Barrier discharge conversion of gaseous olefins
- Authors: Ryabov A.Y.1, Kudryashov S.V.1
-
Affiliations:
- Institute of Petroleum Chemistry, Siberian Branch, Russian Academy of Sciences
- Issue: Vol 58, No 6 (2024)
- Pages: 483-488
- Section: PLASMA CHEMISTRY
- URL: https://ogarev-online.ru/0023-1193/article/view/281555
- DOI: https://doi.org/10.31857/S0023119324060081
- EDN: https://elibrary.ru/THKSNK
- ID: 281555
Cite item
Full Text
Abstract
The oxidation of olefins С2–С4 in a barrier discharge in the presence of water has been investigated, with the formation of oxygen-containing compounds and various hydrocarbons С1–С5+ of limited and unsaturated structure being observed. The initial olefin’s molecular weight and structure have been found to exert a significant influence on the direction of the reaction. In the ethylene-propylene-butylene series, the proportion of oxygen-containing compounds increases from 28.1, 74.3 and 66.7 wt%, respectively. The oxidation of isobutene isomasalic aldehyde and acetone, with a content of 53 and 21 wt. %, respectively, primarily yields the formation of these compounds. In the case of the oxidation of butene-1 and butene-2, the predominant products are butanol-2, with a yield of up to 26 wt. %.
Keywords
Full Text
ВВЕДЕНИЕ
Исследование является продолжением цикла работ по окислению газообразных олефинов в плазме барьерного разряда в присутствии воды. И направлено на изучение механизма и кинетики плазмохимических реакций, а также методов управления данными процессами.
Применение электрических разрядов является одним из альтернативных направлений превращения газообразных углеводородов, ориентированного на простоту метода и компактность химического процесса, отвечающего принципам “зеленой химии” и низкого уровня углеродного следа в окружающей среде. Использование барьерного разряда (БР) для осуществления плазмохимической реакции окисления углеводородов оправдано примерами промышленного способа генерации атомов кислорода и получения озона в БР [1].
Существующие исследования в области плазмохимического окисления олефинов [2–8] отмечают образование ценных нефтехимических продуктов - гидроксильных и карбонильных соединений. Однако в протекающих процессах происходит формирование не только кислородсодержащих веществ, но и различных углеводородов, продуктов глубокого окисления и продуктов уплотнения. Большой спектр получаемых соединений предполагает многократное воздействие плазмы разряда на образующиеся продукты реакции и отсутствие условий эффективного вывода их из разрядной зоны.
Ранее авторами [9–12] показана принципиальная возможность селективного окисления этилена и пропилена в БР за счет использования в плазмохимическом реакторе подвижного жидкого слоя, который выводит образующиеся соединения из зоны действия разряда, предотвращая повторное воздействие разряда на них с образованием продуктов уплотнения на стенках реактора.
Целью исследования является изучение закономерностей окисления газообразных олефинов (нормального и изомерного строения) кислородом воздуха в БР в присутствии воды, сравнение их с ранее полученными данными по окислению этилена и пропилена и установление общих зависимостей образования продуктов реакции.
ЭКСПЕРИМЕНТАЛЬНАЯ ЧАСТЬ
Эксперименты по окислению олефинов проведены на лабораторной установке, общий вид которой представлен в работе [13].
Поток воздуха и олефина смешивается с водой, и образовавшаяся газожидкостная смесь направляется в плазмохимический реактор. В реакторе под действием внешнего электрического поля, образующегося при подаче напряжения к высоковольтному электроду, вода из газожидкостной смеси равномерно распределяется по поверхности электродов, образуя подвижный жидкий слой, а в разрядном промежутке остается парогазовая смесь из воздуха, олефина и паров воды. На реакционную смесь воздействует БР, образовавшиеся продукты реакции растворяются в подвижном жидком слое и самотеком совместно с газовой частью выводятся из разрядной зоны плазмохимического реактора.
Плазмохимический реактор представляет собой планарную конструкцию и выполнен из дюралюминия с одним диэлектрическим барьером (стеклотекстолит, толщиной 1 мм). Межэлектродный зазор в разрядной зоне составляет 1 мм, площадь разрядной зоны равна 48 см2, а время контакта реакционной смеси с разрядной зоной равняется 20 с. Во всех экспериментах амплитуда высоковольтных импульсов напряжения не превышала 9 кВ, частота их повторения равнялась 400 Гц, активная мощность разряда составляла ~2.0 Вт. Объемный расход газовой смеси составлял 60 см3/мин, воды – 0.3 см3/мин. Анализ газообразных и жидких продуктов реакции проводился с помощью газового хроматографа, оборудованного детекторами по теплопроводности и пламенно-ионизационным детектором.
