Influence of absorbing layers on the average dose and dose uniformity during irradiation with 1–3 MEV electrons
- Authors: Bludenko A.V.1, Ponomarev A.V.1
-
Affiliations:
- A.N. Frumkin Institute of Physical Chemistry and Electrochemistry, RAS
- Issue: Vol 58, No 4 (2024)
- Pages: 322-328
- Section: RADIATION CHEMISTRY
- URL: https://ogarev-online.ru/0023-1193/article/view/274665
- DOI: https://doi.org/10.31857/S0023119324040127
- EDN: https://elibrary.ru/TPFURF
- ID: 274665
Cite item
Full Text
Abstract
Electron beams with energies up to 3 MeV, widely used in technological and research practice, have a relatively low penetration depth into matter, and the nonuniformity of energy absorption can reach 30% per 1 mm of path. High nonuniformity, as well as the high cost of radiation, requires the researcher to have skills in optimizing the uniformity of irradiation and reducing energy losses. This work presents the dependence of the average absorbed dose and dose nonuniformity when irradiating a liquid with a horizontal beam in test tubes or pipes with different glass wall thicknesses (0.2–2 mm Pyrex). The dependencies are applicable to clarify, predict and analyze the distribution of absorbed dose in materials.
Keywords
Full Text
ВВЕДЕНИЕ
Вследствие рассеяния моноэнергетические электроны движутся в веществе по неодинаковым траекториям. Это проявляется в наличии максимума на кривой “глубина–доза”, описывающей распределение энергии пучка электронов в материале [1, 2]. Из-за сложности классического описания распределения электронов в веществе на практике используются упрощенные эмпирические корреляции. В частности, используются понятия “полезный пробег” и “максимальный пробег” электронов. Полезный пробег ru характеризует толщину материала, при которой поглощенная доза на фронтальной и тыльной поверхностях равны друг другу. Пробег ru соответствует компромиссу между высокой равномерностью и высокой производительностью облучения. Максимальный пробег Rmax характеризует максимальную глубину проникновения электронов в материал безотносительно к поглощенной дозе. В диапазоне энергии электронов Е0 = 1–3 МэВ для оценки пробегов используются эмпирические уравнения (в [см]): ru ≈ Е0/3ρ и Rmax ≈ E0/2ρ, где ρ – плотность облучаемого материала (г/см). Очевидно, ru почти в 1.5 раза меньше, чем Rmax. На практике это означает, что при облучении материала толщиной ru около 15–25% исходной энергии пучка безвозвратно теряется.
Потеря энергии увеличивает стоимость облучения, что нежелательно для любой электронно-лучевой технологии. В коммерческих технологиях эта дополнительная стоимость закладывается в цену продуктов, т.е. компенсируется. Некоммерческие технологии обезвреживания коммунальных отходов имеют ограниченные возможности для такой компенсации, и поэтому стоимость облучения и, соответственно, потери энергии, должны быть как можно меньше [3–6]. Важным средством выявления потерь энергии служит дозиметрия. Наиболее точное значение дозы измеряется с помощью жидких дозиметрических растворов, имеющих ту же форму, что и облучаемый образец [7]. Но такие измерения выявляют лишь среднюю дозу, но не подходят для определения равномерности распределения дозы. В частности, они не показывают максимальную и минимальную дозы. Пространственное распределение дозы может быть измерено с помощью пленочных полимерных дозиметров [8, 9]. Однако для этого требуется довольно большое число дозиметрических пленок и много времени.
Пространственное распределение дозы зависит от множества факторов, таких как энергия и направление пучка, конструкция и взаиморасположение пучкового окна и реакционного сосуда, подвижность облучаемого слоя и др. [1–3]. Ввиду разнообразия этих факторов и сложности их учета, экспериментаторы заинтересованы в наглядных иллюстрациях пространственного распределения дозы в зависимости от способа облучения и последовательности поглощающих слоев. Такие иллюстрации были бы полезны как для планирования облучения, так и для анализа полученных результатов. В настоящей работе представлены профили средней поглощенной дозы и неравномерности дозы, характерные для облучения жидкости в пробирках разного диаметра с разной толщиной стенки при Е0 = 1–3 МэВ.
