Спин-зависимое регулирование электронных и магнитных свойств олигомеров поли(3-алкилтиофена) и их композитов с ароматическими нанодобавками
- Авторы: Криничный В.И.1
-
Учреждения:
- Федеральный исследовательский центр проблем химической физики и медицинской химии Российской академии наук
- Выпуск: Том 58, № 3 (2024)
- Страницы: 175-189
- Раздел: ОБЩИЕ ВОПРОСЫ
- URL: https://ogarev-online.ru/0023-1193/article/view/267361
- DOI: https://doi.org/10.31857/S0023119324030014
- EDN: https://elibrary.ru/UUYVEB
- ID: 267361
Цитировать
Полный текст
Аннотация
Рассчитаны энергетические и спиновые параметры поли(3-алкилтиофеновых) олигомеров и их композитов с ароматическими углеводородами. Идентифицировано сосуществование в изученных соединениях поляронов с разной степенью делокализации. Обнаружено периодическое изменение электронных и спиновых свойств композитов, инициированное взаимодействием олигомеров с ароматическими нанодобавками. Получены анизотропные параметры спиновых гамильтонианов изученных систем, и рассчитаны их спектры ЭПР высокого разрешения.
Полный текст
ИСПОЛЬЗОВАННЫЕ АББРЕВИАТУРЫ / ABBREVIATIONS USED
поли(3-алкилтиофен)/poly(3-alkylthiophene) (P3AT)
поли(3-гидротиофен)/poly(3-hydrothiophene) (P3HyT)
поли(3-метилтиофен)/poly(3-methylthiophene) (P3MeT)
поли(3-этилтиофен)/poly(3-ethylthiophene) (P3EtT)
поли(3-бутилтиофен) /poly(3-buthylthiophene) (P3BuT)
поли(3-гексилтиофен) /poly(3-hexylthiophene) (P3HxT)
поли(3-октилтиофен) /poly(3-octylthiophene) (P3OcT),
поли(3-децилтиофен) /poly(3-decylthiophene) (P3DeT)
поли(3-додецилтиофен) /poly(3-dodecylthiophene) (P3DoT)
полиацены/polyacenes (РА)
полициклические углеводороды (РН)
теория функционала плотности/density functional theory (DFT)
электронный парамагнитный резонанс (ЭПР)
квази-одномерный (Q1D)
квази-двумерный (Q2D)
наивысшая занятая молекулярная орбиталь (HOMO)
наинизшая свободная молекулярная орбиталь (LUMO)
олигоХмер - олигомер из Х мономеров
сверхтонкое взаимодействие/hyperfine coupling (HFC)
ВВЕДЕНИЕ
Органические полимерные полупроводники широко используются для создания на их основе преобразователей энергии, химических сенсоров, полевых транзисторов, других молекулярных устройств [1, 2]. В качестве активных матриц донорно-акцепторных комплексов обычно применяются различные региорегулярные поли(3-алкилтиофены) (P3AT) с разными боковыми заместителями, другие сопряженные полимеры [3], в то время как фуллереновые [4] и бесфуллереновые [5] соединения являются противоионами. Взаимодействие комплексов, например с фотонами света, приводит к возбуждению в них экситонов. При распаде этих квазичастиц происходит отрыв электрона с полимерной цепи и образование на ней локального топологического искажения, полярона, размером несколько мономеров, несущего элементарный заряд и полуцелый спин, ориентированный либо по направлению (+1/2), либо против направления (‒1/2) внешнего магнитного поля. При этом ароматическая форма полимера сменяется хиноидной. Такой конформационный переход сопровождается, в частности, уменьшением диэдрального/торсионного угла с последующим структурированием ближайших макромолекул с аналогичными носителями заряда. Сверхтонкое взаимодействие спинов поляронов со своим микроокружением в таком композите увеличивается, за счет чего происходит увеличение размерности и скорости межмолекулярной спиновой динамики. Спиновая природа носителей заряда предопределяет специфичность большинства процессов, протекающих в полимерных донорно-акцепторных соединениях, от их спинового состояния, межспинового взаимодействия и положения во внешнем магнитном поле. Это предоставляет возможность регулировать ширину запрещенной зоны и, таким образом, управлять тепловым переносом инициированного заряда из валентной зоны в зону проводимости композита простым изменением его спинового состояния, например под действием света.
Все процессы, происходящие в полимерных системах, зависят от их морфологии, а также структуры и донорно-акцепторных свойств их ингредиентов. Они могут регулироваться, в частности, спин-фотонным и/или обменным спин-спиновым воздействием на их электронные и спиновые параметры. Поскольку эти процессы осуществляются с участием спиновых носителей заряда, широкое применение для их исследования нашел прямой метод электронного парамагнитного резонанса (ЭПР) [6, 7].
