Amorphous SICX:H and SICXNY:H films obtained from hexamethyldisilane vapor in inductively coupled RF discharge plasma
- Authors: Chagin M.N.1, Ermakova E.N.1, Shayapov V.R.1, Sulyaeva V.S.1, Maksimovskii E.A.1, Yushina I.V.1, Kosinova M.L.1
-
Affiliations:
- Nikolaev Institute of Inorganic Chemistry, Siberian Branch, Russian Academy of Sciences
- Issue: Vol 58, No 6 (2024)
- Pages: 500-507
- Section: PLASMA CHEMISTRY
- URL: https://ogarev-online.ru/0023-1193/article/view/281565
- DOI: https://doi.org/10.31857/S0023119324060112
- EDN: https://elibrary.ru/THFVPG
- ID: 281565
Cite item
Full Text
Abstract
Amorphous films of hydrogenated silicon carbide SiCx:H and carbonitride SiCxNy:H have been synthesized in an RF inductively coupled plasma reactor using hexamethyldisilane vapor and additional argon and/or nitrogen gases. The deposition process was carried out at temperatures of 50–400°C and plasma powers of 100–400 W. The dependences of the growth rate, chemical composition and structure of films, light transmittance, refractive index, and optical band gap on synthesis conditions have been obtained. An in situ study of the gas phase composition was performed using optical emission spectroscopy.
Full Text
Устойчивое внимание исследователей к системе Si–С–N является не случайным, и оно обусловлено уникальным набором свойств двойных соединений, таких как нитрид углерода, карбид и нитрид кремния, а также карбонитрида кремния SiCxNy. Последнее из них, имеющее переменный состав, вызывает особый интерес в связи с возможностью варьирования функциональных характеристик, в том числе показателя преломления (n), коэффициента пропускания света (T) и оптической ширины запрещенной зоны (ШЗЗ). На сегодняшний день существует значительное количество работ по получению материалов на основе SiCx:H и SiCxNy:H с использованием различных методов формирования пленок. Особое внимание уделяется плазмохимическому осаждению из газовой фазы (PECVD), так как нетермическая активация смеси реагентов с помощью высокочастотного разряда и использование в качестве исходных летучих веществ кремнийорганических соединений (КОС) значительно понижают температуру синтеза [1–3]. В отличие от ранее используемых смесей силана с углеводородами, КОС содержат в своей молекуле все необходимые элементы и связи Si–C и/или Si–N для формирования пленок. Одним из таких исходных веществ является гексаметилдисилан Me3Si–SiMe3 (ГМДС), который в отличие от большинства КОС содержит слабую связь Si–Si, играющую важную роль при разложении прекурсора и росте пленок [4, 5].
В табл. 1 проиллюстрированы процессы получения пленок а-SiCx:H из ГМДС и некоторые их функциональные характеристики.
Таблица 1. Пленки а-SiCx:H, полученные из гексаметилдисилана: процессы синтеза и функциональные свойства
Метод синтеза | Тос, °С | Р, Вт | Элементный состав, ат. % | H, ГПа E, ГПа | k | КУС*, Тос | n ШЗЗ, эВ | ссыл-ка | |||
Si | C | O | H | ||||||||
PECVD | 300 | 15–25 | 62 | 15–25 | 15-19 – | 6 | |||||
PECVD | 400, 450 | 200, 300 | 55-85 | 1.5-6 | 7 | ||||||
PECVD | 20–200 | 105–110 | 8 | ||||||||
PECVD | 20 | 60–140 | 105–160 | 9 | |||||||
PECVD | 150 | 30 | 17.75 | 69.64 | 12.61 | 1.37 10.18 | 2.8–3.1 2.6–2.8# | 10 | |||
PECVD | 30–600 | 300 | – 2.1–3.3 | 5 | |||||||
PECVD | 200–300 | 200–300 | 2.8-2.68 – | 11 | |||||||
MF PECVD | 100 | 18–35 | 35–52 | 22–26 | 33–41 | 2–5.5 – | 12 | ||||
*КУС – краевой угол смачивания k – диэлектрическая постоянная # - отожженные пленки
В упомянутых в табл. 1 работах рассматривается влияние параметров процесса роста, таких как мощность плазмы (P), температура осаждения (Тос) и скорость потока газа (F), на кинетические характеристики процесса, состав и, следовательно, физико-химические свойства и функциональные характеристики пленок. Следует отметить, что синтезированные из ГМДС разными методами пленки а-SiCx:H имеют различное соотношение [C]/[Si], например равное 2.7–1.2 [12] и 1.7–0.8 [5], при этом содержание углерода в пленках варьируется от 35 до 85 ат. %. Это может быть связано с большим содержанием углерода в молекуле прекурсора ГМДС (Si:C = 1:3). При проведении синтеза при низких Тос водород, имеющийся в молекуле исходного вещества, также входит в состав пленок в виде водородсодержащих связей C–H, Si–H. Как показано в работе [12], содержание водорода в пленках a-SiCx:H может достигать 40 ат. %.