МАТЕРИАЛЫ И ЭКСПЕРИМЕНТАЛЬНЫЕ МЕТОДЫ
Излучатели и материалы
Источниками излучения служили прямоточный ускоритель ЭЛВ-4 (Е0 = 1 МэВ) и линейный ускоритель LINS-03-330 (Е0 = 2 и 3 МэВ) при одинаковой плотности тока 30 мкА/см2. Исследовались энерго-поглощающие материалы со следующей плотностью: 2.23 г/см3 для стекла (Пирэкс), 2.71 г/см3 для Al фольги, 4.54 г/см3 для Ti фольги, 1.0 г/см3 для воды и 0.0012 г/см3 для воздуха (293 К, 100 кПа). Максимальный пробег электронов и кривые “глубина–доза” при различной толщине (от 0.01Rmax до Rmax) материала измерялись в диапазоне 5–20 кГр с помощью пленочных полимерных дозиметров (сополимер с феназиновым красителем СО ПД(Ф)Р-5/50 (ГСО 7865-2000)) [9]. Они предназначены для дозиметрии электронного излучения в воде и имеют следующие характеристики: диапазон мощности дозы 10-2–105 Гр/с; диапазон энергии Е0 от 0.3 до 10 МэВ; температура при облучении от 15 до 40°С; относительная погрешность измерения поглощенной дозы при р = 0.95 не более 12%. Формировалась стопка, где пленочные дозиметры (56 мкм толщиной) чередовались полиэтиленовыми пленками (44–132 мкм толщиной) с общей толщиной стопки от 0.7 г/см2 для 1 МэВ до 2.1 г/см2 для 3 МэВ. Поглощенную дозу в пленках определяли с помощью УФ-Vis спектрофотометра Cary-100 по оптической плотности при 512 нм.
Измерение распределения дозы
Максимум на кривой “глубина–доза” обусловлен обратным рассеянием электронов [2, 7]. Рассеяние наибольшее, когда толщина поглощающего слоя равна или больше Rmax. В более тонких образцах обратное рассеяние электронов уменьшается примерно пропорционально отношению толщины образца к Rmax [2]. Таким образом, распределение поглощенной дозы в тонких материалах зависит от соотношения их толщины и проникающей способности электронов.
Рассматривалось облучение жидкости с плотностью 1.0 г/см3 (вода) горизонтальным электронным пучком в пробирке или цилиндрической трубке из стекла Пирекс (плотность 2.23 г/см3). Пучок электронов (рис. 1) последовательно поглощается в фольге (толщиной F) пучкового окна, в воздушном зазоре и в стенке трубки (толщиной tw), а затем проникает в жидкость (толщина dtube). Пленочный дозиметр располагается в точке А на внутренней стенке трубки. Его показания далее обозначаются как Dcont. За трубкой следует воздушное пространство (не дающее обратного рассеяния электронов, проникающих за пределы трубки). Цилиндрическая форма затрудняет прямой расчет средней дозы в жидкости, помещенной в трубку, поскольку ширина и толщина поглощающего водяного слоя изменяются вдоль сечения трубки.
Жидкость в пробирке облучается равномерно по всей высоте. Следовательно, неравномерность дозы обусловлена только неодинаковым распределением энергии по горизонтальному сечению воды. На рис. 1 совмещены сечение фольги пучкового окна, сечение пробирки и соответствующая кривая “глубина–доза” (пример для Е0 = 3 МэВ). Воздушный зазор между фольгой и облучаемым объектом составляет 100 мм (на рис. 1 не показан ввиду низкой плотности воздуха). Сечение воды в пробирке и кривая “глубина–доза” на рис. 1 рассечены вертикальными линиями, отстоящими друг от друга на одинаковом расстоянии ∆h. Ради точности расчета шаг ∆h (количество вертикалей) выбирается так, чтобы изменение относительной дозы между соседними вертикалями (на кривой “глубина–доза”) не превышало 2%. Относительная доза в точке А, т.е. в дозиметре на переднем крае сечения воды, принимается за 1. Рассчитываются значения ∆Si (площадь сечения воды, расположенная между соседними хордами), а также доля каждой элементарной площади ∆Si в общей площади сечения пробирки νi = 4∆Si / (πdtube). Далее по экспериментальной кривой “глубина–доза” определяется локальная доза Di, соответствующая позиции каждой из хорд. Далее вычисляется средняя доза Dav = S(νi Di). Поскольку высота жидкости в облучаемой пробирке постоянна, а все горизонтальные сечения одинаковы, то средняя доза, вычисленная для одного сечения, совпадает со средней дозой в любом другом горизонтальном сечении.
