Электрокинетический транспорт неньютоновской жидкости через мягкий наноканал с рН-чувствительным и частично проницаемым для ионов полимерным слоем
- Авторы: Kumar D.1, Barman B.1
-
Учреждения:
- Факультет математики, Национальный институт технологии Патны
- Выпуск: Том 85, № 2 (2023)
- Страницы: 179-190
- Раздел: Статьи
- Статья получена: 16.10.2023
- Статья опубликована: 01.03.2023
- URL: https://ogarev-online.ru/0023-2912/article/view/137207
- DOI: https://doi.org/10.31857/S0023291223700052
- EDN: https://elibrary.ru/UVFIOX
- ID: 137207
Цитировать
Полный текст
Аннотация
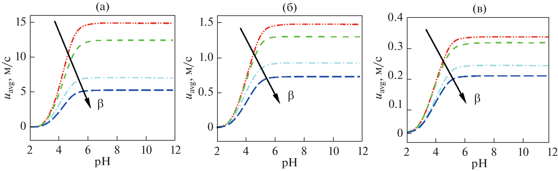
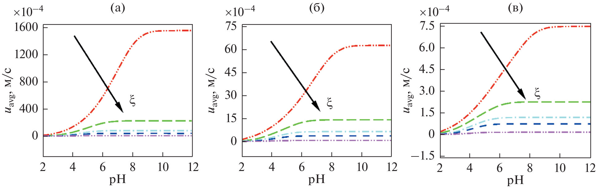
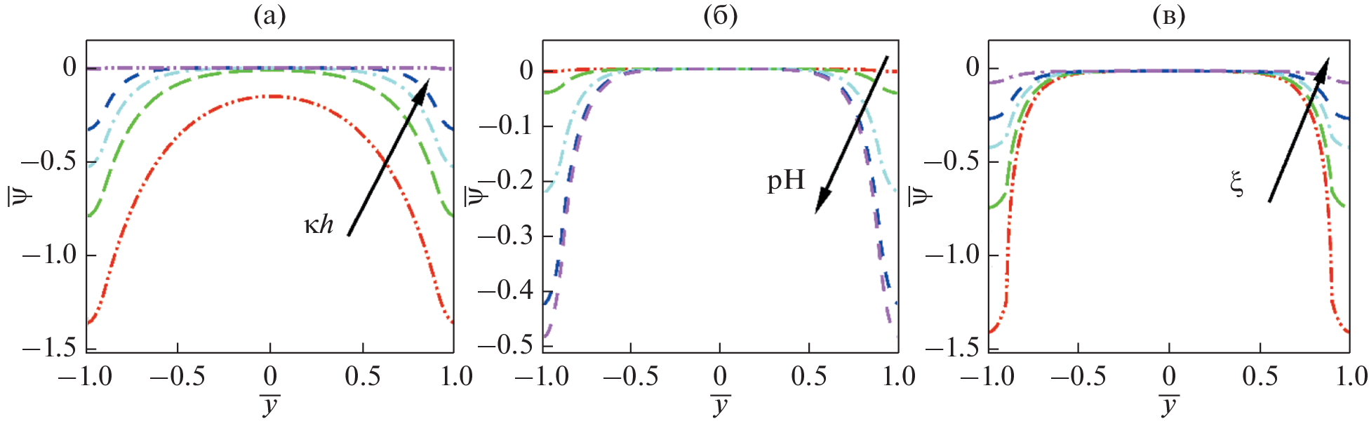
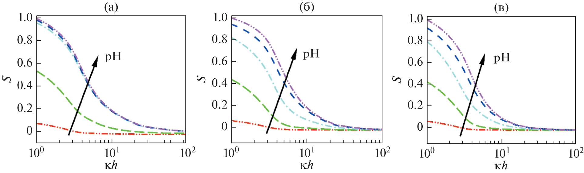
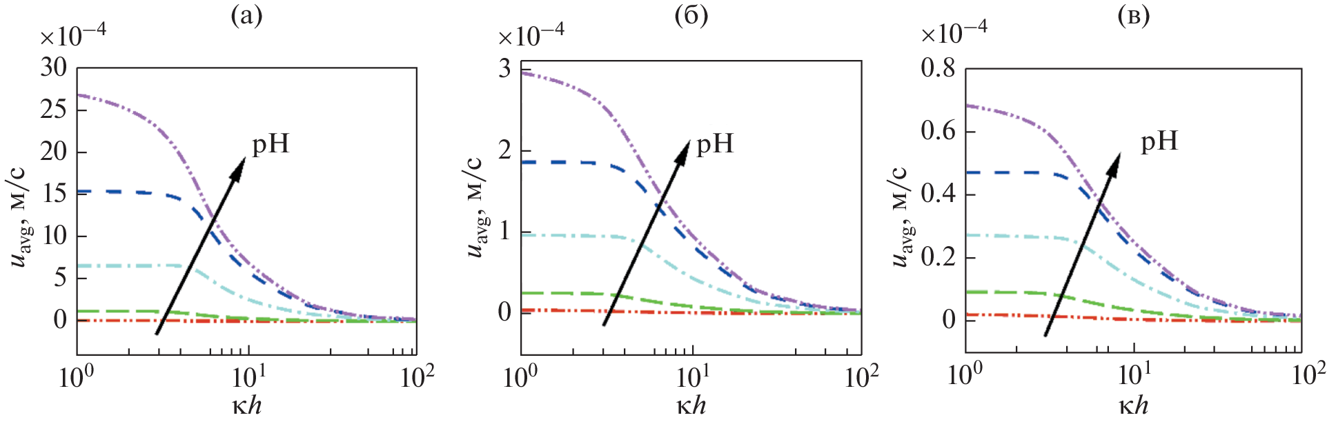
Статья посвящена всестороннему исследованию электроосмотического течения и транспорта ионов через заполненный неньютоновской жидкостью мягкий наноканал с привитым полимером. В работе рассматривается равновесное течение в щелевом прямоугольном канале, в котором заряженный полиэлектролитный слой (PEL) образуется за счет одновалентных кислотных ионизируемых групп, прикрепленных к жесткой стенке. В нашей работе рассматривается эффект ионного разделения, который возникает из-за разницы в относительной диэлектрической проницаемости области полиэлектролита и в объеме электролита. Для описания математической модели используются совместно нелинейное уравнение Пуассона–Больцмана и модифицированное уравнение движения сплошной среды. Основная цель этого анализа – продемонстрировать