On the radiation resistance of tetrafluoroethylene telomers with terminal hydroxyl groups
- Authors: Kichigina G.A.1, Kushch P.P.1, Kiryukhin D.P.1, Shulga Y.M.1
-
Affiliations:
- Federal Research Center of Problems of Chemical Physics and Medicinal Chemistry RAS
- Issue: Vol 58, No 4 (2024)
- Pages: 342-344
- Section: SHORT COMMUNICATIONS RADIATION CHEMISTRY
- URL: https://ogarev-online.ru/0023-1193/article/view/274672
- DOI: https://doi.org/10.31857/S0023119324040151
- EDN: https://elibrary.ru/TPDBJF
- ID: 274672
Cite item
Full Text
Full Text
Исследования свойств и перспектив использования политетрафторэтилена (ПТФЭ), его модифицированных форм, новых композиционных материалов и сополимеров на его основе, обладающих уникальными свойствами, продолжаются [1–6]. Определенный интерес представляют теломеры тетрафторэтилена (ТФЭ) – олигомеры с концевыми группами, состоящими из фрагментов молекул растворителей, в которых проводился синтез. Растворы теломеров, радиационно-синтезированных в ряде растворителей [7, 8], позволяют применять традиционные жидкофазные технологии при создании гидрофобных покрытий, преодолевая один из недостатков ПТФЭ, связанный с его нерастворимостью. Очевидно, что морфология, молекулярная структура и свойства теломеров будут отличаться от высокомолекулярного ПТФЭ. Радиационная стойкость фторполимеров изучается, но в литературе мы не обнаружили исследований, посвященных влиянию гамма-излучения на структуру фтортеломеров.
В настоящем сообщении приведены результаты исследования влияния гамма-излучения на молекулярную структуру теломеров ТФЭ с гидроксильными концевыми группами и проведен сравнительный анализ с промышленным ПТФЭ. В качестве метода для оценки радиационной стойкости мы использовали ИК-спектроскопию. Ранее нами было установлено [9], что облучение в воздушной среде гидрофобных покрытий стеклоткани, полученных из растворов ряда теломеров ТФЭ, приводит к изменениям их молекулярной структуры и появлению в ИК-спектре новой полосы при ~1780 см-1. Происхождение этой полосы можно связывать с образованием –COOH или –CF=CF2 групп [10]. Но поскольку при облучении ПТФЭ в вакууме эта полоса не появлялась, то мы склонны считать, что она обусловлена формированием карбоксильной группы.
В данной работе за меру радиационной стойкости теломеров мы приняли относительную интенсивность этой полосы, а именно: чем больше интенсивность этой полосы, тем меньше радиационная стойкость исследуемого образца.
РЕЗУЛЬТАТЫ И ОБСУЖДЕНИЕ
Для радиационного синтеза теломеров ТФЭ использованы тетрафторэтилен (С2F4, ТФЭ) и трифтортрихлорэтан (С2F3Cl3, фреон113) производства ООО “Завод полимеров Кирово-Чепецкого химического комбината”, а также этанол (C2H5OH). Синтез теломеров ТФЭ проводился по стандартной методике, подробно описанной в работе [8].
ИК-спектры нарушенного полного внутреннего отражения (ИК НПВО) регистрировали при комнатной температуре в диапазоне 450–4000 см-1 на ИК-Фурье-спектрометре PerkinElmerSpectrumTwo с приставкой НПВО. Для регистрации ИК- спектров использовали порошки сухих теломеров, полученные после удаления растворителя. Облучение образцов сухих теломеров γ-лучами 60Со проводили на воздухе на УНУ “Гамматок-100”, мощность облучения 3.2 Гр/c, суммарная доза облучения 600 кГр.
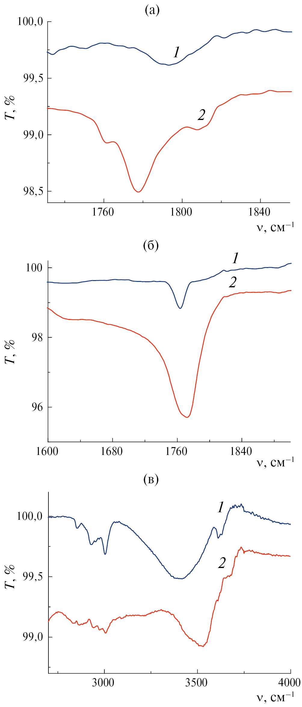
На рис. 1а представлен фрагмент ИК-спектра ПТФЭ до и после облучения. Видно, что в результате облучения в ИК-спектре ПТФЭ появилась новая полоса поглощения при 1778 см-1. Отношение интенсивности пика при 1778 см-1 к интенсивности пика при 1146 см-1 (rγ = I1778/I1146) для облученного образца оказалось равным 0.0129.
Рис. 1. Фрагменты ИК спектров ПТФЭ (а) и теломеров ТФЭ/фреон + этанол (б, в) до (кривые 1) и после облучения (кривые 2).