Рис. 1. Сечение пробирки и соответствующая кривая “глубина–доза”. F – толщина фольги пучкового окна (мкм); dtube – внутренний диаметр пробирки (толщина жидкости, мм); tw – толщина стенки пробирки (мм); djet – толщина струи (мм); dtray– толщина жидкости в чашке (мм); А – положение пленочного дозиметра при предварительной дозиметрии. Воздушный зазор не показан.
Цилиндрическая форма пробирки может вносить искажение в распределение поглощенной энергии. Для параллельного пучка электронов, направленного перпендикулярно к оси пробирки (рис. 1), слой поглощающего стекла имеет разную толщину (линии на передней стенке стекла). Например, в случае, изображенном на рис. 1, толщина стекла на линиях 2, 3 и 4 больше, чем tw (линия 1) в 1.06, 1.22 и 2.03 раза соответственно. В свою очередь, толщина воды на линиях 2, 3 и 4 меньше, чем dtube (линия 1) в 1.06, 1.31 и 3.52 раза соответственно. Однако, как показывают расчеты, эта кривизна при dtube ≥ 5 мм изменяет среднюю дозу Dav не более чем на ±3%. В частности, это обусловлено тем, что наибольший объем жидкости сосредоточен в зоне, где толщина стекла и толщина воды мало отличаются от tw и dtube.
Наряду со значениями Dav, рассчитывалось отклонение дозы от среднего значения:
где Dmax и Dmin соответствуют максимальной и минимальной дозе в облучаемой воде. DD, равное 100% соответствует случаю, когда часть воды не участвует в поглощении энергии, т.е. когда толщина поглощающего слоя воды больше, чем длина проникновения электронов. Отклонение дозы, равное 0% соответствует случаю абсолютно равномерного распределения энергии. При одностороннем облучении такой случай наблюдается лишь в очень тонких образцах.
РЕЗУЛЬТАТЫ И ОБСУЖДЕНИЕ
Пробег 3 МэВ электронов составляет около 1.5 г/см2, т.е. около 15 мм в воде, 6.7 мм в стекле, 5.5 мм в Al фольге и 3.3 мм в Ti фольге. Фактически жидкость в пробирке облучается электронами меньшей энергии, поскольку часть энергии предварительно поглощается в фольге, в воздушном зазоре и во фронтальной стеклянной стенке. Однако поглощение в типичной фольге выпускного окна ускорителя невелико. Например, 40 мкм Al эквивалентно поглощающей способности почти 0.11 мм воды, а 100 мкм Ti – почти 0.45 мм воды. При толщине стенки пробирки 1.2 мм и внутреннем диаметре пробирки 8 мм поглощение энергии (Е0 = 3 МэВ) в фольге составляет около 1% в случае 40 мкм Al и около 4% в случае 100 мкм Ti. Тем не менее при более тонком стекле вклад фольги выпускного окна становится более заметным, особенно при низкой энергии (рис. 2).
Рис. 2. Зависимость средней поглощенной дозы Dav от dtube (tw = 0.5 mm) при Е = 1 МэВ и разной фольге.
Плотность воздуха при нормальных условиях составляет около 1.2 кг/м3. При энергии 1 МэВ пробег электронов в воздухе достигает около 4.08 м (293 К, 100 кПа). Т.е. воздушный зазор 10 см (используемый в настоящей работе) между фольгой выпускного окна и облучаемым образцом поглощает не более 3% от энергии электронов. При энергии Е0 = 3 МэВ воздушный зазор менее 30 см также поглощает пренебрежимо мало. Ниже представлены соответствующие зависимости при различных значениях толщины воды для Е0 = 1–3 МэВ и F = 40 мкм Al.