Проведенные ранее исследования [8, 9] показали, что введение малых Q2D ароматических молекул в полимерные донорно-акцепторные композиты существенно улучшают их функциональные свойства. Было установлено, что такие добавки играют роль точек кристаллизации полимерной матрицы композитов, которая увеличивает структурированность их матрицы и тем самым стабильность инициированных в них спиновых носителей заряда. В настоящей работе рассмотрены результаты исследования влияния структурных параметров олигомеров P3AT с различными боковыми алкильными заместителями, а также обменного спин-спинового взаимодействия со своим микроокружением на анизотропные параметры спинового гамильтониана поляронных носителей заряда. Продемонстрирована возможность управления спиновым состоянием и электронными свойствами изученных олигомеров их модификацией полициклическими ароматическими углеводородами.
МЕТОДИЧЕСКИЙ РАЗДЕЛ
Соединения, использованные в работе
В работе исследовались олигомеры поли(3-алкилтиофенов) (P3AT, см. рис. 1) с различными алкильными заместителями A ≡ R = CmH2m+1, поли(3-гидротиофен) (P3HyT, m = 0), поли(3-метилтиофен) (P3MeT, m = 1), поли(3-этилтиофен) (P3EtT, m = 2), поли(3-бутилтиофен) (P3BuT, m = 4), поли(3-гексилтиофен) (P3HxT, m = 6), поли(3-октилтиофен) (P3OcT, m = 8), поли(3-децилтиофен) (P3DeT, m = 10) и поли(3-додецилтиофен) (P3DoT, m = 12), числом мономеров n, ароматической и хиноидной конформацией, в отсутствии и присутствии поляронов со спином S = 1/2 и положительным элементарным зарядом +e соответственно. С целью анализа влияния полициклических ароматических углеводородов (PAH) на электронные и спиновые свойства олигомеров P3HyT и P3MeT были использованы квази-одномерные (Q1D) полиацены (РА) бензол (n = 1), нафталин (n = 2), антрацен (n = 3) (РА), тетрацен (n = 4), пентацен (n = 5), гексацен (n = 6), гептацен (n = 7), октацен (n = 8), нонацен (n = 9) и декацен (n = 10), а также квази-двумерные (Q2D) полиароматические углеводороды (PH). Указанные соединения также приведены на рис. 1 без атомов водорода.
Рис. 1. Олигомеры поли(3-алкилтиофенов) (P3AT), поли(3-гидротиофена) (1, P3HyT, m = 0), поли(3-метилтиофена) (2, P3MeT, m = 1), поли(3-этилтиофена) (3, P3EtT, m = 2), поли(3-бутилтиофена) (4, P3BuT, m = 4), поли(3-гексилтиофена) (5, P3HxT, m = 6), поли(3-октилтиофена) (6, P3OcT, m = 8), поли(3-децилтиофена) (7, P3DeT, m = 10) и поли(3-додецилтиофена) (8, P3DoT, m = 12), а также квази-одномерные (Q1D) полиацены (РА) и квази-двумерные (Q2D) графеноподобные полициклические ароматические углеводороды (РН) с разным числом фенильных колец, использованные в настоящей работе
ТФП/DFT расчет олигомеров поли(3-алкилтиофенов)
Энергетические уровни граничных высшей занятой (HOMO) и низшей свободной (LUMO) молекулярных орбиталей, EHOMO и ELUMO соответственно, а также ширины запрещенных зон, Eg = ELUMO ‒ EHOMO вышеуказанных олигомеров P3AT, их композитов с ароматическими добавками PA и PH были рассчитаны в приближении теории функционала плотности (DFT) в среде программного пакета Orca (version 5.0.4) [10] с функционалом B3LYP. Структурная геометрия исследованных молекулярных систем были предварительно оптимизированы посредством программного интерфейса параллельной передачи данных (MPI) всем ядрам используемого компьютерного процессора. Населенность электронных спинов и плотность заряда в исследуемых соединениях были рассчитаны в приближении формализма Малликена/Mulliken [11]. Анизотропные и усредненные константы сверхтонкого спин-спинового взаимодействия (HFC) и Ланде/Landé g-фактора были определены с использованием модуля EPRNMR с базисным набором EPRII для ядер от 1H до 12C, а также дополнительным базисным набором TZVPP для ядер 32S. Для проверки влияния типа базисного набора на рассчитанные параметры ЭПР были выполнены дополнительные одноточечные расчеты с использованием базового набора def2-TZVPP для всех атомов использованных соединений. Они показали незначительные различия в вычислении всех магнитно-резонансных параметров исследованных систем, как и в случае других полимерных донорно-акцепторных композитов [12]. Поэтому все приведенные в настоящей работе расчетные параметры были получены с базисными наборами EPRII и TZVPP с учетом всех возможных молекулярных конформеров и атомов их боковых заместителей. Поскольку существенного влияния типа базисного набора на оптимизируемые геометрию и магнитно-резонансные параметры обнаружено не было, все дальнейшие расчеты также проводились в предположении вакуума. Необходимо отметить, что для некоторых систем регистрировались необычные изменения компонент их спинового гамильтониана (см. ниже). В этом случае проводились многократные соответствующие вычисления для установления однозначного вывода. Визуализация зонных структур и орбитальных конфигураций выполнена с использованием программы Avogadro v.1.2.0 [13].
