Влияние старения ультрамалых наночастиц золота на их взаимодействие с холестерическими микрочастицами ДНК
- Авторы: Климович М.А.1,2, Колыванова М.А.1,2, Дементьева О.В.3, Климович О.Н.1, Рудой В.М.3, Кузьмин В.А.1, Морозов В.Н.1
-
Учреждения:
- Институт биохимической физики им. Н.М. Эмануэля РАН
- Федеральный медицинский биофизический центр им. А.И. Бурназяна ФМБА России
- Институт физической химии и электрохимии им. А.Н. Фрумкина РАН
- Выпуск: Том 85, № 5 (2023)
- Страницы: 583-592
- Раздел: Статьи
- Статья получена: 16.10.2023
- Статья опубликована: 01.09.2023
- URL: https://ogarev-online.ru/0023-2912/article/view/137228
- DOI: https://doi.org/10.31857/S0023291223600542
- EDN: https://elibrary.ru/DIAVWZ
- ID: 137228
Цитировать
Полный текст
Аннотация
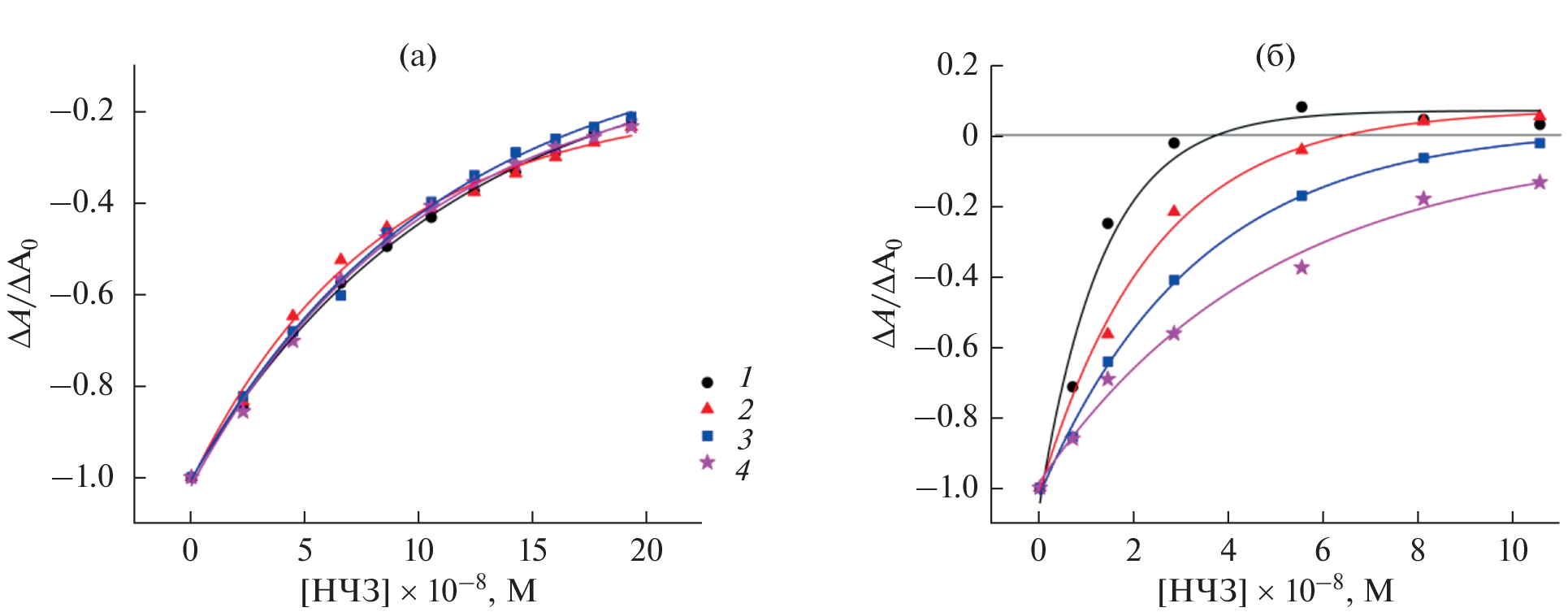
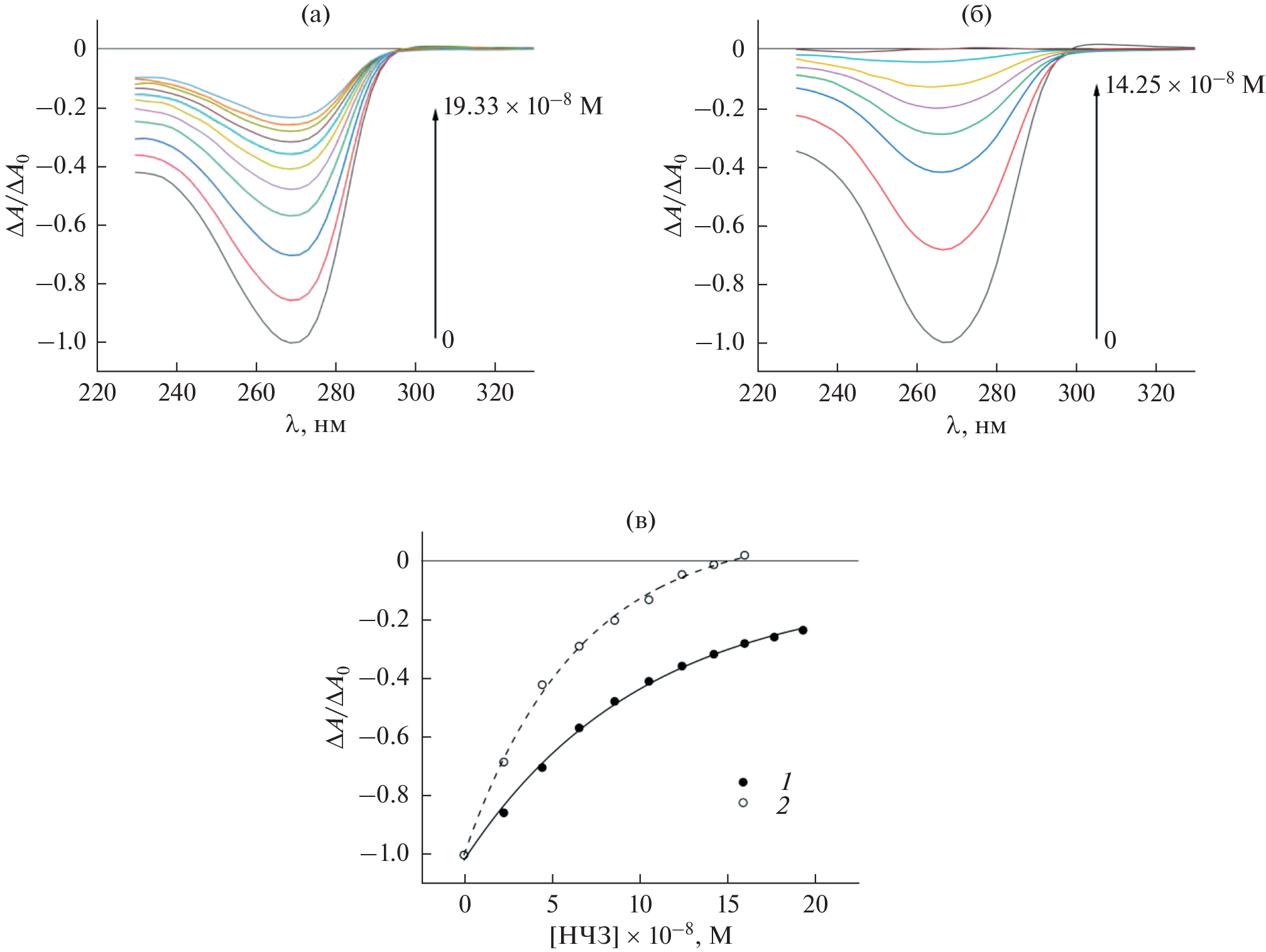
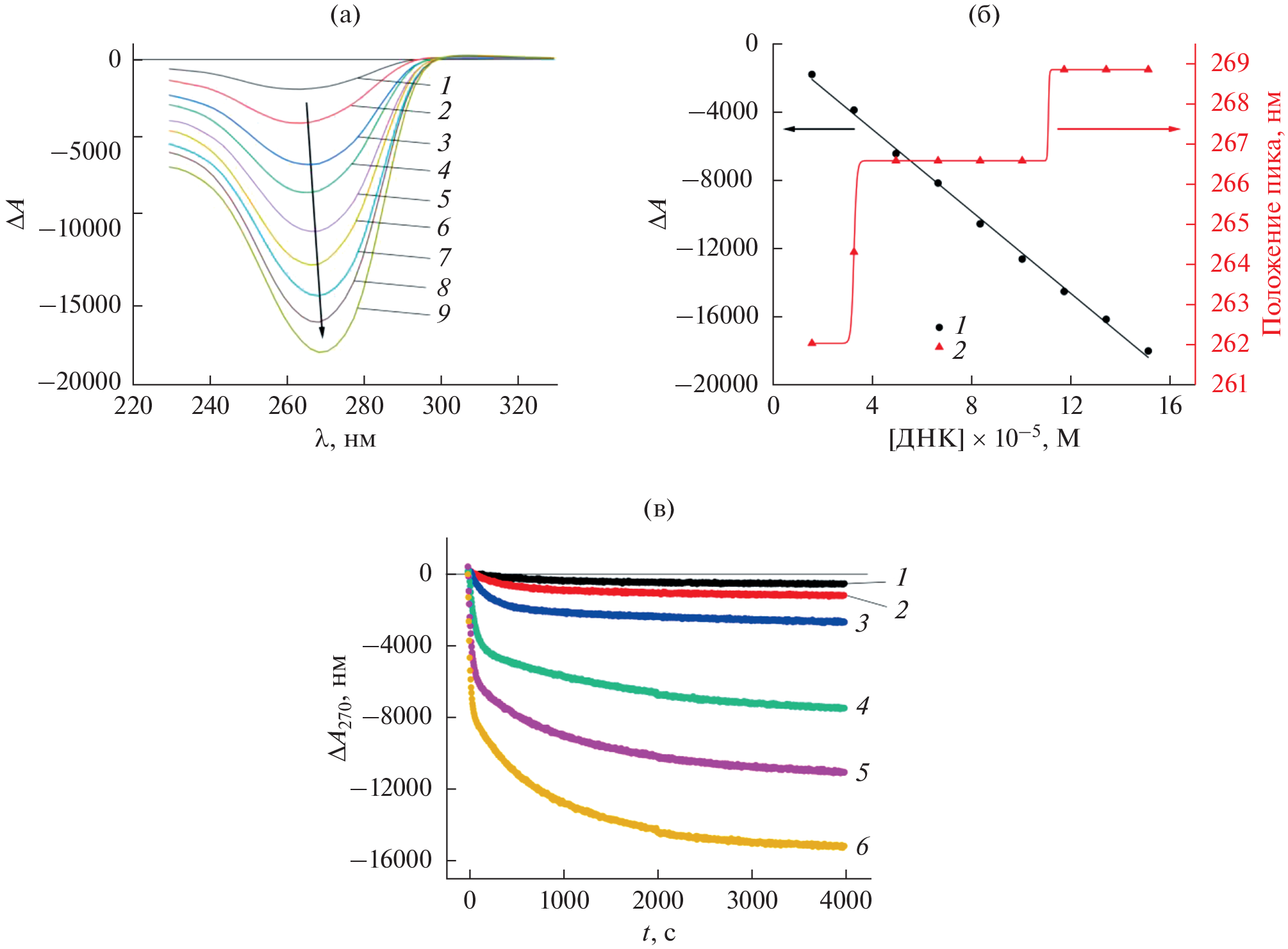
Исследована корреляция между временем предварительной выдержки синтезированных по методу Даффа ультрамалых наночастиц золота (НЧЗ) и структурными аспектами их взаимодействия с частицами холестерических жидкокристаллических дисперсий (ХЖКД) ДНК. Установлено, что “возраст” НЧЗ в значительной мере определяет величину их деструктивного действия по отношению к упорядоченной организации частиц ХЖКД ДНК. Наблюдаемый эффект может быть связан как с постепенным совершенствованием кристаллической решетки (металлизацией) исследуемых НЧЗ, так и с изменением во времени химии их поверхности.
