Перенос энергии электронного возбуждения в нанокластерах коллоидных квантовых точек InP/ZnS, допированных ионами марганца
- Авторы: Попков Д.С.1, Певцов Д.Н.2,1, Николенко Л.М.2,1, Разумов В.Ф.2,1
-
Учреждения:
- Московский физико-технический институт (Национальный исследовательский университет)
- Федеральный исследовательский центр проблем химической физики и медицинской химии РАН
- Выпуск: Том 58, № 6 (2024)
- Страницы: 456-463
- Раздел: ФОТОНИКА
- URL: https://ogarev-online.ru/0023-1193/article/view/281545
- DOI: https://doi.org/10.31857/S0023119324060058
- EDN: https://elibrary.ru/TIAMMH
- ID: 281545
Цитировать
Полный текст
Аннотация
Синтезированы коллоидные квантовые точки фосфида индия с тонкой оболочкой сульфида цинка, допированные марганцем. На основе полученных нанокристаллов изготовлены нанокластеры. Впервые исследовано влияние допирования нанокристаллов на процесс фёрстеровского резонансного переноса электронного возбуждения и спектрально-люминесцентные свойства нанокластеров. Показано, что люминесценция таких кластеров радикально отличается от люминесценции недопированных кластеров и зависит от распределения по размерам наночастиц, входящих в состав нанокластеров. Показано, что состав частиц, принимающих участие в фёрстеровском переносе, зависит от момента времени наблюдения.
Полный текст
ВВЕДЕНИЕ
В работе [1] был предложен новый способ формирования нанокластеров, состоящих из большого числа коллоидных квантовых точек (ККТ). В таких нанокластерах проявляются коллективные свойства ККТ, зависящие от плотности упаковки ККТ, их среднего размера и распределения по размерам используемых ККТ. Нанокластеры ККТ имеют размер порядка 100 нм и могут содержать несколько тысяч и даже десятков тысяч ККТ. В результате достаточно плотной упаковки ККТ в нанокластерах становится возможным фёрстеровский резонансный перенос энергии [2].
Важной задачей является предсказание люминесцентных характеристик нанокластеров в условиях, когда существенную роль играют процессы переноса энергии электронного возбуждения. В результате этих процессов квант света, поглощенный одной из ККТ кластера, может с большой вероятностью излучиться другой ККТ (как правило, большего размера), на которую электронное возбуждение попадет в результате его случайного “блуждания” в объеме нанокластера. Путь случайного блуждания возбуждения определяется константами взаимодействия отдельных ККТ.
Константа скорости безызлучательного переноса энергии электронного возбуждения между отдельными ККТ определяется формулой Фёрстера [2]:
,
где τD – время жизни люминесценции донора в отсутствие акцептора, R – расстояние между донором и акцептором, RF – радиус Фёрстера, определяемый по формуле:
,
где ΦD – квантовый выход люминесценции донора в отсутствие акцептора, n – показатель преломления среды, в которой происходит перенос энергии, NA – постоянная Авогадро, ν – волновое число, FD(ν) – нормированный спектр люминесценции донора, εA(ν) – коэффициент экстинкции акцептора (в M–1см–1), κ – ориентационный фактор, определяемый как
где φDA – угол между векторами дипольных моментов перехода донора и акцептора, φD и φA – углы между соответствующими векторами дипольных моментов и вектором, соединяющим донор и акцептор. Фёрстеровский радиус определяет такое расстояние между донором и акцептором, при котором скорости безызлучательного переноса энергии на соседнюю КТ и безызлучательной релаксации донора равны.
Допирование ККТ в нанокластерах способно радикально изменить общую картину транспорта возбуждения. На рис. 1 представлена кинетическая схема процессов в нанокластере ККТ InP:Mn/ZnS, которая включает следующие элементарные реакции:
1) электронное возбуждение ККТ при поглощении света с последующими процессами излучательной (флуоресценция), с константой kr, и безызлучательной, с константой knr, дезактивации;
2) переход возбуждения ККТ InP*:Mn/ZnS на верхний (возбужденный) уровень иона марганца Mn*2+с константой kʹ и обратный перенос возбуждения на квантовую точку с константой kʺ;
3) фосфоресценция иона марганца с константой kph;
4) фёрстеровский безызлучательный перенос возбуждения с константой kFRET.