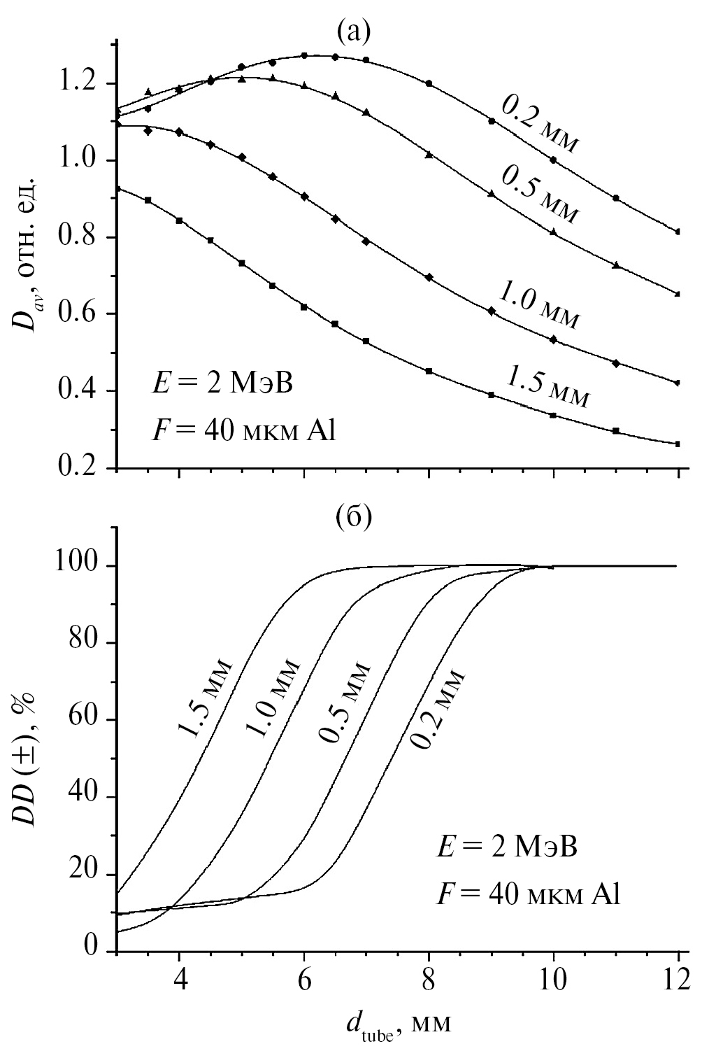
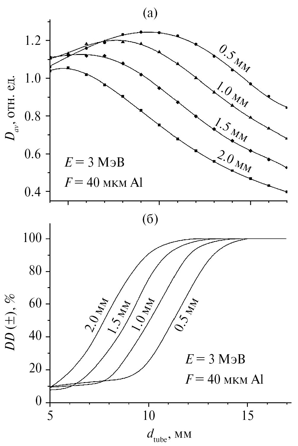
На рис. 3–5 показаны средние дозы Dav и отклонения дозы DD в зависимости от внутреннего диаметра пробирки dtube при некоторых толщинах стенки tw. Кривые на рис. 3а–5а существенно отличаются от зависимостей, известных как кривые “глубина–доза”, которые показывают изменение локальной дозы вдоль направления пучка электронов в материале с толщиной больше Rmax. Кривые на рис. 3а–5а показывают дозу (Dav), усредненную по всему объему воды в конкретной пробирке с фиксированным внутренним диаметром dtube, который может быть меньше Rmax. Таким образом, на рисунках представлен интеграл экспериментальной кривой “глубина–доза”, измеренной между точкой А и задней стенкой трубки (интеграл по длине dtube).
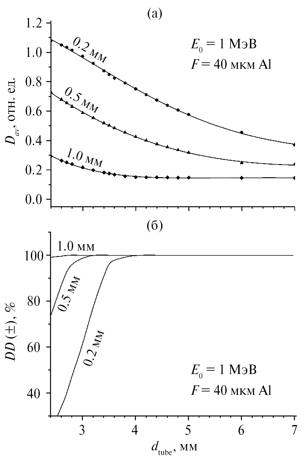
Рис. 3. Зависимость средней поглощенной дозы Dav (а) и показателя DD (б) от диаметра dtube и толщины стеклянной стенки tw в пробирке при Е = 1 МэВ и F = 40 мкм Al.