В настоящей работе синтез пленок осуществлялся в реакторе с индуктивно-связанной ВЧ- плазмой (ICP CVD), которая ранее не применялась исследователями для разложения ГМДС. Задача исследования состояла в разработке методики синтеза и понимании особенностей осаждения пленок SiCx:H и SiCxNy:H из ГМДС, в изучении зависимости кинетики роста и физико-химических свойств пленок от условий их формирования. Также внимание уделено исследованию состава газовой фазы методом оптической эмиссионной спектроскопии (ОЭС) при плазмохимическом разложении ГМДС в различных газовых смесях.
ЭКСПЕРИМЕНТАЛЬНАЯ ЧАСТЬ
Пленки SiCx:H и SiCxNy:H синтезировали из смесей ГМДС + Ar и ГМДС + N2+Ar в установке ICP CVD [13], в которой возбуждалась индуктивно-связанная плазма с частотой генерации 13.56 МГц. Подложку размещали на пьедестале, температуру которого изменяли от 50 до 400°C. Мощность ВЧ-разряда регулировали в пределах от 100 до 400 Вт. Остаточное давление в системе было 1 × 10–4 Торр. При подаче паров исходного вещества и дополнительных газов (Ar и N2, ос. ч.) рабочее давление в реакторе возрастало до (2.1–3.1) × 10–3 Торр. Парциальное давление ГМДС в реакторе было 1 × 10–3 Торр. Кроме того, в область под подложкодержателем вводили гелий для обеспечения равномерности температуры по площади подложки. Условия проведения процессов осаждения приведены в табл. 2.
Таблица 2. Условия проведения процесса ICP CVD синтеза пленок SiCx:H и SiCxNy:H
Серия | Тос, °С | P, Вт | p(ГМДС), Торр | F(N2), см3/мин |
А | 50–400 | 200 | 1 × 10–3 | 0 |
Б | 200 | 100–400 | 1 × 10–3 | 0 |
В | 200 | 200 | 1 × 10–3 | 0–35 |
Для формирования пленок использовали подложки Si(100), Ge(111) и пластины из кварцевого стекла, прошедшие предварительно стандартную химическую обработку. В работе применяли набор современных методов характеризации пленок. Все исследования проведены на свежеприготовленных образцах. Определение толщины и показателя преломления пленок осуществляли эллипсометрическим методом. Измерения проводили на монохроматическом эллипсометре ЛЭФ-3М на длине волны 632.8 нм. ИК-спектры пленок регистрировали с помощью ИК-Фурье-спектрометра SCIMITAR FTS2000 в диапазоне волновых чисел 400–4000 см–1. Сканирующий электронный микроскоп JEOL JSM 6700F, снабженный приставкой для энергодисперсионного анализа (ЭДС) веществ EDS Bruker Quantax 200 с детектором X-Flash 6|60, использовали для изучения морфологии и элементного состава пленок. Для определения коэффициента пропускания света и оптической ширины запрещенной зоны записывали спектры пропускания пленок, выращенных на подложках из кварцевого стекла, с помощью сканирующего спектрофотометра Shimadzu UV-3101 PC в диапазоне 190–3200 нм.
В процессах ICP CVD осаждения пленок контролировали химический состав газовой фазы методом оптической эмиссионной спектроскопии (ОЭС) с использованием многоканального спектрометра “Колибри-2” в спектральном диапазоне 200–1200 нм. Расшифровку спектров проводили с использованием справочной литературы [14–16]. Смеси ГМДС + Ar + N2 исследовали при трех значениях доли азота в суммарном потоке (x = F(N2)/[F(N2) + F(Ar)] = 0, 0.5 и 1) и при трех значениях мощности ВЧ-разряда (50, 200 и 400 Вт).