ТФП/DFT расчет спектров ЭПР спиновых носителей заряда в олигомерах поли(3-алкилтиофенов)
Константы сверхтонкого взаимодействия и главные значения g-тензора спиновых носителей заряда исследуемых олигомеров, DFT-рассчитанные в среде программного пакета Orca, были затем использованы с целью численного моделирования и визуализации их спектров ЭПР высокого разрешения D-диапазона (νe = ωe/2π = 140 ГГц, B0 = 4996 мТл) с использованием программного пакета EasySpin v.5.2.35 [14]. При моделировании учитывалось дополнительное анизотропное полезависимое уширение спектров за счет неразрешенного сверхтонкого расщепления (B-strain) уровня энергии спинов поляронов и распределения параметров спинового гамильтониана (g-strain). Оба уширения характеризуются Гауссовым распределением. Рассчитанные спектры ЭПР сравнивались с таковыми, полученными ранее экспериментально в миллиметровых диапазонах длин волн ЭПР.
РЕЗУЛЬТАТЫ И ОБСУЖДЕНИЕ
Расчет молекулярной и зонной структуры олигомеров поли(3-алкилтиофенов)
На вкладке рис. 2 представлены хиноидные участки полимерных цепей P3AT с расположенными на них положительно и отрицательно заряженными поляронами, возникающими в полимерном донорно-акцепторном композите, например под действием его облучения фотонами света. Образование таких спиновых носителей заряда сопровождается появлением в запрещенной зоне композита шириной Eg0 соответствующих энергетических подуровней под его наинизшей незанятой молекулярной орбиталью (LUMO) на расстоянии Е1 и над его наивысшей занятой молекулярной орбиталью (HOMO) на расстоянии Е2, показанных на рис. 2. Параметры Eg0, E1 и E2, рассчитанные для P3HyT в рамках приближения Хартри–Фока/Hartree–Foek, составили 2.20, 0.71 и 0.61 эВ соответственно [15]. Расстояние между подуровнями поляронов возрастает с увеличением напряженности внешнего магнитного поля B0 с коэффициентом/крутизной/тангенсом 1.175 × 10-7 эВ/мТл [16].
Рис. 2. Зависимость ширины запрещенной зоны Eg = EHOMO – ELUMO олигомеров P3HyT (1), P3MeT (2), P3EtT (3), P3BuT (4), P3HxT (5), P3OcT (6), P3DeT (7) и P3DoT (8) с разным числом мономеров n и длиной алкильных заместителей m, оптимизированных в рамках формализма/теории функционала плотности (DFT), в приближении Малликена/Mulliken в среде пакета Orca согласно процедуре, описанной в Методическом разделе. В верхней части приведены схематические структуры положительно и отрицательно заряженных поляронов на цепях P3AT с их соответствующими энергетическими подуровнями в запрещенной зоне олигомера. Линиями показаны зависимости, рассчитанные из уравнения (1) при (сверху вниз) a0 = 2.761 эВ, b = 5.447 эВ, c = 1.669, a0 = 2.078 эВ, b = 5.886 эВ, c = 1.671, a0 = 0.347 эВ, b = 5.029 эВ, c = 3.153, и a0 = 0.050 эВ, b = 4.003 эВ, c = 3.650 соответственно
Энергетические параметры HOMO, LUMO, Eg, рассчитанные для нейтральных и окисленных олигомеров P3AT с разным числом мономеров n при обеих возможных ориентациях спина поляронов во внешнем магнитном поле, приведены в табл. 1. Ширина запрещенной зоны Eg, определенная для этих соединений, приведена на рис. 2 в зависимости от числа их мономеров n. Из приведенных на рисунке данных можно сделать вполне ожидаемое заключение о существенной зависимости величины Eg от числа n изученных соединений, а также от ориентации инициированного в них полярона во внешнем магнитном поле. Полученные зависимости в первом приближении могут быть описаны простым экспоненциальным законом