влияние объемного pH на регулирование заряда моноионных функциональных групп, находящихся в полиэлектролитном слое, влияние характеристического показателя потока жидкости и разичных электрогидродинамических параметров, включая толщину двойного электрического слоя, параметр разделения ионов, длину Дебая, параметры мягкости и т.д., определяющие общие параметры модуляции потока и селективности. Ожидается, что это исследование станет значительным шагом вперед в реальном математическом моделировании электрогидродинамики непрерывных межфазных потоков в мягких наноканалах.
Об авторах
Deepak Kumar
Факультет математики, Национальный институт технологии Патны
Email: bhanuman@nitp.ac.in
Индия, 800005, Патна
Bhanuman Barman
Факультет математики, Национальный институт технологии Патны
Автор, ответственный за переписку.
Email: bhanuman@nitp.ac.in
Индия, 800005, Патна
Список литературы
- Figeys D., Pinto D. Lab-on-a-chip: a revolution in biological and medical sciences // Analytical Chemistry. 2000. V. 72. P. 330A–335A.
- Zeng S., Chen C.H., Mikkelsen Jr, J.C., Santiago J.G. Fabrication and characterization of electroosmotic micropumps // Sensors and Actuators B: Chemical. 2001. V. 79. № 2–3. P. 107–114.
- Howard A.S., Abraham D.S., Armand A. Engineering flows in small devices: microfluidics toward a lab-on-a-chip // Annu. Rev. Fluid Mech. 2004. V. 36. P. 381–411.
- Xiayan W., Chang Ch., Shili W., Shaorong L. Electroosmotic pumps and their applications in microfluidic systems // Microfluidics and Nanofluidics. 2009. V. 6. № 2. P. 145–162.