РЕЗУЛЬТАТЫ И ОБСУЖДЕНИЕ
Количественное изучение процессов PECVD затрудняется большим числом факторов, влияющих на состав, структуру и свойства получаемых пленок. В большинстве случаев для определения оптимальных условий синтеза приходится идти путем широкого варьирования параметров процесса. В данной работе изучено влияние температуры синтеза (Тос), мощности плазмы (Р) и состава исходной газовой смеси, определенного как соотношение скоростей потоков азота и аргона x = F(N2)/[F(N2) + F(Ar)], на скорость осаждения пленок, морфологию поверхности, элементный состав, химическое строение и некоторые функциональные характеристики.
Эмиссионные спектры плазмы для смесей ГМДС + Ar и ГМДС + Ar + N2 при x = 0.5 представлены на рис. 1. В диапазоне 600–1200 нм проявляются интенсивные атомные линии аргона, полосы молекулярного азота, а также атомная линия водорода Hα (656.2 нм). В интервале 200–600 нм обнаружены атомные линии кремния, гелия и водорода, полосы азота N2, циана CN, димера C2. Заметим, что в смеси ГМДС + Ar, когда азот в реактор не подавался, интенсивность полос азота отлична от нуля из-за влияния остаточной атмосферы в реакционной камере. Наличие атомарного кремния и димера C2 в газовой фазе указывает на глубокое разложение ГМДС в плазме. По набору частиц спектры качественно не отличаются от исследованных ранее спектров для смесей тетраметилсилана (ТМС) [5] с аргоном и азотом. Однако сравнение спектров, полученных в данной работе, со спектрами ICP плазмы в смеси ТМС + Ar [17] показывает, что ТМС подвергается более глубокому разложению, чем ГМДС. Признаком этого является значительно большая относительная интенсивность линий Si и полос C2 в спектрах плазмы смеси ТМС + Ar [17]. Можно предположить, что это связано с отличием строения этих соединений, а именно наличием в гексаметилдисилане сравнительно слабой связи Si–Si, при разрыве которой образуются триметилсилильные радикалы –Si–(CH3)3, но эти образующиеся фрагменты не дают полос в эмиссионных спектрах в данном диапазоне. С ростом концентрации азота в газовой смеси Ar+N2 интенсивность эмиссии атомов Si и димеров C2 значительно уменьшается (рис. 1б).
Рис. 1. Эмиссионные спектры ICP-плазмы (P = 400 Вт) смесей ГМДС+Ar (а) и ГМДС+Ar+N2 при F(N2)/[F(N2)+F(Ar)] = 0.5 (б).
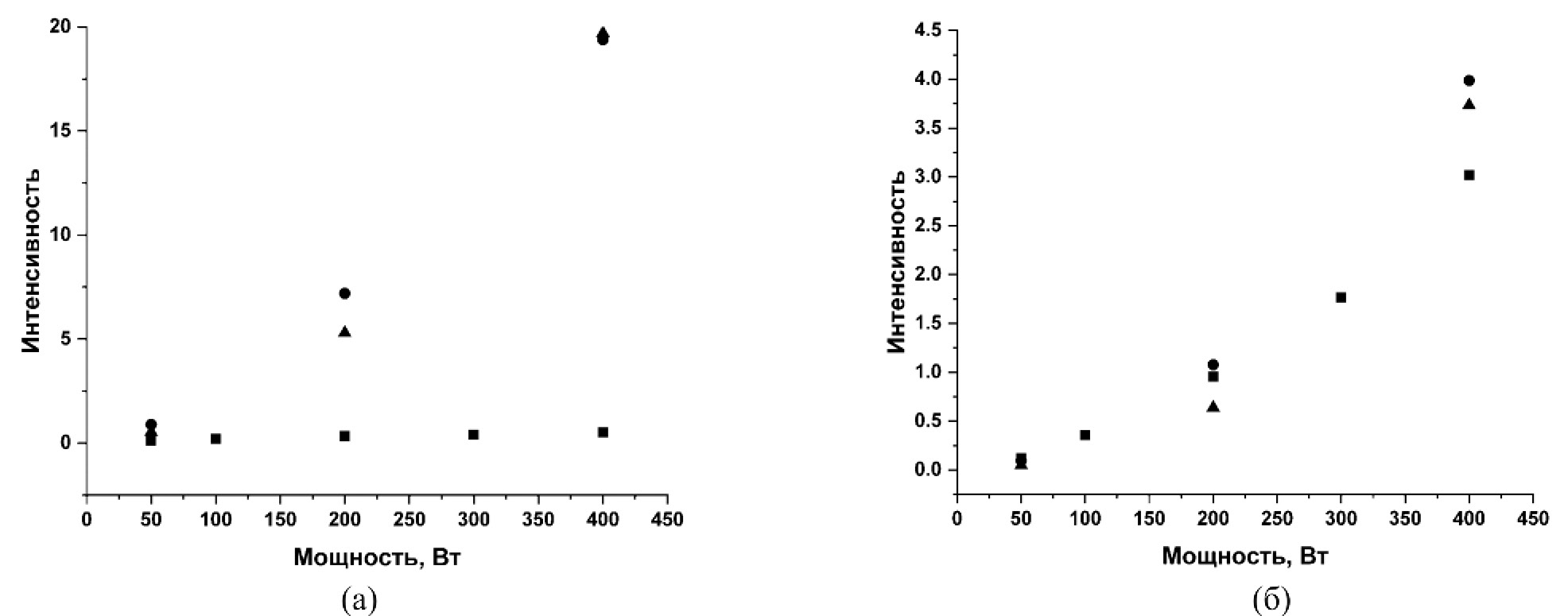
Зависимости интенсивности полосы CN и линии водорода Hβ (486.1 нм) от мощности ВЧ-разряда и доли азота показаны на рис. 2а, 2б. В смеси ГМДС + Ar + N2 интенсивность полосы CN хотя и мала, но отличается от нуля из-за упомянутого влияния остаточного азота воздуха в реакторе. С увеличением мощности разряда интенсивность этой полосы не изменяется, оставаясь малой. При подаче азота в исходную газовую смесь наблюдается выраженный рост интенсивности полосы CN с увеличением