Рис. 1. Кинетическая схема транспорта возбуждения в нанокластерах ККТ InP:Mn/ZnS.
Ранее в работе [3] нами было показано, что фотолюминесцентные свойства отдельных ККТ InP, покрытых тонкой оболочкой ZnS и легированных ионами Mn2+, определяются размером ККТ (рис. 2).
Рис. 2. Фотолюминесцентные свойства ККТ InP:Mn/ZnS разных размеров.
Так, для ККТ InP:Mn/ZnS размером менее 1.85 нм с максимумом собственной флуоресценции менее 450 нм локализация возбуждения почти полностью происходит на примесном ионе (рис. 2а), вследствие чего для этих частиц наблюдается только излучение примесного иона Mn2+, которое мы далее будем называть фосфоресценцией. Это излучение обусловлено запрещенным по спину переходом между возбужденным и основным состояниями иона Mn2+ [4–6]. Поэтому фосфоресценция характеризуется большим собственным временем затухания (порядка миллисекунд) и, соответственно, константа kph имеет порядок 103 с–1.
Люминесценция ККТ InP:Mn/ZnS размером порядка 1.85–2.85 нм с положением собственной флуоресценции в диапазоне 450–560 нм включает три различных вида излучения (рис. 2б и в). Во-первых, это собственная флуоресценция, характеризующаяся излучательной константой kr, порядка 109 с–1, во-вторых, это фосфоресценция примесного иона Mn2+. Третий вид излучения – это замедленная флуоресценция, обусловленная “возвращением” возбуждения с примесного иона Mn2+ по каналу с константой kʺ на собственный уровень ККТ. Спектр этого вида излучения соответствует спектру флуоресценции, а характерное время затухания определяется временем жизни уровня Mn*2+. При этом в случае, условно изображенном на рис. 2б, уровень иона Mn*2+ находится ниже уровня ККТ InP*:Mn/ZnS на величину ΔЕ и поэтому константа kʺ является Аррениусовской с энергией активации ΔЕ. В этом случае kʺ<kʹ. В случае, показанном на рис. 2в, уровень иона Mn*2+ находится выше на величину ΔЕ уровня ККТ InP*:Mn/ZnS. Поэтому здесь константа kʹ является Аррениусовской и kʺ > kʹ. В соответствии с этим по-разному перераспределяются и интенсивности собственной и примесной люминесценции.
Для ККТ InP:Mn/ZnS размером значительно больше чем 2.85 нм (рис. 2г) положение собственной флуоресценции будет находиться в спектральной области длин волн значительно более чем 560 нм и даже вплоть до 600 нм. В этом случае будет наблюдаться только флуоресценция, то есть короткоживущее излучение, но примерно в таком же спектральном диапазоне, что и в первом случае, изображенном на рис. 2а.
В данной работе была поставлена задача исследования характера люминесценции нанокластеров ККТ InP:Mn/ZnS, при этом распределение по размерам ККТ было достаточно широким и фактически в нанокластерах одновременно могли находиться ККТ, в которых реализовывались все возможные случаи взаимного расположения уровней энергии ККТ и примесного иона, изображенные на рис. 2. В соответствии с этим можно было ожидать, что в зависимости от размера ККТ и соотношения констант kʹ и kʺ последние могут конкурировать с константой фёрстеровского переноса энергии kFRET. В случае, когда константа захвата возбуждения на примесной ион сравнима или даже много больше константы переноса возбуждения между квантовыми точками, наличие допированных ККТ приводит не только к конкуренции с фёрстеровским переносом, но можно также ожидать, что в процессы транспорта возбуждения большой вклад будет вносить замедленная флуоресценция.
ЭКСПЕРИМЕНТАЛЬНАЯ ЧАСТЬ
Синтез наночастиц
Для синтеза и дальнейшего изучения коллоидных квантовых точек InP/ZnS, допированных Mn2+ в форме раствора и нанокластеров использовались следующие реактивы: хлорид индия (III) (99.995%, Acros), иодид цинка (безводный, 99.999%, Aldrich), бромид марганца (II) (безводный, 98%, Aldrich), олеиламин (80–90%, Acros), 1-додекантиол (98%, Aldrich), октадецен (technical grade, 90%, Aldrich), трис(диметиламино)фосфин (97%, Aldrich), метанол (ОСЧ для ВЭЖХ, “Химмед”), этанол (ХЧ, “Компонент-Реактив”), хлороформ (ХЧ, “Компонент-Реактив”), н-гексан (для ВЭЖХ, “Компонент-Реактив”), олеиновая кислота (ИМП, “Вектон”), толуол (для хроматографии, “Компонент-Реактив”) и ацетонитрил (для жидкостной хроматографии, “Компонент-Реактив”).