Таблица 1. Параметры HOMO, LUMO и Eg (все в эВ), рассчитанные для нейтральных и окисленных олигомеров поли(3-алкилтиофенов) с разным числом мономеров n, рассчитанные в среде пакета Orca согласно процедуре, описанной в Методическом разделе
n | HOMOa | LUMOa | Ega | HOMOb | LUMOb | Egb | HOMOc | LUMOc | Egc |
H | Poly(3-Hydrothiophene) | ||||||||
1 | -5.513 | -0.501 | 5.012 | -11.923 | -6.562 | 5.362 | -12.206 | -6.288 | 5.918 |
2 | -4.951 | -1.423 | 3.528 | -9.873 | -6.136 | 3.737 | -11.223 | -8.172 | 3.051 |
3 | -4.749 | -1.851 | 2.898 | -8.870 | -5.828 | 3.042 | -9.732 | -7.495 | 2.237 |
4 | -4.655 | -2.094 | 2.561 | -8.246 | -5.576 | 2.670 | -8.797 | -7.070 | 1.727 |
5 | -4.608 | -2.247 | 2.361 | -7.814 | -5.367 | 2.447 | -8.159 | -6.778 | 1.381 |
6 | -4.586 | -2.349 | 2.237 | -7.494 | -5.192 | 2.302 | -7.692 | -6.566 | 1.126 |
7 | -4.577 | -2.420 | 2.157 | -7.246 | -5.043 | 2.204 | -7.336 | -6.406 | 0.930 |
8 | -4.576 | -2.470 | 2.106 | -7.047 | -4.911 | 2.136 | -7.053 | -6.281 | 0.772 |
9 | -4.581 | -2.507 | 2.074 | -6.882 | -4.792 | 2.090 | -6.824 | -6.180 | 0.644 |
10 | -4.588 | -2.534 | 2.054 | -6.741 | -4.683 | 2.059 | -6.634 | -6.096 | 0.538 |
11 | -4.597 | -2.554 | 2.043 | -6.621 | -4.582 | 2.039 | -6.476 | -6.025 | 0.451 |
12 | -4.606 | -2.569 | 2.037 | -6.582 | -4.561 | 2.021 | -6.381 | -5.975 | 0.406 |
Poly(3-Methylthiophene) | |||||||||
1 | -5.640 | -0.079 | 5.560 | -11.840 | -5.969 | 5.872 | -11.853 | -9.467 | 2.386 |
2 | -5.124 | -0.960 | 4.164 | -9.880 | -5.504 | 4.376 | -10.654 | -8.195 | 2.459 |
3 | -4.923 | -1.351 | 3.572 | -8.888 | -5.181 | 3.707 | -9.417 | -7.545 | 1.872 |
4 | -4.824 | -1.570 | 3.254 | -8.269 | -4.926 | 3.343 | -8.531 | -7.137 | 1.394 |
5 | -4.810 | -1.722 | 3.088 | -7.867 | -4.727 | 3.139 | -7.941 | -6.889 | 1.052 |
6 | -4.855 | -1.841 | 3.014 | -7.601 | -4.567 | 3.034 | -7.535 | -6.745 | 0.790 |
7 | -4.856 | -1.914 | 2.942 | -7.359 | -4.415 | 2.944 | -7.213 | -6.596 | 0.616 |
12* | -4.246 | -2.514 | 1.732 | -6.131 | -4.335 | 1.796 | -6.030 | -5.535 | 0.495 |
Poly(3-Ethylthiophene) | |||||||||
1 | -5.590 | -0.193 | 5.397 | -11.727 | -5.961 | 5.766 | -11.775 | -9.336 | 2.439 |
2 | -5.082 | -0.944 | 4.138 | -9.769 | -5.415 | 4.355 | -10.550 | -8.077 | 2.472 |
3 | -4.879 | -1.344 | 3.535 | -8.782 | -5.108 | 3.673 | -9.338 | -7.434 | 1.904 |
4 | -4.781 | -1.586 | 3.195 | -8.171 | -4.882 | 3.288 | -8.464 | -7.032 | 1.431 |
5 | -4.727 | -1.740 | 2.987 | -7.744 | -4.696 | 3.048 | -7.860 | -6.756 | 1.104 |
6 | -4.710 | -1.821 | 2.889 | -7.434 | -4.511 | 2.923 | -7.419 | -6.563 | 0.856 |
7 | -4.689 | -1.904 | 2.785 | -7.182 | -4.384 | 2.798 | -7.088 | -6.399 | 0.689 |
Poly(3-Butylthiophene) | |||||||||
1 | -5.604 | -0.204 | 5.400 | -11.508 | -5.865 | 5.643 | -11.537 | -9.246 | 2.291 |