Рис. 4. Зависимость средней поглощенной дозы Dav (а) и показателя DD (б) от диаметра dtube и толщины стеклянной стенки tw в пробирке при Е = 2 МэВ и F = 40 мкм Al.
Рис. 5. Зависимость средней поглощенной дозы Dav (а) и вариации дозы (б) от диаметра dtube и толщины стеклянной стенки tw в пробирке при Е = 3 МэВ и F = 40 мкм Al.
Приводимые значения Dav справедливы как без перемешивания, так и с перемешиванием воды. В свою очередь, кривые на рис. 3б–5б показывают неравномерность DD в распределении дозы по пробирке в отсутствие перемешивания. При толщине поглощающего слоя (F + tw + dtube), равной или превышающей максимальный пробег электронов, показатель DD составляет 100%, т.е. часть воды в пробирке остается без воздействия электронным пучком. Однако при надлежащем перемешивании (например, барботаж там, где он возможен) средняя доза Dav равномерно распределяется по объему воды, и показатель DD может приближаться к 0%.
При Е0 = 1 МэВ (рис. 3) обычные значения tw = 1–2 мм являются чрезмерно большими, поскольку столь толстое стекло поглощает от 50 до 100% энергии пучка. Поэтому получить значимую среднюю дозу, достигающую хотя бы 50% от показаний пленочного дозиметра (Dav ≥ 0.5), можно лишь при использовании тонкостенных узких пробирок с tw < 0.5 мм и dtube ≤ 3 мм. Однако такие пробирки довольно неудобны в обращении и не дают возможности перемешивать воду во время облучения. Уже при dtube = 4 мм неравномерность дозы составляет более ±90%, а при dtube = 3 мм – более ±60%. При Е0 = 1 МэВ средняя доза в пробирке с dtube ≥ 3 мм всегда оказывается меньше показаний контрольного дозиметра (Dav ≤ Dcont = 1).
Рисунок 3а также показывает значения Dav в случае dtube ≥ 4.5 мм, т.е. когда общая толщина поглощающих материалов больше длины пробега электрона. Согласно рис. 3б при dtube ³ 4 мм вариация дозы в отсутствии перемешивания близка к 100%, т.е. локальная поглощенная доза близка к нулю. Однако Dav при tw ≥ 1 мм остается выше нуля. Этот случай показывает среднюю дозу Dav в случае непрерывного перемешивания облучаемой воды, т.е. когда необлученная часть воды непрерывно разбавляется облученной водой.
Зависимости Dav от dtube при энергии электронов 2 МэВ (рис. 4) и 3 МэВ (рис. 5) показывают, что средняя доза может оказываться выше показаний контрольного дозиметра, Dcont. При Е0 = 2 МэВ такой эффект наблюдается только в тонкостенных пробирках с внутренним диаметром до 8 мм при tw = 0.5 мм и до 10 мм при tw = 0.2 мм. При более высоких Е0 случаи, когда Dav ≥1 наблюдаются в более широком интервале dtube. Например, при Е0 = 3 МэВ и tw = 0.5 мм средняя доза превышает Dcont в пробирках с dtube до 14 мм. При этом даже в пробирках с dtube на 25 % больше максимального пробега электрона средняя доза оказывается довольно высокой – от 0.45 до 0.65.
Из рис. 3–5 видно, что толщина стенки tw оказывает существенное влияние на Dav и DD. Такой эффект закономерен, поскольку поглощающая способность стекла почти в 2.2 раза выше, чем у воды. Поэтому для обеспечения достоверности радиационно-химических данных необходимо тщательно определять толщину стекла в пробирке. Большинство доступных трубок не предназначены для радиационно-химических исследований и поэтому могут иметь неподходящую или переменную толщину.
Следует также отметить, что приближенная средняя доза, рассчитываемая в практических приложениях как полусумма максимальной и минимальной локальной доз, на 11–40% меньше, чем Dav, определенная вышеописанным интегрированием экспериментальных кривых распределения энергии.
ЗАКЛЮЧЕНИЕ
Данные, представленные на рис. 3–5 позволяют исследователям получить более полное представление о распределении средней дозы в облучаемых материалах и тем самым уменьшить ошибки в определении радиационно-химических выходов и других показателей, характеризующих радиолиз материалов. Рисунки также позволяют по показанию одного дозиметра, размещенного в точке А, определить Dav и DD для заданной энергии электронов и фактических параметров используемой пробирки.