Нанокристаллы синтезировали по методике из работы [7]. В трехгорлую колбу помещали 0.36 ммоль InCl3, 1.08 ммоль ZnI2, 0.50 ммоль MnBr2, 3 мл олеиламина и 2 мл 1-октадецена, после чего в течение 90 мин смесь сушили в токе аргона при температуре 120°С. Далее температура в колбе повышалась до 240°С, и вводилось 125 мкл трис(диметиламино)фосфина. Реакция роста наночастиц проводилась в течение 15 мин. Далее смесь охлаждалась до 200°С, и по каплям добавлялись 1.5 мл 1-додекантиола. Реакция проводилась в течение двух часов и останавливалась резким охлаждением в ледяной бане.
Отмывка производилась следующим образом: в пробирки с полученными квантовыми точками добавлялись хлороформ (1 мл) и метанол (3.5 мл), смесь центрифугировалась в течение 7 мин при скорости 3000 об/мин, после чего надосадочная смесь удалялась. Осадок редиспергировали в 1 мл н-гексана и повторно осаждали этанолом (1 мл), после чего производилось редиспергирование раствором олеиновой кислоты в хлороформе (1 мл, 15 об. %) и осаждение метанолом (2 мл) при помощи центрифуги. Осадок высушивали и редиспергировали в 1.5 мл толуола.
Нанокластеры получали методом осаждающего растворителя в соответствии с методикой [8] путем постепенного добавления ацетонитрила к раствору ККТ в толуоле. Формирование кластеров происходило при суммарном добавлении 0.8 мл ацетонитрила, что подтверждалось помутнением раствора и появлением рассеяния в спектрах поглощения.
Спектрально-кинетические измерения
Все оптические измерения проходили при комнатной температуре в кварцевой кювете квадратного сечения с длиной оптического пути, составляющей 1 см.
Спектры поглощения исследуемых растворов были получены с использованием спектрофотометра Jasco V-750.
Измерение спектров люминесценции и матрицы “возбуждение–люминесценция” производилось с помощью стационарного спектрофлуориметра Shimadzu RF-6000. Ширина щели для излучения возбуждения и поглощения составляла 5 нм. На пути излученного и люминесцентного света вручную помещались оптические фильтры.
Кинетики затухания люминесценции и матрицы времяразрешенной люминесценции получали с помощью времяразрешенного спектрофлуориметра FluoTime 200, подключенного к счетчику импульсов PicoHarp 300 (PicoQuant GmbH). Источником возбуждающего излучения выступал лазер с длиной волны 372 нм и периодичностью в 4 мкс.
РЕЗУЛЬТАТЫ И ОБСУЖДЕНИЕ
На рис. 3 представлены спектры поглощения и люминесценции полученных нанокристаллов InP:Mn/ZnS. На спектре поглощения не прослеживается четкого экситонного пика поглощения, что говорит о высокой полидисперсности полученного образца. Средний размер ККТ был определен по формуле и составил 2.36 нм:
где λmax = 1035 нм, λ – положение экситонного пика в нанометрах, d0 = 2.414 нм, d – средний размер частиц в ансамбле.
Рис. 3. Спектры поглощения (синий) и люминесценции (красный) при длине волны возбуждения 425 нм ККТ InP:Mn/ZnS в гексане.
Путем добавления в коллоидный раствор наночастиц 0.8 мл ацетонитрила были сформированы нанокластеры. На рис. 4 представлены матрицы “возбуждение–люминесценция” для раствора и нанокластеров. Видна значительная разница в интенсивности излучения раствора ККТ относительно нанокластеров и падение квантового выхода люминесценции примерно в полтора раза. Используя методику [9], была определена полидисперсность образца, которая составила 16%.
Рис. 4. Матрицы “возбуждение–люминесценция” (а) коллоидного раствора ККТ InP:Mn/ZnS и (б) коллоидного раствора нанокластеров, полученных путем агрегации коллоидного раствора ККТ InP:Mn/ZnS.