2 | -5.099 | -1.034 | 4.066 | -9.674 | -5.394 | 4.281 | -10.340 | -8.003 | 2.337 |
3 | -4.899 | -1.420 | 3.479 | -8.703 | -5.086 | 3.617 | -9.218 | -7.363 | 1.855 |
4 | -4.795 | -1.637 | 3.158 | -8.096 | -4.847 | 3.249 | -8.365 | -6.964 | 1.402 |
5 | -4.733 | -1.756 | 2.977 | -7.676 | -4.633 | 3.043 | -7.780 | -6.691 | 1.089 |
Poly(3-Hexylthiophene) | |||||||||
1 | -5.595 | -0.196 | 5.399 | -10.914 | -5.796 | 5.118 | -10.918 | -9.188 | 1.730 |
2 | -5.088 | -1.023 | 4.065 | -9.618 | -5.347 | 4.271 | -10.173 | -7.956 | 2.217 |
3 | -4.886 | -1.408 | 3.478 | -8.654 | -5.041 | 3.613 | -9.163 | -7.316 | 1.847 |
4 | -4.785 | -1.627 | 3.158 | -8.049 | -4.803 | 3.246 | -8.319 | -6.917 | 1.402 |
Poly(3-Octylthiophene) | |||||||||
1 | -5.590 | -0.191 | 5.399 | -10.256 | -5.721 | 4.536 | -10.229 | -9.136 | 1.094 |
2 | -5.063 | -0.999 | 4.064 | -9.566 | -5.309 | 4.257 | -9.765 | -7.917 | 1.848 |
3 | -4.868 | -1.389 | 3.479 | -8.635 | -5.001 | 3.634 | -9.151 | -7.291 | 1.860 |
4 | -4.764 | -1.613 | 3.151 | -8.030 | -4.770 | 3.260 | -8.312 | -6.892 | 1.420 |
Poly(3-Decylthiophene) | |||||||||
1 | -5.588 | -0.189 | 5.399 | -10.009 | -5.665 | 4.344 | -9.965 | -9.102 | 0.864 |
2 | -5.081 | -0.985 | 4.096 | -9.502 | -5.302 | 4.200 | -9.545 | -7.910 | 1.635 |
3 | -4.872 | -1.371 | 3.500 | -8.625 | -4.996 | 3.629 | -9.132 | -7.282 | 1.851 |
Poly(3-Dodecylthiophene) | |||||||||
1 | -5.599 | -0.026 | 5.573 | -9.734 | -5.066 | 4.668 | -9.555 | -9.049 | 0.506 |
2 | -5.079 | -0.983 | 4.096 | -9.032 | -5.283 | 3.748 | -9.031 | -7.919 | 1.112 |
3 | -4.872 | -1.395 | 3.478 | -8.610 | -4.610 | 3.633 | -8.937 | -7.276 | 1.661 |
aНейтральный полимер с ароматической конформацией, bполимер с центральным поляроном с хиноидной конформацией, зарядом +e и спином S = +1/2, cполимер с центральным поляроном с хиноидной конформацией, зарядом +1 и спином S = −1/2.
, (1)
где a0 − значение искомого параметра при бесконечной длине полимера, т.е. в пределе n → ∞, b и c – коэффициенты. Из приведенного рисунка следует, что верхняя и нижняя зависимости Eg(n) олигомера P3HyT следуют закону (1) с a0 = 2.078 эВ, b = 5.886 эВ, c = 1.671 и a0 = 0.347 эВ, b = 5.029 эВ, c = 3.153 соответственно. Показанные сплошными линиями верхняя и нижняя зависимости, рассчитанные из уравнения (1) с a0 = 2.761 эВ, b = 5.447 эВ, c = 1.669 и a0 = 0.050 эВ, b = 4.003 эВ, c = 3.650, также хорошо описывают усредненные данные, полученные для остальных P3AT при обеих ориентациях их спинов. Величины a0, полученные для изученных P3AT, лежат вблизи таковых, рассчитанных для P3HyT (2.20 эВ) [15] и полученных экспериментально для региорегулярных P3HxT (1.90−2.07 эВ) [17−19], P3OcT (1.92 эВ) и P3DeT (1.93 эВ) [18].
Таким образом, анализ полученных данных показывает, что повышение степени полимеризации приводит к экспоненциальному сужению запрещенной зоны сопряженных полимеров. Однако замещение атомов водорода в третьей позиции алкильными цепочками приводит к обратному эффекту. Это может предоставить возможность реализовать контроль и управление процессами переноса заряда в полимерных молекулярных устройствах.