Об авторах
М. А. Климович
Институт биохимической физики им. Н.М. Эмануэля РАН; Федеральный медицинский биофизический центр им. А.И. Бурназяна ФМБА России
Email: morozov.v.n@mail.ru
Россия, 119334, Москва,
ул. Косыгина, 4; Россия, 123098, Москва, ул. Живописная, 46
М. А. Колыванова
Институт биохимической физики им. Н.М. Эмануэля РАН; Федеральный медицинский биофизический центр им. А.И. Бурназяна ФМБА России
Email: morozov.v.n@mail.ru
Россия, 119334, Москва,
ул. Косыгина, 4; Россия, 123098, Москва, ул. Живописная, 46
О. В. Дементьева
Институт физической химии и электрохимии им. А.Н. Фрумкина РАН
Email: morozov.v.n@mail.ru
Россия, 119071, Москва,
Ленинский просп., 31, корп. 4
О. Н. Климович
Институт биохимической физики им. Н.М. Эмануэля РАН
Email: morozov.v.n@mail.ru
Россия, 119334, Москва,
ул. Косыгина, 4
В. М. Рудой
Институт физической химии и электрохимии им. А.Н. Фрумкина РАН
Email: morozov.v.n@mail.ru
Россия, 119071, Москва,
Ленинский просп., 31, корп. 4
В. А. Кузьмин
Институт биохимической физики им. Н.М. Эмануэля РАН
Email: morozov.v.n@mail.ru
Россия, 119334, Москва,
ул. Косыгина, 4
В. Н. Морозов
Институт биохимической физики им. Н.М. Эмануэля РАН
Автор, ответственный за переписку.
Email: morozov.v.n@mail.ru
Россия, 119334, Москва,
ул. Косыгина, 4
Список литературы
- Jordan C.F., Lerman L.S., Venable J.H. Structure and circular dichroism of DNA in concentrated polymer solutions // Nature: New Biology. 1972. V. 236. № 64. P. 67–70. https://doi.org/10.1038/newbio236067a0
- Earnshaw W.C., Casjens S.R. DNA packaging by the double-stranded DNA bacteriophages // Cell. 1980. V. 21. № 2. P. 319–331. https://doi.org/10.1016/0092-8674(80)90468-7
- Yevdokimov Y.M., Skuridin S.G., Salyanov V.I. The liquid-crystalline phases of double-stranded nucleic acids in vitro and in vivo // Liquid Crystals. 1988. V. 3. № 11. P. 1443–1459. https://doi.org/10.1080/02678298808086687
- Livolant F. Ordered phases of DNA in vivo and in vitro // Physica A: Statistical Mechanics and its Applications. 1991. V. 176. № 1. P. 117–137. https://doi.org/10.1016/0378-4371(91)90436-G
- Cheng S.-M., Mohr S.C. The thermal transition of ‘PSI’ DNA monitored by circular dichroism // FEBS Letters. 1974. V. 49. № 1. P. 37–42. https://doi.org/10.1016/0014-5793(74)80626-5
- Nikogosyan D.N., Repeyev Y.A., Yakovlev D.Y. et al. Photochemical alterations in DNA revealed by DNA-based liquid crystals // Photochemistry and Photobio-logy. 1994. V. 59. № 3. P. 269–276. https://doi.org/10.1111/j.1751-1097.1994.tb05033.x
- Kolyvanova M.A., Klimovich M.A., Shibaeva A.V. et al. Cholesteric liquid-crystalline DNA – a new type of chemical detector of ionizing radiation // Liquid Crystals. 2022. V. 49. № 10. P. 1359–1366. https://doi.org/10.1080/02678292.2022.2032854
- Колыванова М.А., Белоусов А.В., Кузьмин В.А. и др. Модификация радиочувствительности холестерической дисперсии ДНК с помощью диметилсульфоксида // Химия высоких энергий. 2022. Т. 56. № 5. С. 416–418. https://doi.org/10.31857/S0023119322050072