мощности разряда. При этом наблюдается слабая чувствительность интенсивности CN к доле азота в суммарном потоке. Похожая тенденция обнаружена нами ранее в работе [18]. Интенсивность линии водорода Hβ (рис. 2б) при введении различных концентраций азота при используемых мощностях ВЧ-разряда остается практически одинаковой. Это указывает на образование атомов водорода в плазме по механизму, не зависящему от соотношения скоростей потоков азота и аргона в исходной газовой смеси. Этот механизм требует дополнительных исследований. Зависимости интенсивностей атомарного кремния и димера C2 от мощности плазмы подобны (рис. 3). Увеличение мощности ВЧ-разряда способствует образованию этих частиц, а добавление азота в исходную газовую смесь приводит к значительному уменьшению интенсивности их эмиссии. Отметим, что увеличение мощности ВЧ-разряда не приводит к появлению новых атомных линий или молекулярных полос на эмиссионных спектрах, а лишь способствует изменению интенсивности существующих линий и полос.
Рис. 2. Зависимости интенсивности эмиссии полосы CN (а) и линии Hβ (б) от мощности ВЧ-разряда для смесей ГМДС + Ar (квадраты), ГМДС + Ar + N2 (круги), ГМДС + N2 (треугольники).
Рис. 3. Зависимости интенсивности эмиссии линии Si (а) и полосы C2 (б) от мощности ВЧ-разряда для смесей ГМДС + Ar (квадраты), ГМДС + Ar + N2 (круги), ГМДС + N2 (треугольники).
Исследования с помощью СЭМ показали, что все пленки являются сплошными, без трещин, с хорошей морфологической однородностью и не имеют дефектов. Микрофотографии поперечных сечений структур SiCxNy:H/Si(100) подтвердили, что пленки являются однородными по толщине и имеют четкую границу раздела пленка/подложка. Контроль толщины пленок осуществляли методом эллипсометрии. Их толщина составляла 230–300 нм. Одним из важных параметров процесса является скорость осаждения (Vос) пленок. Являясь функцией условий процесса и геометрических размеров реактора, Vос специфична для каждой установки и обычно определяется экспериментально как отношение толщины пленки ко времени синтеза. Обнаружено, что Vос снижается от 57 до 35 нм/мин (серия А) и от 32 до 25 нм/мин (серия Б) при увеличении температуры осаждения от 50 до 400°С и мощности плазмы от 100 до 400 Вт соответственно. Для пленок серии В скорость осаждения незначительно увеличивалась в интервале 25–30 нм/мин с увеличением скорости потока азота.
Методом ЭДС подтверждено наличие элементов Si, C, N, O в пленках. Содержание водорода этим методом не определяется и не учитывается в приведенных результатах. Изменение Тос в интервале 50–400°С и мощности плазмы (100–400 Вт) не оказали существенного влияния на элементный состав (рис. 4а, 4б). Причиной наличия кислорода и азота в пленках SiCx:H может быть присутствие остаточного воздуха в откачиваемом реакторе.