Распределение спиновой и зарядовой плотностей в олигомерах поли(3-алкилтиофенов)
Расчеты показали, что образование подвижного полярона на цепи P3HyT с хиноидной конформацией приводит не только к уменьшению ширины запрещенной зоны полимера, но и к уменьшению диэдрального/торсионного угла S−C=C−S между мономерами, а также угла −C−S−C− каждого мономера. Такие структурные изменения улучшают электронные параметры полимера и молекулярных устройств на его основе. ной матрицы. Ранее [16] было обнаружено равномерное распределение спиновой и зарядовой плотностей на всех составляющих атомах в пределах полярона указанного соединения. Замена атомов водорода в 3-м положении P3AT на углеводородные группы существенно изменяет свойства полимерного олигомера. Наиболее наглядно это демонстрирует анализ изменений локальных спиновых и электронных свойств при переходе от P3HyT олиго12мера к P3MeT.
Электронная плотность и спиновая популяция на каждом атоме водорода, серы и углерода олиго12мера P3MeT, расположенных вдоль его главной молекулярной х-оси, продемонстрированы на рис. 3, на котором каждая точка относится к соответствующим атомам водорода, серы и углерода, составляющих указанные соединения. Для сравнения там же пунктирными линиями показаны соответствующие параметры, полученные для атомов серы олиго12мера P3HyT. Как и в случае P3HyT, представленные данные свидетельствуют о равномерном распределении заряда на большинстве атомов P3MeT. Характер такого распределения также свидетельствует о наличии в центральной части олигомера полярона с характерной протяженностью около семи мономеров. Этот параметр близок к таковому, полученному экспериментально при исследовании этого полимера методом ЭПР [20] и двойного электронно-ядерного резонанса (ДЭЯР) [21].
Рис. 3. Относительное изменение зарядовой (a, в, д) и спиновой (б, г, е) плотностей на ядрах водорода 1H (окружности), серы 32S (треугольники) и углерода 12C (квадраты), расположенных вдоль главной х-оси в пределах полярона окисленного олиго12мера поли(3-метилтиофена) (схематически приведенного сверху), оптимизированного в рамках формализма/теории функционала плотности, рассчитанные по методу Малликена в среде программы Orca по процедуре, описанной в Методическом разделе. Для сравнения на (в, г) открытыми треугольниками приведены соответствующие параметры, ранее рассчитанные для атомов серы олиго12мера P3HyT [16]
С другой стороны, из анализа представленных на рис. 3 данных можно сделать заключение о неравномерном распределении спиновой плотности на всех ядрах полярона. Анализ более простой зависимости этого параметра на ядрах 32S, изображенной на рис. 3г, показал, что она состоит по крайней мере из двух вкладов: широкого, соответствующего, по-видимому, подвижным поляронам, а также узкой Гауссовой линии менее подвижных поляронов. Существование второго типа носителей можно объяснить, например, локальным пиннингом части топологических искажений вследствие специфичности их образования, релаксации и взаимосвязи со своим пластичным микроокружением, аналогично тому, как это реализуется в некоторых других сопряженных соединениях пониженной размерности [22]. Это может служить причиной перераспределения эффективной спиновой плотности вдоль главной молекулярной х-оси полярона. Необходимо отметить, что существование такого эффекта в P3MeT олиго12мере было многократно перепроверено в настоящей работе. Его точная интерпретация возможна при дальнейшем исследовании такого полимера с перебором всех его боковых заместителей с использованием соответствующего оборудования. Тем не менее полученные в настоящей работе данные свидетельствуют о возможной применимости предложенной процедуры для проведения точного контроля на атомарном уровне структурных, конформационных, электронных и спиновых параметров различных систем на основе органических сопряженных полимеров.
ТФП/DFT расчет параметров спинового гамильтониана олигомеров поли(3-алкилтиофенов)
Спиновое состояние и взаимодействие поляронов со своим микроокружением в полимерных донорно-акцепторных системах описываются основными параметрами спинового гамильтониана, константой сверхтонкого взаимодействия (HFC), а также g-фактором Ланде/Landé. В табл. 2 представлены главные значения тензоров сверхтонкого взаимодействия спинов поляронов с атомами 1H, А и фактора Ланде взаимодействия спинов поляронов с внешним магнитным полем, g, а также их усредненные/изотропные значения, Aiso и giso соответственно, рассчитанные для спиновых носителей заряда в изученных окисленных олигомерах поли(3-алкилтиофенов). Анализ приведенных данных может свидетельствовать о зависимости обоих тензоров спинового гамильтониана олигомеров от их структуры боковых алкильных заместителей и степени полимеризации n. На рис. 4 представлены зависимости параметров Aiso и giso изученных олигомеров от числа n их мономерных единиц. Приведенные зависимости также могут быть аппроксимированы уравнением (1). Действительно, представленные на рисунке параметры, рассчитанные для поляронов олигомера P3HyT, изменяются по указанному экспоненциальному закону с a0 = 0.471 MHz, b = 83.62 MHz, c = 1.17 и a0 = 2.00162, b = 8.71×10-4, c = 5.31 соответственно, в то время как те же параметры остальных P3AT следуют уравнению (1) с усредненными коэффициентами a0 = 1.873 MHz, b = 81.31 MHz, c = 0.976 и a0 = 2.00189, b = 6.41×10-4, c = 2.79 соответственно (рис. 4). Это является свидетельством усиления HFC и увеличения магнитного момента поляронов вследствие замены протонов P3AT в третьем положении соответствующими алкильными заместителями.