- Yevdokimov Y.M., Salyanov V.I., Lortkipanidze G.B. et al. Sensing biological effectors through the response of bridged nucleic acids and polynucleotides fixed in liquid-crystalline dispersions // Biosensors and Bioelectronics. 1998. V. 13. № 3–4. P. 279–291. https://doi.org/10.1016/S0956-5663(97)00133-4
- Евдокимов Ю.М., Салянов В.И., Кондрашина О.В. и др. Жидкокристаллические дисперсии комплексов ДНК с гадолинием – потенциальная платформа для нейтронозахватывающей терапии // Доклады Академии наук. 2005. Т. 402. № 5. С. 693–696. https://doi.org/10.1007/s10628-005-0081-z]
- Koval V.S., Arutyunyan A.F., Salyanov V.I. et al. DNA sequence-specific ligands. XVII. Synthesis, spectral properties, virological and biochemical studies of fluorescent dimeric bisbenzimidazoles DBA(n) // Bioorganic & Medicinal Chemistry. 2018. V. 26. № 9. P. 2302–2309. https://doi.org/10.1016/j.bmc.2018.03.018
- Koval V.S., Arutyunyan A.F., Salyanov V.I. et al. DNA sequence-specific ligands. XVIII. Synthesis, physico-chemical properties; genetic, virological, and biochemical studies of fluorescent dimeric bisbenzimidazoles DBPA(n) // Bioorganic & Medicinal Chemistry. 2020. V. 28. № 7. P. 115378. https://doi.org/10.1016/j.bmc.2020.115378
- Morozov V.N., Kolyvanova M.A., Dement’eva O.V. et al. Fluorescence superquenching of SYBR Green I in crowded DNA by gold nanoparticles // Journal of Luminescence. 2020. V. 219. P. 116898. https://doi.org/10.1016/j.jlumin.2019.116898
- Morozov V.N., Kolyvanova M.A., Dement’eva O.V. et al. Comparison of quenching efficacy of SYBR Green I and PicoGreen fluorescence by ultrasmall gold nanoparticles in isotropic and liquid-crystalline DNA systems // Journal of Molecular Liquids. 2021. V. 321. P. 114751. https://doi.org/10.1016/j.molliq.2020.114751
- Скуридин С.Г., Дубинская В.А., Рудой В.М. и др. Действие наночастиц золота на упаковку молекул ДНК в модельных системах // Доклады Академии наук. 2010. Т. 432. № 6. С. 838–841.
- Евдокимов Ю.М., Салянов В.И., Кац Е.И. и др. Кластеры из наночастиц золота в квазинематических слоях частиц жидкокристаллических дисперсий двухцепочечных нуклеиновых кислот // Acta Naturae. 2012. Т. 4. № 4 (15). С. 80–93.
- Евдокимов Ю.М., Скуридин С.Г., Салянов В.И. и др. Наночастицы золота влияют на “узнавание” двухцепочечных молекул ДНК и запрещают формирование их холестерической структуры // Жидкие кристаллы и их практическое использование. 2014. Т. 14. № 4. С. 5–21.
- Duff D.G., Baiker A., Edwards P.P. A new hydrosol of gold clusters. 1. Formation and particle size variation // Langmuir. 1993. V. 9. № 9. P. 2301–2309. https://doi.org/10.1021/la00033a010
- Duff D.G., Baiker A., Gameson I., Edwards P.P. A new hydrosol of gold clusters. 2. A comparison of some different measurement techniques // Langmuir. 1993. V. 9. № 9. P. 2310–2317. https://doi.org/10.1021/la00033a011
- Морозов В.Н., Климович М.А., Колыванова М.А. и др. Взаимодействие наночастиц золота с цианиновыми красителями в холестерических субмикрочастицах ДНК // Химия высоких энергий. 2021. Т. 55. № 5. С. 339–346.