РЕЗУЛЬТАТЫ И ОБСУЖДЕНИЕ
Окисление газообразных олефинов (этилена, пропилена, бутена-1, бутена-2 и изобутена) воздухом в присутствии воды в БР приводит к образованию кислородсодержащих соединений и различных углеводородов.
На рис. 1 представлены закономерности группового состава продуктов реакции превращения этилена, пропилена и бутена-1 в зависимости от содержания воздуха в исходной смеси. Видно, что для всех экспериментов с разным содержанием воздуха в исходной смеси наблюдается образование различных углеводородов, предельных и непредельных соединений с числом атомов углерода в молекуле от 1 до 5. Их появление в продуктах реакции при окислении газообразных олефинов в разрядах отмечается и другими исследователями [5, 6]. Мы предполагаем, что механизм окисления олефинов в БР включает активацию не только молекул кислорода, но и олефина. Как показано ранее [11, 12], для этилена и пропилена десятикратное разбавление их воздухом сопровождается возбуждением электронных состояний молекул олефина. Если реакции дезактивации возбужденных молекул кислорода с образованием атомов кислорода в БР хорошо изучены [1, 14], то для молекул олефинов данных недостаточно. В работе [15] приводятся сведения об основных каналах диссоциации электронно-возбужденных молекул этилена и пропилена с образованием нейтральных частиц и различных радикалов.
Рис. 1. Образование кислородсодержащих соединений (□) (оксигенатов) и углеводородов (●) при окислении газообразных олефинов воздухом в зависимости от его содержания в исходной смеси.
Данные по сечениям рассеяния электронов молекулами бутена в литературе не найдены. Можно предположить, что направление фрагментации молекулы бутена-1 под действием электронного удара будет похоже на аналогичный процесс с участием молекулы пропилена с образованием соответствующих радикалов и нейтральных молекул. Косвенным подтверждением является образование во всех случаях окисления олефинов в БР: метана, ацетилена, этана и углеводородов с 3 и 4 атомами углерода в соединении (табл. 1). В табл. 1 представлен состав и содержание основных продуктов окисления олефинов, полученных при содержании воздуха в исходной смеси ~ 90%.
Из рис. 1 видно, что начальная концентрация воздуха в исходной смеси оказывает заметное влияние на превращение олефинов, а ее увеличение способствует образованию большого количества кислородсодержащих продуктов (оксигенатов), преимущественно гидроксильных и карбонильных соединений с таким же количеством атомов углерода, что и в исходном углеводороде (табл. 1). С ростом молекулярной массы олефина в ряду этилен–пропилен–бутен-1 максимальное содержание оксигенатов в продуктах реакции составляет 33.3, 74.3 и 67.9 масс. % соответственно.
Таблица 1. Конверсия, состав, содержание продуктов и энергозатраты на окисление алкенов в БР в присутствии воды в зависимости от состава исходной смеси — [Олефин] = 9%, [Воздух] = 89%, [Н2О] = 2٪
Группа/соединение | Содержание, % мас. | |||
С2Н4 | С3Н6 | 1-С4Н8 | ||
Газы | Метан Ацетилен Этилен Этан Пропилен Пропан Пропин Пропадиен Бутен-1/бутин/бутадиен Бутан/изобутен Бутен-2 | 3.5 47.1 — 3.8 1.0 1.5 1.4 1.3 0.9 4.6 1.6 | 1.2 5.9 9.2 1.6 — — 7.8 7.9 0.6 0.2 — | 0.4 2.7 2.6 0.9 4.6 0.5 2.0 0.9 — — — |
С2НxO | Ацетальдегид Этанол Окись этилена | 10.3 10.9 0.1 | 7.9 1.8 — | 4.1 2.3 — |
С3НxO | Окись пропилена Акролеин Пропаналь Ацетон Изопропанол Аллиловый спирт Пропанол | — — — — — — — — | 8.1 7.0 7.8 13.3 9.4 3.9 0.2 | — — 4.6 9.4 0.4 — 0.6 |
С4НxO | Окись бутена Изобутаналь Бутаналь/бутанон Бутанол-2 Бутанол-1 | — — — — — | — — — — — | 11.8 0.7 12.2 21.5 0.3 |
Другие | Метанол Углеводороды С5+ Не идентифицированные | 6.9 — 5.1 | 3.3 1.1 1.8 | 2.5 10.8 4.2 |
Конверсия, % | 12.8 | 20.3 | 18.2 | |