Получение высокой средней дозы в растворе является вспомогательной целью. Главная же цель обычно состоит в деградации того или иного компонента в растворе. Например, при облучении раствора красителя в пробирке под действием горизонтального пучка 3 МэВ электронов при dtube = 12 мм и tw = 1 мм средняя доза может совпадать с показаниями контрольного дозиметра (Dcont = Dav = 1). Казалось бы, достигается надлежащее облучение. Однако в данном примере основная цель облучения состоит в том, чтобы обесцветить краситель. Из рис. 5б видно, что в этих условиях DD ≈ ±90%, то есть минимальная доза (у тыльной стенки пробирки) почти в 19 раз ниже, чем максимальная доза (у фронтальной стенки) – облучение крайне неравномерное. Это означает, что доза ближе к тыльной стенке пробирки может быть недостаточна для обесцвечивания красителя. Соответственно, раствор, скорее всего, сохранит остаточную окраску, т.е. цель облучения не достигается.
Рис. 3–5 удобны для лабораторных исследований. С помощью пленочного дозиметра в точке А (при заданных dtube и tw) проводится измерение дозы за определенный промежуток времени. Это показание служит Dcont = 1. По соответствующему из рис. 3–5 определяется средняя доза Dav и показатель DD. Если показатель DD выше, чем того требует заданная равномерность, то при облучении раствора следует применять перемешивание, например барботаж газом от дна пробирки через тонкий капилляр. Другим вариантом является облучение в несколько стадий (≥4) с интенсивным встряхиванием пробирки между стадиями.
Для крупнотоннажных радиационно-химических технологий наиболее привлекательны прямоточные электронные ускорители с энергией до 3 МэВ. Они довольно компактны, надежны и обладают наивысшей энергетической эффективностью [3, 4, 7]. Однако энергия 3 МэВ соответствует глубине проникновения электронов в водоэквивалентной среде до 1.5 см, а “полезный пробег” электронов составляет около 1 см. Это довольно малая глубина, где локальная доза может уменьшаться со скоростью до 30% на 1 мм пути электрона. Такая вариативность локальной дозы требует очень большого внимания к дозиметрии с учетом конструкции пучкового окна, стенок химического реактора, гомогенности облучаемого материала и толщины поглощающих слоев.
БЛАГОДАРНОСТИ
Авторы благодарны Центру коллективного пользования физико-химическими методами исследования ИФХЭ РАН за предоставленное оборудование.
ИСТОЧНИК ФИНАНСИРОВАНИЯ
Работа выполнена в рамках государственной темы 122011300061-3.
About the authors
A. V. Bludenko
A.N. Frumkin Institute of Physical Chemistry and Electrochemistry, RAS
Email: ponomarev@ipc.rssi.ru
Russian Federation, Moscow
A. V. Ponomarev
A.N. Frumkin Institute of Physical Chemistry and Electrochemistry, RAS
Author for correspondence.
Email: ponomarev@ipc.rssi.ru
Russian Federation, Moscow
References
- Berejka A.J., Cleland M.R., Walo M. // Radiat. Phys. Chem. 2014. V. 94. P. 141.
- Ponomarev A.V. // Radiat. Phys. Chem. 2016. V. 118. P. 138.
- Chmielewski A.G. // Radiat. Phys. Chem. 2023. V. 213. P. 111233.
- Ponomarev A.V., Ershov B.G. // Environ. Sci. Technol. 2020. V. 54. P. 5331.
- Yuri Kim, Ershov B.G., Ponomarev A.V. // High Energy Chem. 2020. V. 54. P. 462.
- Pikaev A.K. // High Energy Chem. 2001. V. 35. P. 367.
- Woods R., Pikaev A. Applied radiation chemistry. Radiation processing. NY: Wiley, 1994.
- Gryczka U., Zimek Z., Walo M., Chmielewska-Śmietanko D., Bułka S. // Appl. Sci. 2021. V. 11. P. 11194.
- Gromov A.A., Zhanzhora A.P., Kovalenko O.I. // Meas. Stand. Ref. Mater. 2022. V. 17. P. 23.
Supplementary files