Таблица 2. Главные значения тензоров сверхтонкого взаимодействия атомов 1H, Аi (в МГц), g-фактора Ланде взаимодействия спинов поляронов с внешним магнитным полем, а также их усредненные/изотропные значения, Aiso и giso соответственно, рассчитанные для окисленных олигомеров поли(3-алкилтиофенов) с разным числом мономеров n в среде пакета Orca согласно процедуре, описанной в Методическом разделе
n | Ax | Ay | Az | Aiso | gxx | gyy | gzz | giso |
Poly(3-Hydrothiophene) | ||||||||
1 | 34.826 | 32.965 | 37.999 | 35.263 | 2.001279 | 2.002066 | 2.002730 | 2.002025 |
2 | 14.877 | 12.252 | 14.206 | 13.778 | 2.003815 | 2.002006 | 2.000769 | 2.002197 |
3 | 7.172 | 5.460 | 6.109 | 6.247 | 2.002979 | 2.002012 | 2.001398 | 2.002130 |
4 | 4.219 | 2.028 | 2.521 | 2.923 | 2.003111 | 2.002021 | 2.001000 | 2.002044 |
5 | 2.632 | 0.491 | 0.562 | 1.228 | 2.002906 | 2.002014 | 2.000970 | 2.001963 |
6 | 1.704 | -0.328 | -0.478 | 0.299 | 2.002944 | 2.002007 | 2.000741 | 2.001898 |
7 | 1.168 | -0.743 | -1.021 | -0.199 | 2.002857 | 2.001999 | 2.000651 | 2.001836 |
8 | 0.819 | -0.968 | -1.313 | -0.487 | 2.002867 | 2.001993 | 2.000528 | 2.001796 |
9 | 0.590 | -1.081 | -1.451 | -0.647 | 2.002835 | 2.001975 | 2.000488 | 2.001766 |
10 | 0.431 | -1.133 | -1.505 | -0.736 | 2.002854 | 2.001930 | 2.000443 | 2.001742 |
11 | 0.332 | -1.134 | -1.502 | -0.768 | 2.002835 | 2.001933 | 2.000443 | 2.001736 |
12 | 0.270 | -1.178 | -1.524 | -0.811 | 2.00283 | 2.00191 | 2.00043 | 2.001723 |
Poly(3-Methylthiophene) | ||||||||
1 | 30.508 | 31.452 | 38.383 | 33.448 | 2.003308 | 2.002041 | 2.001236 | 2.002195 |
2 | 12.618 | 12.401 | 15.871 | 13.630 | 2.003305 | 2.002002 | 2.001172 | 2.002160 |
3 | 6.861 | 6.405 | 8.530 | 7.265 | 2.002972 | 2.002004 | 2.001382 | 2.002119 |
4 | 4.355 | 3.866 | 5.339 | 4.520 | 2.003060 | 2.001993 | 2.001157 | 2.002070 |
5 | 3.083 | 2.620 | 3.736 | 3.146 | 2.002985 | 2.001961 | 2.001115 | 2.002020 |
6 | 2.417 | 1.992 | 2.894 | 2.434 | 2.002977 | 2.001916 | 2.000967 | 2.001953 |
7 | 1.953 | 1.566 | 2.320 | 1.946 | 2.002946 | 2.001946 | 2.000947 | 2.001946 |
Poly(3-Ethylthiophene) | ||||||||
1 | 27.088 | 27.304 | 32.247 | 28.880 | 2.002888 | 2.002034 | 2.001358 | 2.002093 |
2 | 9.541 | 9.548 | 11.644 | 10.245 | 2.003282 | 2.002016 | 2.001110 | 2.002136 |
3 | 4.643 | 4.400 | 5.742 | 4.928 | 2.002964 | 2.002088 | 2.001295 | 2.002116 |
4 | 2.660 | 2.449 | 3.194 | 2.768 | 2.003035 | 2.002026 | 2.001113 | 2.002058 |
5 | 1.683 | 1.545 | 1.914 | 1.714 | 2.002966 | 2.001949 | 2.001038 | 2.001984 |
6 | 1.179 | 0.934 | 1.315 | 1.143 | 2.002980 | 2.001946 | 2.000991 | 2.001972 |
7 | 1.331 | 1.105 | 1.479 | 1.306 | 2.002953 | 2.001944 | 2.001006 | 2.001968 |
Poly(3-Butylthiophene) | ||||||||
1 | 17.260 | 17.312 | 20.399 | 18.324 | 2.003063 | 2.001961 | 2.001322 | 2.002115 |
2 | 5.769 | 5.511 | 7.394 | 6.225 | 2.003443 | 2.002091 | 2.001130 | 2.002221 |
3 | 2.700 | 2.609 | 3.539 | 2.949 | 2.003445 | 2.002065 | 2.000959 | 2.002156 |
4 | 1.527 | 1.477 | 1.968 | 1.657 | 2.003221 | 2.002016 | 2.000959 | 2.002065 |