В табл. 1 приведена конверсия газообразных олефинов — 12.8, 20.3 и 18.2 масс. % для этилена, пропилена и бутена-1 соответственно. Видно, что для этилена скорость его окисления ~ в 2 раза ниже в сравнении с пропиленом или бутеном. Как показано ранее в работах авторов [11, 12], для схожих в содержании смесей этилена и пропилена с воздухом расчетные значения потерь энергии электронов БР на возбуждение электронных состояний молекул олефина и кислорода сравнимы и составляют соответственно 13.5 и 18.0% для этилена, 18.1 и 16.0% для пропилена. Следовательно, при равном мольном соотношении веществ в исходной смеси электрон-молекулярное взаимодействие молекул приводит к появлению в обоих случаях сравнимого количества активных частиц олефина и кислорода. Тогда скорость образования кислородсодержащих продуктов будет определяться константой скорости взаимодействия атомарного кислорода и соответствующего олефина, например, согласно данным [16], эти значения составляют:
О + С2Н4 → Продукты, k = 7.25 × 10–13 (см3/с), (1)
О + С3Н6 → Продукты, k = 3.96 × 10–12 (см3/с), (2)
О + 1-С4Н8 → Продукты, k = 4.15 × 10–12 (см3/с). (3)
Видно, что константы скорости для пропилена и бутена-1 имеют близкие значения, а для этилена значительно ниже, что выражается экспериментально в различии конверсии олефинов (табл. 1).
Представленный в табл. 1 состав продуктов окисления олефинов разделен на группы веществ: “газы” – предельные и непредельные соединений С1–С4; “С2НхО”, “С3НхО”, “С4НхО” – гидроксильные и карбонильные соединения с соответствующим числом атомов углерода в молекуле; “Другие” – метанол, углеводороды С5+ и неидентифицированные вещества. Как отмечалось выше, образование некоторых углеводородных газов характерно при окислении всех исследованных олефинов. Появление в продуктах реакции кислородсодержащих соединений, например метанола, ацетальдегида и этанола, говорит о схожем механизме окисления газообразных олефинов. Подтверждением данному факту является образование в продуктах окисления бутена-1 веществ из групп “С2НхО” или “С3НхО”.
Наиболее вероятное их образование в результате взаимодействия атомарного кислорода с соответствующей молекулой олефина по реакциям (1) и (2). Образование газообразных углеводородов возможно в результате фрагментации электронно-возбужденной молекулы бутена-1 по аналогии с этиленом и пропиленом [15]. Другим возможным направлением их образования является фрагментация молекулы бутена-1 по реакции присоединения к ней атомарного кислорода. Но, согласно данным [17]:
О + 1-С4Н8 → СН2О + С3Н6, k = 3.02 × 10–14 (см3/с), (4)
О + 1-С4Н8 → СНО + С3Н7, k = 1.02 × 10–14 (см3/с), (5)
О + 1-С4Н8 → СН3CО + С2Н5, k = 2.26 × 10–15 (см3/с), (6)
константа скорости данных реакции минимум на 2–3 порядка медленнее реакции (3), что делает данное направление маловероятным.
На рис. 2 представлен групповой состав продуктов окисления изомеров бутена воздухом в присутствии воды в БР. Видно, что закономерность образования веществ значительно отличается. Для линейного строения молекулы (бутен-1 и бутен-2) содержание продуктов составляют близкие значения, в отличии от изобутена. Для него количество веществ групп “С4НхО” и “С3НхО” больше, а продуктов групп “С2НхО” и “Другие” меньше. Группа веществ “Другие” снижается преимущественно за счет уменьшения количества углеводородов С5+.
Рис. 2. Групповой состав продуктов реакции в зависимости от содержания воздуха в исходной смеси с бутеном.
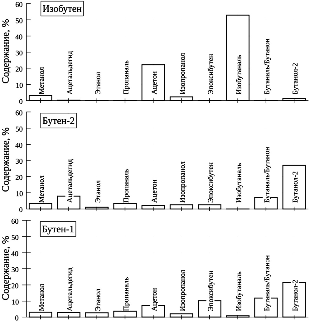
На рис. 3 представлен состав и содержание кислородсодержащих соединений для смесей с содержанием воздуха 90%. Видно, что строение молекулы изобутена приводит к увеличению селективности окисления и образованию преимущественно изобутаналя (52.9 мас. %) и ацетона (22.1 мас. %). Для бутенов линейного строения (бутен-1 и бутен-2) при окислении наблюдается появление широкого спектра веществ с преобладанием бутанола-2, его содержание составляет 21.5 и 26.9 мас. % соответственно. Конверсия олефинов составляет 28.6, 17.7 и 18.2 мас. %, соответственно для изобутаналя, бутена- и бутена-1.