На рис. 5 представлены нормированные спектры люминесценции для растворов и кластеров при разных длинах волн возбуждения. Видно, что в результате кластеризации происходит смещение пика собственной люминесценции ККТ в длинноволновую область, а также изменяется соотношение полос собственной и примесной люминесценции.
Рис. 5. Спектры люминесценции раствора (сплошные) и кластеров (пунктирные) ККТ InP:Mn/ZnS при различных длинах волн возбуждения.
В люминесценции нанокластеров примечательным является малое смещение пика собственной люминесценции на 10 нм при полидисперсности ансамбля ККТ 16%. Для сравнения, в работе [10] в кластерах ККТ InP/ZnS с полидисперсностью 11% наблюдался сдвиг 25 нм. Такой малый сдвиг вероятно связан со сложной системой транспорта возбуждения и разной заселенностью уровней ККТ разного размера во времени. Так, для частиц малого размера (пик флуоресценции менее 450 нм) возбуждение практически целиком находится на уровне примеси. Поэтому эти ККТ не принимают участия в процессе транспорта и возбуждения и не имеют собственной люминесценции. С ростом размера частиц заселенность уровней ККТ в нанокластере экспоненциально смещается в сторону заселения собственных уровней, вместе с этим наблюдается рост времени жизни InP*:Mn/ZnS. Таким образом, наблюдаемый состав по размерам флуоресцирующих ККТ в составе нанокластера зависит от момента наблюдения и существенно изменяется в процессе затухания люминесценции. Об этом наглядно свидетельствуют матрицы времяразарешенной люминесценции, показанные на рис. 6.
Рис. 6. Матрицы времяразрешенной люминесценции (а) раствора и (б) нанокластеров InP:Mn/ZnS.
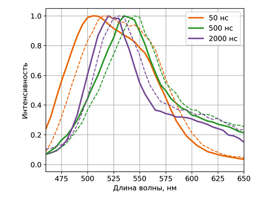
На рис. 7 показано как изменяются спектры люминесценции растворов и кластеров в процессе затухания излучения. Видно, что смещение пика флуоресценции происходит в широком диапазоне времен. За время порядка 50 нс в нанокластерах происходит “стандартный” фёрстеровский перенос. На временах наблюдения порядка 100–1000 нс в растворе происходит замедленная флуоресценция, причем ее пик со временем смещается в коротковолновую область. В кластерах же наблюдается перенос возбуждения со сдвигом пика флуоресценции в длинноволновую область относительно раствора. Как уже говорилось выше, такое поведение также можно объяснить изменением во времени состава флуоресцирующих частиц. На ранних стадиях затухания излучения возбуждение с примесного иона на собственный уровень ККТ возвращается для тех нанокристаллов, которые представлены на рис. 2в. В растворе для них наблюдается замедленная флуоресценция со сравнительно небольшим временем задержки, а в кластерах наблюдается сдвиг этого пика. Это означает что в данный момент времени в процессе переноса возбуждения функцию доноров выполняют только частицы, для которых наблюдается замедленная флуоресценция, а частицы меньшего размера условно “выключены”. Далее с ростом времени (т.е. по мере затухания излучения) в растворах происходит сдвиг полосы замедленной флуоресценции в коротковолновую область, в свою очередь в кластерах наблюдается фёрстеровский перенос для этих частиц. Таким образом, фёрстеровский перенос в коллоидных растворах нанокластеров InP:Mn/ZnS наблюдается на протяжении широкого диапазона времен наблюдения и определяется замедленной флуоресценцией. Вследствие этого константа переноса и состав доноров возбуждения зависит от времени наблюдения. По аналогии с замедленной флуоресценцией данное явление можно назвать замедленным фёрстеровским резонансным переносом электронного возбуждения.
Рис. 7. Спектры флуоресценции раствора (сплошные) и кластеров (пунктирные) ККТ InP:Mn/ZnS при длине волн возбуждения 372 нм на разных временах наблюдения.
ЗАКЛЮЧЕНИЕ
Проведенные исследования показали существенное качественное и количественное влияние процесса кластеризации ККТ InP/ZnS, допированных марганцем, на спектрально-люминесцентные свойства нанокластеров, которое радикально отличается от того, что ранее наблюдалось для нанокластеров недопированных ККТ InP/ZnS. При этом главная особенность в данном случае состоит в том, что в зависимости от размера ККТ существенно изменяется соотношение полос основной и примесной люминесценции. При кластеризации ККТ InP/ZnS, допированных марганцем, с достаточно широким распределением по размерам соотношение основной и примесной люминесценции существенно изменяется в результате ферстеровского переноса энергии электронного возбуждения.