Рис. 4. Зависимость элементного состава пленок от (а) температуры осаждения, (б) мощности плазмы и (в) содержания азота в исходной газовой смеси ГМДС + Ar + N2.
Химическое строение пленок исследовали с помощью ИК-спектроскопии. Спектры пленок показаны на рис. 5. Отнесение полос проведено с использованием литературных данных [19–22]. Все спектры содержат хорошо выраженные полосы поглощения, форма и интенсивность которых меняются в зависимости от условий синтеза. В ИК-спектрах пленок серии А имеется широкий пик в области 650–1300 см–1 с максимумами при 800 и 1015 см–1. Деконволюция этой полосы спектров пленок показала, что основными связями являются Si–C (805 см–1) и Si–CH2–Si (1007 см–1). В этих пленках имеются также водородсодержащие связи С–Н в группах CHn (2930 см–1) и Si–CH3 (1255 см–1), Si–H (2130 см–1). ИК-спектры серии Б аналогичны спектрам серии А. Добавление азота в исходную газовую смесь существенно влияет на химическую структуру пленок. С ростом F(N2) появляется широкий интенсивный пик с максимумом при 3370 см–1, относящийся к колебаниям связей N–H, одновременное наличие полос при 1660 и 1170 см–1 может свидетельствовать о наличии групп –NH2 и Si–NH–Si в пленках. Полоса при 1660 см-1 также может быть вызвана колебаниями связей C=N.
Рис. 5. Эволюция ИК-спектров пленок SiCx:H при изменении (а) температуры синтеза и (б) мощности плазмы.
Методы эллипсометрии и спектрофотометрии были использованы для изучения оптических свойств пленок. Получены значения показателя преломления, коэффициента пропускания и оптической ширины запрещенной зоны пленок, сформированных при различных условиях синтеза. Следует отметить, что n линейно увеличился от 1.71 до 1.86 и от 1.77 до 1.85 при росте температуры синтеза (серия А) и мощности плазмы (серия Б) соответственно. Добавка азота в газовую смесь привела к снижению n от 1.76 до 1.60.
Следует отметить, что пленки SiCx:H и SiCxNy:H обладают высокой прозрачностью в широкой области спектра. Для определения коэффициента пропускания методом оптической спектрофотометрии исследовали образцы пленок на подложках из кварцевого стекла. Коэффициент пропускания света составил 85–100% в области длин волн 500–2500 нм, а кривые пропускания слабо различались для пленок, полученных при разных условиях синтеза.. Оптическая ШЗЗ была рассчитана по методу Тауца. Ее значение для пленок, полученных из смеси ГМДС + Ar, линейно уменьшалось от 3.2 до 2.7 эВ и от 3.1 до 2.6 эВ при увеличении температуры осаждения и мощности плазмы соответственно. Значения оптических характеристик пленок, полученные в данной работе, соответствуют приведенным в литературе [3, 5].
ЗАКЛЮЧЕНИЕ
Разработан процесс синтеза гидрогенизированных пленок карбида и карбонитрида кремния из смесей гексаметилдисилана c аргоном и/или азотом в процессе ICP CVD. Эмиссионные спектры показывают присутствие атомов кремния и димеров C2 в газовой фазе и указывают на глубокое разложение ГМДС в плазме. Добавление азота в исходную газовую смесь приводит к значительному уменьшению интенсивности линий и полос, соответствующих этим частицам. Исследованы зависимости химического состава и некоторых физических свойств пленок от температуры подложки, мощности плазмы и типа газа-активатора. Характерной особенностью процесса осаждения из смесей ГМДС + Ar является то, что состав и свойства пленок не зависят или слабо изменяются при изменении задаваемых условий синтеза. Добавка азота существенным образом изменила состав и свойства пленок. Определены условия синтеза высокопрозрачных пленок.
ИСТОЧНИК ФИНАНСИРОВАНИЯ
Исследование выполнено за счет гранта Российского научного фонда № 23-79-00026, https://rscf.ru/project/23-79-00026/, с использованием ресурсов Центра коллективного пользования “Национальный центр исследования катализаторов”, ИК СО РАН, Новосибирск.