Рис. 3. Состав и содержание кислородсодержащих соединений в продуктах окисления бутенов при 90% содержании воздуха в исходной смеси.
ЗАКЛЮЧЕНИЕ
Исследовано окисление олефинов С2–С4 кислородом воздуха в барьерном разряде в присутствии воды. Превращение олефинов приводит к образованию гидроксильных и карбонильных соединений, различных углеводородов С1–С5+ предельного и непредельного строений.
На образование продуктов реакции значительное влияние оказывает молекулярная масса и строение молекулы исходного олефина. В ряду этилен–пропилен–бутилен повышается содержание кислородсодержащих веществ с 28.1, 74.3 и 66.7 мас. % соответственно. При окислении изобутена преимущественно образуются изомасляный альдегид и ацетон с содержанием 53 и 21 мас. % соответственно. В случае окисления нормальных бутенов основным продуктом является бутанол-2 (до 26 мас.%), при этом положение двойной связи в исходном олефине не оказывает существенное влияние на состав продуктов окисления.
ИСТОЧНИК ФИНАНСИРОВАНИЯ
Работа выполнена при финансовой поддержке Министерства науки и высшего образования Российской Федерации, проект FWRN-2021-0003.
About the authors
A. Y. Ryabov
Institute of Petroleum Chemistry, Siberian Branch, Russian Academy of Sciences
Author for correspondence.
Email: a.y.ryabov@yandex.ru
Russian Federation, Tomsk
S. V. Kudryashov
Institute of Petroleum Chemistry, Siberian Branch, Russian Academy of Sciences
Email: a.y.ryabov@yandex.ru
Russian Federation, Tomsk
References
- Samoilovich V.G., Gibalov V.I., Kozlov K.V. // Physical Chemistry of Barrier Discharge. M: Moscow state university. 1989. 174 p.
- Suttikul T., Yaowapong-aree S., Sekiguchi H. et al. // Chem. Eng. Process. 2013. V. 70. P. 222–232.
- Tsolas N., Yetter R.A., Adamovich I.V. // Combust. Flame. 2017. V. 176. P. 462–478.
- Suttikul T., Tongurai C., Sekiguchi H., Chavadej S. // Plasma. Chem. Plasma Process. 2012. V. 32. P. 1169–1188.
- Sreethawong T., Suwannabart T., Chavadej S. // Plasma Chem. Plasma Process. 2008. V. 28. P. 629–642.
- Tiwari S., Caiola A., Bai X. et al. // Plasma Chem. Plasma Process. 2020. V. 40 P. 1–23.
- Xiong H., Zhu X., Lu S. et al. // Sci. Total Environ. 2021. V. 788. P. 147675.
- Lin H., Guan B., Cheng Q., Huang Z. // Energy Fuels. 2010. V. 24. P. 5418–5425.
- Kudryashov S.V., Ochered’ko A.N., Ryabov A.Yu., Shchyogoleva G. S. // Plasma Chem. Plasma Process. 2011. V. 31. P. 649–661.
- Ryabov A. Yu., Kudryashov S. V., Ochered’ko A. N., Dankovtsev G.O. // Chem. Sustain. Dev. 2021. V. 29. P. 180–184.
- Ryabov A.Yu., Kudryashov S.V., Ocheredko A.N. // High Energy Chemistry. 2022. V. 56. № 3. P. 245–250.
- Ryabov A.Yu., Kudryashov S.V. // High Energy Chemistry. 2023. V. 57. № 4. P. 327–331.
- Kudryashov S. Ryabov A. Shchyogoleva G. // J. Phys. D: Appl. Phys. 2016. V. 49. P. 025205.
- Fridman A. // Plasma Chemistry. NY: Cembridge University Press, 2012. 979 p.
- Janev R.K., Reiter D. // Physics of Plasmas. 2004. V. 11. P. 780.
- Cvetanovic R.J. // J. Phys. Chem. Ref. Data. 1987. V. 16. P, 261.
- Caracciolo A., Vanuzzo G., Balucani N. et al. // J. Phys. Chem. A. 2019. V. 123. P. 9934–9956.
Supplementary files