Также показано, что фёрстеровский перенос энергии в нанокластерах полидисперсных нанокристаллов InP:Mn/ZnS происходит с задержкой, причем состав частиц, принимающих участие в переносе, зависит от момента времени наблюдения. Ферстеровский перенос в системе нанокластеров InP:Mn/ZnS наблюдается на протяжении широкого диапазона времен наблюдения и определяется замедленной флуоресценцией. Вследствие этого константа переноса и состав доноров возбуждения зависит от времени наблюдения.
ИСТОЧНИК ФИНАНСИРОВАНИЯ
Работа поддержана Российским научным фондом (проект № 21-73-20245).
Об авторах
Д. С. Попков
Московский физико-технический институт (Национальный исследовательский университет)
Email: pevtsov.dn@mipt.ru
Россия, Долгопрудный
Д. Н. Певцов
Федеральный исследовательский центр проблем химической физики и медицинской химии РАН; Московский физико-технический институт (Национальный исследовательский университет)
Автор, ответственный за переписку.
Email: pevtsov.dn@mipt.ru
Россия, Черноголовка; Долгопрудный
Л. М. Николенко
Федеральный исследовательский центр проблем химической физики и медицинской химии РАН; Московский физико-технический институт (Национальный исследовательский университет)
Email: pevtsov.dn@mipt.ru
Россия, Черноголовка; Долгопрудный
В. Ф. Разумов
Федеральный исследовательский центр проблем химической физики и медицинской химии РАН; Московский физико-технический институт (Национальный исследовательский университет)
Email: pevtsov.dn@mipt.ru
Россия, Черноголовка; Долгопрудный
Список литературы
- Разумов, В. Ф. (2014). Роль эффектов коллективного взаимодействия в нанокластерах коллоидных квантовых точек. Химия высоких энергий, 48(6), 419.
- Masters B. R. (2014). Paths to Förster’s resonance energy transfer (FRET) theory. The European Physical Journal H, 39, 87–139.
- Nikolenko L. M., Pevtsov D. N., Gak V. Y., Nazarov V. B., Akimov A. V., Tovstun S. A., Razumov V. F. (2024). Delayed fluorescence of InP: Mn/ZnS nanocrystals. Journal of Photochemistry and Photobiology A: Chemistry, 448, 115298.
- R. Beaulac, P.I. Archer, S.T. Ochsenbein, D.R. Gamelin, Mn2+–doped CdSe quantum dots: New inorganic materials for spin-electronics and spin-photonics, Adv. Funct. Mater. 18 (2008) 3873–3891.
- R. Beaulac, P.I. Archer, D.R. Gamelin, Luminescence in colloidal Mn2+-doped semiconductor nanocrystals, J. Solid State Chem. 181 (2008) 1582–1589.
- M. Tanaka, J. Qi, Y. Masumoto, Comparison of energy levels of Mn2+ in nanosized- and bulk-ZnS crystals, J. Lumin. 87–89 (2000) 472–474.
- Shiliang Meia, Xian Weia, Dan Yanga, Danlu Sua, Wu Yanga, Guilin Zhanga, Zhe Hua, BoBo Yangb, Hanqing Daib, Fengxian Xiea, Wanlu Zhanga, Ruiqian Guo. Journal of Luminescence, 212 (2019), 264–270
- Brichkin S. B., Tovstun S. A., Spirin M. G., Razumov V. F. (2017). Förster resonance energy transfer in nanoclusters of InP@ ZnS colloidal quantum dots with dodecylamine ligand shells. High Energy Chemistry, 51, 455–461.
- Tovstun S. A., Gadomska A. V., Spirin M. G., Razumov, V. F. (2022). Extracting the homogeneous and inhomogeneous linewidths of colloidal quantum dots from the excitation-emission matrix. Journal of Luminescence, 252, 119420.
- Yuldasheva D. K., Pevtsov D. N., Gadomska A. V., Tovstun S. A. (2022). Kinetics of Nonradiative Energy Transfer between Close-Packed InP/ZnS Nanocrystals. High Energy Chemistry, 56(6), 399–410.
Дополнительные файлы









