized by the electric explosion of wire // Nanosystems: Physics, Chemistry, Mathematics. 2018. V. 9 № 4. P. 513–520.https://doi.org/10.17586/22208054201894513520
- Guenet M.J. Polymer-Solvent Molecular Compounds. Oxford: Elsevier Ltd., 2008.
- Iurciuc C., Savin A., Lungu C., Martin P., Popa M. Gellan. Food applications // Cellulose chemistry and technology. 2016. V. 50. № 1. P. 1–13.
- Rubinstein M., Colby R.H. Polymer Physics; 1st ed.; Oxford University Press: New York, 2003.
- Morris E.R., Nishinari K., Rinaudo M. Gelation of gellan – A review // Food Hydrocolloids. 2012. V. 28. № 2. P. 373–411. https://doi.org/10.1016/j.foodhyd.2012.01.004
- Rinaudo M. Physicochemical behaviour of semi-rigid biopolymers in aqueous medium // Food Hydrocolloids. 2017. V. 68. P. 122–127. https://doi.org/10.1016/j.foodhyd.2016.09.015
- Safronov A.P., Rusinova E.V., Terziyan T.V., Zemova Y.S., Kurilova N.M., Beketov I.V., Zubarev A.Yu. Gelation in alginate-based magnetic suspensions favored by poor interaction among sodium alginate and embedded particles // Applied Sciences. 2023. V. 13. № 7. P. 4619. https://doi.org/10.3390/app13074619
Supplementary files