About the authors
M. N. Chagin
Nikolaev Institute of Inorganic Chemistry, Siberian Branch, Russian Academy of Sciences
Email: marina@niic.nsc.ru
Russian Federation, Novosibirsk
E. N. Ermakova
Nikolaev Institute of Inorganic Chemistry, Siberian Branch, Russian Academy of Sciences
Email: marina@niic.nsc.ru
Russian Federation, Novosibirsk
V. R. Shayapov
Nikolaev Institute of Inorganic Chemistry, Siberian Branch, Russian Academy of Sciences
Email: marina@niic.nsc.ru
Russian Federation, Novosibirsk
V. S. Sulyaeva
Nikolaev Institute of Inorganic Chemistry, Siberian Branch, Russian Academy of Sciences
Email: marina@niic.nsc.ru
Russian Federation, Novosibirsk
E. A. Maksimovskii
Nikolaev Institute of Inorganic Chemistry, Siberian Branch, Russian Academy of Sciences
Email: marina@niic.nsc.ru
Russian Federation, Novosibirsk
I. V. Yushina
Nikolaev Institute of Inorganic Chemistry, Siberian Branch, Russian Academy of Sciences
Email: marina@niic.nsc.ru
Russian Federation, Novosibirsk
M. L. Kosinova
Nikolaev Institute of Inorganic Chemistry, Siberian Branch, Russian Academy of Sciences
Author for correspondence.
Email: marina@niic.nsc.ru
Russian Federation, Novosibirsk
References
- Ermakova E., Kosinova M. // J. Organomet. Chem. 2022. V. 958. P. 122183.
- Gilman A.B., Zinoviev A.V., Kuznetsov A.A. // High Energy Chemistry. 2022. V. 56. № 6. P. 470.
- Fainer N.I., Nemkova A.A. // High Energy Chemistry. 2015. V. 49. № 4. P. 308
- Wróbel A.M., Wickramanayaka S., Nakanishi Y., et al. // Diam. Relat. Mater. 1997. V. 6. P. 1081
- Wickramanayaka S., Hatanaka Y., Nakanishi Y., Wróbel A.M. // J. Electrochem. Soc. 1994. V. 141. № 10. P. 2910.
- Neileth S. Figueroa, J.L. Nachez, F.L. et al. // J. Ceram. Soc. Japan. 2009. V. 117. P. 558.
- Cho S.H., Choi D.J. // J. Ceram. Soc. Japan. 2009. V. 117. P. 558.
- Jun S. Lee, Su B. et al. // Curr. Appl. Phys. 2015. V. 15. P. 1342.
- Choi Y.S, Lee J.S., Jin S.B., Han J.G. // J. Phys. D: Appl. Phys. 2013. V. 46. P. 315501.
- Shim C., Jung D. // Jpn. J. Appl. Phys. 2004. V. 43. P. 940.
- Klumpp A., Schaber U., Offereins H.L. et al. // Sens. Actuators A Phys., 1994. V. 41. P. 310.
- Ito H., Kumakura M., Suzuki T. et al. // Jpn. J. Appl. Phys. 2016. V. 55. P. 06HC01.
- Orlikovskiy A.A., Rudenko K.V., Averkin S.N. // High Energy Chemistry. 2006. V. 40. № 3. P. 220.
- Pearse R.W.B., Gaydon A.G. The Identification of Molecular Spectra. Hoboken, NY, USA: J. Wiley& Sons, 1963.
- Dieke G.H. The Hydrogen Molecule Wavelength Tables of Gerhard Heinrich Dieke. Ed. Crosswhite H.M., New York, NY, USA: Wiley-InterScience. 1972.
- NIST Atomic Spectra Database; NIST Standard Reference. Database 78, Version 5.9. Available online: https://physics.nist.gov/asd
- Rumyantsev Yu.M., Chagin M.N., Shayapov V.R. et al. // Glass Phys. Chem. 2018. V. 44. №. 3. P. 174.
- Chagin M.N., Sulyaeva V.S., Shayapov V.R. et al. // Coatings. 2022. V. 12. P. 80
- Tolstoy V.P., Chernyshova I.V., Skryshevsky V.A. Handbook of Infrared Spectroscopy of Ultrathin Films. Hoboken, NJ, USA: John Wiley & Sons, Inc.: 2003. 739 p.
- Bellamy L.J. The Infrared Spectra of Complex Molecules. London, United Kingdom: Springer, 1975. 433 p.
- Launer P.J.; Arkles B. Infrared analysis of organosilicon compounds: Spectra-structure correlations. In Silicon Compounds: Silanes & Silicones. Morrisville, PA, USA: Gelest, Inc. 2013.
- Stuart B.H. Infrared spectroscopy: fundamentals and applications. John Wiley & Sons Ltd, 2004. 224 p.
Supplementary files