- Dutta P., Beskok A. Analytical solution of combined electroosmotic/pressure driven flows in two-dimensional straight channels: finite Debye layer effects // Analytical Chemistry. 2001. V. 73. № 9. P. 1979–1986.
- Bhattacharyya S., Zheng Z., Conlisk A.T. Electro-osmotic flow in two-dimensional charged micro-and nanochannels // Journal of Fluid Mechanics. 2005. V. 540. P. 247–267.
- Bhattacharyya S., Ameeya Kumar Nayak. Electroosmotic flow in micro/nanochannels with surface potential heterogeneity: an analysis through the Nernst-Planck model with convection effect // Colloids and Surfaces A: Physicochemical and Engineering Aspects. 2009. V. 339. № 1–3. P. 167–177.
- Bhattacharyya S., Ameeya Kumar Nayak. Combined effect of surface roughness and heterogeneity of wall potential on electroosmosis in microfluidic/nanofluidic channels // Journal of Fluids Engineering. 2010. V. 132. № 4. P. 041103.
- Alireza Ahmadian Yazdi, Arman Sadeghi, Mohammad Hassan Saidi. Electrokinetic mixing at high zeta potentials: ionic size effects on cross stream diffusion // Journal of Colloid and Interface Science. 2015. V. 442. P. 8–14.
- Partha P. Gopmandal, Ohshima H. Modulation of electroosmotic flow through electrolyte column surrounded by a dielectric oil layer // Colloid and Polymer Science. 2017. V. 295. № 7. P. 1141–1151.
- Santanu Saha, Partha P. Gopmandal, Ohshima H. Steady/unsteady electroosmotic flow through nanochannel filled with electrolyte solution surrounded by an immiscible liquid // Colloid and Polymer Science. 2017. V. 295. № 12. P. 2287–2297.
- Milad Azari, Arman Sadeghi, Suman Chakraborty. Electroosmotic flow and heat transfer in a heterogeneous circular microchannel // Applied Mathematical Modelling. 2020. V. 87. P. 640–654.
- De Simanta, Gopmandal Partha P., Kumar B., Sinha R.K. Effect of hydrophobic patch on the modulation of electroosmotic flow and ion selectivity through nanochannel // Applied Mathematical Modelling. 2020. V. 87. P. 488–500.
- Mathias Dietzel, Steffen Hardt. Electroosmotic flow in small-scale channels induced by surface-acoustic waves // Physical Review Fluids. 2020. V. 5. № 12. P. 123702.
- Feuillebois F., Bazant M.Z., Vinogradova O.I. Effective slip over superhydrophobic surfaces in thin channels // Physical Review Letters. 2009. V. 102. № 2. P. 026001.
- Vinogradova O.I., Silkina E.F., Asmolov E.S. Enhanced transport of ions by tuning surface properties of the nanochannel // Physical Review E. 2021. V. 104. № 3. P. 035107.
- Vinogradova O.I, Silkina E.F., Asmolov E.S. Transport of ions in hydrophobic nanotubes // Physics of Fluids. 2022. V. 34. № 12. P. 122003.
- Chhabra R.P., Richardson J.F. Non-Newtonian flow and applied rheology: engineering applications // Butterworth-Heinemann, 2011.
- Zhao C., Zholkovskij E., Masliyah J.H., Yang Ch. Analysis of electroosmotic flow of power-law fluids in a slit microchannel // Journal of Colloid and Interface Science. 2008. V. 326. № 2. P. 503–510.
- Das Siddhartha, Chakraborty Suman. Analytical solutions for velocity, temperature and concentration distribution in electroosmotic microchannel flows of a non-Newtonian bio-fluid // Analytica Chimica Acta. 2006. V. 559. № 1. P. 15–24.
- Chakraborty Suman. Electroosmotically driven capillary transport of typical non-Newtonian biofluids in rectangular microchannels // Analytica Chimica Acta. 2007. V. 605. № 2. P. 175–184.
- Babaie A., Sadeghi A., Saidi M.H. Combined electroosmotically and pressure driven flow of power-law fluids in a slit microchannel // Journal of Non-Newtonian Fluid Mechanics. 2011. V. 166. № 14–15. P. 792–798.