Для облученных образцов теломеров максимум новой полосы поглощения (ПП) сдвигается к значению 1773 см-1 (рис. 1б). Отметим, что при этом положение полосы 1146 см-1 практически не изменилось. Мы связываем это обстоятельство с влиянием длины цепи теломера на положение этой полосы. Значения rγ = I1773/I1146 для изученных образцов теломеров составляет 0.0212. Очевидно, что устойчивость теломеров к радиационному облучению (по значению параметра rg) приблизительно в 2 раза меньше устойчивости ПТФЭ. Помимо этого, наблюдаются изменения, произошедшие под действием облучения в области валентных колебаний связей О–Н (рис. 1в). В спектре исходного образца теломера в этой области присутствуют широкая ПП с максимумом приблизительно 3400 см-1 и 2 узких пика при 3611 и 3632 см-1. Широкую полосу мы связываем с адсорбированными молекулами воды, а узкие пики обусловлены изолированными ОН-связями (концевые группы теломеров). В результате облучения узкие пики становятся более широкими и менее интенсивными, что свидетельствует об отрыве концевых групп. В тоже время мы наблюдаем рост интенсивности поглощения с максимумом при 3535 см-1. Эта ПП характерна для валентных колебаний ν(О–Н) мономерной формы карбоксильной группы. Соответственно, наблюдаемое нами появление новой полосы поглощения при 1773 см-1 под действием облучения связано с валентными колебаниями ν(С=О) образующейся карбоксильной группы.
Таким образом, впервые было исследовано влияние гамма-излучения на молекулярную структуру теломеров ТФЭ с гидроксильными концевыми группами. Установлено, что для теломеров ТФЭ/фреон + этанол, которые деструктируют по механизму, характерному для ПТФЭ, радиационная стойкость в 2 раза меньше таковой для ПТФЭ. В результате радиолиза на воздухе наблюдается отрыв концевых групп теломеров, происходит разрыв теломерной цепи, соответственно, уменьшается их средняя длина цепи и образуются новые концевые группы –СООН, что подтверждает выводы об образовании карбоксильных групп, сделанные ранее в работе [9] по исследованию влияния гамма-излучения на молекулярную структуру и свойства гидрофобных теломерных покрытий стеклоткани.
ИСТОЧНИК ФИНАНСИРОВАНИЯ
Работа выполнена по госзаданию Российской Федерации (номер гос. Регистрации 124013000722-8, 124013000757-0) с использованием УНУ “Гамматок-100” ФИЦ ПХФ и МХ РАН.
About the authors
G. A. Kichigina
Federal Research Center of Problems of Chemical Physics and Medicinal Chemistry RAS
Author for correspondence.
Email: kga@icp.ac.ru
Russian Federation, Chernogolovka
P. P. Kushch
Federal Research Center of Problems of Chemical Physics and Medicinal Chemistry RAS
Email: kga@icp.ac.ru
Russian Federation, Chernogolovka
D. P. Kiryukhin
Federal Research Center of Problems of Chemical Physics and Medicinal Chemistry RAS
Email: kga@icp.ac.ru
Russian Federation, Chernogolovka
Y. M. Shulga
Federal Research Center of Problems of Chemical Physics and Medicinal Chemistry RAS
Email: kga@icp.ac.ru
Russian Federation, Chernogolovka
References
- Panshin Yu.A., Malkevich S.G., Dunayevskaya C.S. Fluoroplasts. M.: Khimiya. 1978. 228 p.
- Oshima A., Ikede S., Seguch T., Tabata Y. // Radiat. Phys. Chem. 1997. V. 49. P. 279.
- Buznik V.M., Fomin V.M., Alkhimov A.P. et al. Metal-polymer nanocomposites (preparation, properties, application). Novosibirsk: SO RAS publishing. 2005. 260 p.
- Ignatyeva L.N., Buznik V.M. // Ros. khim. zh. (Zh. Ros. Khim. Obs. named after D.I. Mendeleev). 2008. V. LII. № 3. P. 139.
- Khatipov S.A., Konova E.M., Artamonov N.A. // Ros. khim. zh. (Zh. Ros. Khim. Obs. named after D.I. Mendeleev). 2008. V. LII. № 5. P. 64–72.
- Buznik V.M. Fluoropolymer Materials: Application in Oil and Gas Complex (Ser. “Academic Readings”, Iss. 61). M.: NEFT & GAS Publishing House of the Gubkin Russian State University of Oil and Gas. 2009. 31 p.
- Kiryukhin D.P., Kichigina G.A., Kushch P.P., Buznik V.M. Low-molecular fluoropolymer materials. Monograph “Fluoropolymer Materials” (Ch. 4). Tomsk: NTL Publishing House, 2017. 600 p.
- Kushch P.P., Kichigina G.A., Kiryukhin D.P., Barinov D.Ya. // High Energy Chemistry. 2018. V. 52. № 1. P. 38.
- Kichigina G.A., Kushch P.P., Kiryukhin D.P., Kabachkov E.N., Shulga Yu.M. // High Energy Chemistry. 2023. V. 57. № 5. P. 378.
- Fisher W.K., Corelli J.C. // Journal of Polymer Science: Polymer Chemistry Edition. 1981. V. 19. P. 2465.
Supplementary files