- Колыванова М.А., Климович М.А., Дементьева О.В. и др. Взаимодействие наночастиц золота с цианиновыми красителями в холестерических субмикрочастицах ДНК. Влияние способа их введения в систему // Химическая физика. 2023. Т. 42. № 1. С. 64–72. https://doi.org/10.31857/S0207401X23010065
- Swarnkar R.K., Singh S.C., Gopal R. Effect of aging on copper nanoparticles synthesized by pulsed laser ablation in water: Structural and optical characterizations // Bulletin of Materials Science. 2011. V. 34. № 7. P. 1363–1369. https://doi.org/10.1007/s12034-011-0329-4
- Ma Y., Chechik V. Aging of gold nanoparticles: Ligand exchange with disulfides // Langmuir. 2011. V. 27. № 23. P. 14432–14437. https://doi.org/10.1021/la202035x
- Gubicza J., Lábár J.L., Quynh L.M. et al. Evolution of size and shape of gold nanoparticles during long-time aging // Materials Chemistry and Physics. 2013. V. 138. № 2–3. P. 449–453. https://doi.org/10.1016/j.matchemphys.2013.01.012
- Дементьева О.В., Карцева М.Е., Сухов В.М. и др. Температурно-временная эволюция ультрамалых затравочных наночастиц золота и синтез плазмонных нанооболочек // Коллоидный журнал. 2017. Т. 79. № 5. С. 562–568. https://doi.org/10.7868/S0023291217050056
- Карцева М.Е., Шишмакова Е.М., Дементьева О.В. и др. Рост фосфониевых наночастиц золота в щелочной среде: кинетика и механизм процесса // Коллоидный журнал. 2021. Т. 83. № 6. С. 644–650.https://doi.org/10.31857/S0023291221060057
- Keller D., Bustamante C. Theory of the interaction of light with large inhomogeneous molecular aggregates. II. Psi-type circular dichroism // The Journal of Chemical Physics. 1986. V. 84. № 6. P. 2972–2980. https://doi.org/10.1063/1.450278
- Компанец О.Н. Портативные оптические биосенсоры для определения биологически активных и токсичных соединений // Успехи физических наук. 2004. Т. 174. № 6. С. 686–690.
- Ершов Б.Г. Короткоживущие малые кластеры металлов в водных растворах: получение, идентификация и свойства // Известия Академии наук. Серия химическая. 1999. № 1. С. 1–15.
- Livolant F., Leforestier A. Condensed phases of DNA: Structures and phase transitions // Progress in Polymer Science. 1996. V. 21. № 6. P. 1115–1164. https://doi.org/10.1016/S0079-6700(96)00016-0
- Muzzopappa F., Hertzog M., Erdel F. DNA length tunes the fluidity of DNA-based condensates // Biophysical Journal. 2021. V. 120. № 7. P. 1288–1300. https://doi.org/10.1016/j.bpj.2021.02.027
- Семенов С.В., Евдокимов Ю.М. Круговой дихроизм частиц жидкокристаллических дисперсий ДНК // Биофизика. 2015. Т. 60. № 2. С. 242–252.
- Скуридин С.Г., Лорткипанидзе Г.Б., Мусаев О.Р. и др. Формирование жидкокристаллических микрофаз двухцепочечных нуклеиновых кислот и синтетических полинуклеотидов низкой молекулярной массы // Высокомолекулярные соединения. Серия А. 1985. Т. 27. № 11. С. 2261–2265.
- Morozov V.N., Klimovich M.A., Kostyukov A.A. et al. Förster resonance energy transfer from Hoechst 33258 to SYBR Green I in cholesteric liquid-crystalline DNA // Journal of Luminescence. 2022. V. 252. P. 119381. https://doi.org/10.1016/j.jlumin.2022.119381
- Скуридин С.Г., Дубинская В.А., Штыкова Э.В. и др. Фиксация наночастиц золота в структуре квазинематических слоев, образованных молекулами ДНК // Биологические мембраны. 2011. Т. 28. № 3. С. 191–198.
- Евдокимов Ю.М. Наночастицы золота и жидкие кристаллы ДНК // Вестник Московского университета. Серия 2: Химия. 2015. Т. 56. № 3. С. 147–157.
- Евдокимов Ю.М., Салянов В.И., Скуридин С.Г. и др. Физико-химический и нанотехнологический подходы к созданию “твердых” пространственных структур ДНК // Успехи химии. 2015. Т. 84. № 1. С. 27–42.
- Brach K., Matczyszyn K., Olesiak-Banska J. et al. Stabilization of DNA liquid crystals on doping with gold nanorods // Physical Chemistry Chemical Physics. 2016. V. 18. P. 7278–7283. https://doi.org/10.1039/C5CP07026K
- Скуридин С.Г., Салянов В.И., Попенко В.И. и др. Структурные эффекты, вызываемые наночастицами золота, в частицах холестерических жидкокристаллических дисперсий двухцепочечных нуклеиновых кислот // Химико-фармацевтический журнал. 2013. Т. 47. № 2. С. 3–11. https://doi.org/10.30906/0023-1134-2013-47-2-3-11
Дополнительные файлы