- Zhao C., Yang Ch. An exact solution for electroosmosis of non-Newtonian fluids in microchannels // Journal of Non-Newtonian Fluid Mechanics. 2011. V. 166. № 17–18. P. 1076–1079.
- Zhao C., Yang Ch. Electro-osmotic mobility of non-Newtonian fluids // Biomicrofluidics. 2011. V. 5. № 1. P. 014110.
- Bag Naren, Bhattacharyya S., Gopmandal P.P., Ohshima H. Electroosmotic flow reversal and ion selectivity in a soft nanochannel // Colloid and Polymer Science. 2018. V. 296. № 5. P. 849–859.
- Bhattacharyya S., Kundu D. Enhanced electroosmotic flow, conductance and ion selectivity of a viscoplastic fluid in a hydrophobic cylindrical pore // Applied Mathematical Modelling. 2022. V. 111. P. 802–817.
- Sadeghi M., Saidi M.H., Sadeghi A. Electroosmotic flow and ionic conductance in a pH-regulated rectangular nanochannel // Physics of Fluids. 2017. V. 29. № 6. P. 062002.
- Yang M., Buren M., Chang L., Zhao Y. Time periodic electroosmotic flow in a pH-regulated parallel-plate nanochannel // Physica Scripta. 2022. V. 97. № 3. P. 030003.
- Kimani E.M., Prani‘c M., Porada S., Kemperman A.J.B., Ryzhkov I.I., van der Meer W.G.J., Biesheuvel P.M. The influence of feedwater pH on membrane charge ionization and ion rejection by reverse osmosis: an experimental and theoretical study // Journal of Membrane Science. 2022. V. 660. P. 120800.
- Tseng Shiojenn, Tai Yi-Hsuan, Hsu Jyh-Ping. Electrokinetic flow in a pH-regulated, cylindrical nanochannel containing multiple ionic species // Microfluidics and Nanofluidics. 2013. V. 15. № 6. P. 847–857.
- Schoch R.B., Bertsch A., Renaud Ph. pH-controlled diffusion of proteins with different pi values across a nanochannel on a chip // Nano Letters. 2006. V. 6. № 3. P. 543–547.
- Poddar A., Maity D., Bandopadhyay A., Chakraborty S. Electrokinetics in polyelectrolyte grafted nanofluidic channels modulated by the ion partitioning effect // Soft Matter. 2016. V. 12. № 27. P. 5968–5978.
- Gopmandal P.P., De S., Bhattacharyya S., Ohshima H. Impact of ion-steric and ion-partitioning effects on electrophoresis of soft particles // Physical Review E. 2020. V. 102. № 3. P. 032601.
- Mahapatra P., Gopmandal P.P., Duval J.F.L. Effects of dielectric gradients-mediated ions partitioning on the electrophoresis of composite soft particles: an analytical theory // Electrophoresis. 2021. V. 42. № 1–2. P. 153–162.
- Born M. Volumen und hydratationswarme der ionen // Zeitschrift fur physik. 1920. V. 1. № 1. P. 45–48.
- Coster H.G.L. The double fixed charge membrane: solution-membrane ion partition effects and membrane potentials // Biophysical Journal. 1973. V. 13. № 2. P. 133–142.
- Ohshima H. Electrophoresis of soft particles // Advances in Colloid and Interface Science. 1995. V. 62. № 2–3. P. 189–235.
- Gopmandal P.P., Ohshima H. Importance of pH-regulated charge density on the electrophoresis of soft particles // Chemical Physics. 2017. V. 483. P. 165–171.
- Donath E., Voigt A. Streaming current and streaming potential on structured surfaces // Journal of Colloid and Interface Science. 1986. V. 109. № 1. P. 122–139.
- Wu Jan H., Keh Huan J. Diffusioosmosis and electroosmosis in a capillary slit with surface charge layers // Colloids and Surfaces A: Physicochemical and Engineering Aspects. 2003. V. 212. № 1. P. 27–42.
- Keh Huan J., Ding Jau M. Electrokinetic flow in a capillary with a charge-regulating surface polymer layer // Journal of Colloid and Interface Science. 2003. V. 263. № 2. P. 645–660.
- Duval J.F.L, van Leeuwen H.P. Electrokinetics of diffuse soft interfaces. 1. Limit of low Donnan potentials // Langmuir. 2004. V. 20. № 23. P. 10324–10336.
- Ma Hsien Chen, Keh Huan J. Diffusioosmosis of electrolyte solutions in a capillary slit with adsorbed polyelectrolyte layers // Journal of Colloid and Interface Science. 2007. V. 313. № 2. P. 686–696.
- Dukhin S.S., Zimmermann R., Duval J.F.L, Werner C. On the applicability of the Brinkman equation in soft surface electrokinetics // Journal of Colloid and Interface Science. 2010. V. 350. № 1. P. 1–4.
- Duval J.F.L, Kuttner D., Nitschke M., Werner C., Zimmermann R. Interrelations between charging, structure and electrokinetics of nanometric polyelectrolyte films // Journal of Colloid and Interface Science. 2011. V. 362. № 2. P. 439–449.
- Chanda S., Sinha Sh., Das S. Streaming potential and electroviscous effects in soft nanochannels: towards designing more efficient nanofluidic electrochemomechanical energy converters // Soft Matter. 2014. V. 10. № 38. P. 7558–7568.
- Chen G., Das S. Streaming potential and electroviscous effects in soft nanochannels beyond Debye–Hückel linearization // Journal of Colloid and Interface Science. 2015. V. 445. P. 357–363.
- Saha S., Gopmandal P.P., Ohshima H. Electroosmotic flow and transport of ionic species through a slit soft nanochannel filled with general electrolytes // Meccanica. 2019. V. 54. № 14. P. 2131–2149.
- Silkina E.F., Bag N., Vinogradova O.I. Electro-osmotic properties of porous permeable films // Physical Review Fluids. 2020. V. 5. № 12. P. 123701.
- Silkina E.F., Bag N., Vinogradova O.I. Surface and zeta potentials of charged permeable nanocoatings // The Journal of Chemical Physics. 2021. V. 154. № 16. P. 164701.
- Gaikwad Harshad Sanjay, Kumar Gaurav, Mondal Pranab Kumar. Efficient electroosmotic mixing in a narrow-fluidic channel: the role of a patterned soft layer // Soft Matter. 2020. V. 6. № 27. P. 6304–6316.
- Li Fengqin, Jian Yongjun, Xie Zhiyong, Liu Yongbo, Liu Quansheng. Transient alternating current electroosmotic flow of a Jeffrey fluid through a polyelectrolyte-grafted nanochannel // RSC Advances. 2017. V. 7. № 2. P. 782–790.
- Patel Maneesh, Kruthiventi S.S., Kaushik P. Polyelectrolyte layer grafting effect on the rotational electroosmotic flow of viscoplastic material // Microfluidics and Nanofluidics. 2021. V. 25. № 2. P. 1–20.
- Barman Bhanuman, Kumar Deepak, Gopmandal P.P., Ohshima H. Electrokinetic ion transport and fluid flow in a pH-regulated polymer-grafted nanochannel filled with power-law fluid // Soft Matter. 2020. V. 16. № 29. P. 6862–6874.
- Ohshima H. Approximate analytic expression for the pH-dependent electrophoretic mobility of soft particles // Colloid and Polymer Science. 2016. V. 294. № 12. P. 1997–2003.
- Shenoy A.V. Darcy–Forchheimer natural, forced and mixed convection heat transfer in non-Newtonian power-law fluid-saturated porous media // Transport in Porous Media. 1993. V. 11. № 3. P. 219–241.
- Shenoy A.V. Non-Newtonian fluid heat transfer in porous media // Advances in Heat Transfer. 1994. V. 24. P. 101–190.
- Christopher Robert H., Middleman Stanley. Power-law flow through a packed tube // Industrial & Engineering Chemistry Fundamentals. 1965. V. 4. № 4. P. 422–426.
Дополнительные файлы