Poly(3-Hexylthiophene) | ||||||||
1 | 13.143 | 14.242 | 15.419 | 14.268 | 2.003134 | 2.001991 | 2.001333 | 2.002153 |
2 | 4.331 | 4.114 | 5.632 | 4.692 | 2.003448 | 2.002072 | 2.001140 | 2.002220 |
3 | 2.017 | 1.861 | 2.716 | 2.180 | 2.003450 | 2.002063 | 2.000966 | 2.002160 |
Poly(3-Octylthiophene) | ||||||||
1 | 9.909 | 10.424 | 11.088 | 10.474 | 2.003195 | 2.002008 | 2.001339 | 2.002181 |
2 | 3.172 | 3.027 | 4.079 | 3.426 | 2.003324 | 2.002109 | 2.001069 | 2.002167 |
3 | 1.598 | 1.469 | 2.057 | 1.708 | 2.002896 | 2.002107 | 2.001296 | 2.002099 |
Poly(3-Decylthiophene) | ||||||||
1 | 9.068 | 9.454 | 9.966 | 9.496 | 2.003258 | 2.002058 | 2.001358 | 2.002225 |
2 | 2.875 | 2.735 | 3.785 | 3.131 | 2.003325 | 2.002110 | 2.001071 | 2.002169 |
Poly(3-Dodecylthiophene) | ||||||||
1 | 5.889 | 5.609 | 5.810 | 5.770 | 2.003601 | 2.002330 | 2.001646 | 2.002526 |
2 | 2.474 | 2.349 | 3.263 | 2.695 | 2.003500 | 2.002050 | 2.001186 | 2.002245 |
* Главные значения A- и g-тензоров могут не совпадать.
Рис. 4. Зависимость изотропных константы спин-спинового сверхтонкого взаимодействия, Aiso, и g-фактора, giso, поляронных носителей заряда, инициированных на цепях олигомеров P3HyT (1), P3MeT (2), P3EtT (3), P3BuT (4), P3HxT (5), P3OcT (6), P3DeT (7) и P3DoT (8) от числа их мономерных единиц n и длины m их алкильных заместителей, оптимизированных и рассчитанных в среде программного пакета Orca согласно процедуре, описанной в Методическом разделе. Во вставке представлены спектры ЭПР D-диапазона поляронов, рассчитанные с использованием программы EasySpin и констант Aiso и giso указанных олигомеров, собранных в табл. 2. Верхней и нижней сплошными линиями показаны зависимости, рассчитанные из уравнения (1) с a0 = 2.00162, b = 8.71 · 10-4, c = 5.31 и a0 = 0.471 MHz, b = 83.62 MHz, c = 1.17 соответственно, а пунктирными верхней и нижней линиями показаны зависимости, рассчитанные из того же уравнения с a0 = 2.00189, b = 6.41×10-4, c = 2.79 и a0 = 1.873 MHz, b = 81.31 MHz, c = 0.976 соответственно
Анизотропные константы HFC и g-фактор, полученные для изученных олигомеров P3AT в пределе n → ∞, были затем использованы при вычислении их спектров ЭПР высокого разрешения D-диапазона (νe = 140 ГГц, B0= 4996 мТл) этих соединений с использованием программного пакета EasySpin. При этом учитывалась разная природа уширения спектров этих соединений. Как известно, уширение спектров может возникать за счет различных динамических и статических эффектов, возникающих вследствие ориентационного беспорядка и/или неразрешенного HFC. Такие эффекты инициируются структурными изменениями микроокружения поляронов, инициированных в неупорядоченной системе, и поэтому зависят от ориентации полярона относительно внешнего магнитного поля. Поэтому при расчете спектров ЭПР изученных соединений были использованы соответствующие тензоры A и g, характеризующееся т.н. B- и g-уширениями (B- and g-strains). Например, при вычислении ЭПР спектра хиноидного конформера олиго12мерного P3HyT были использованы матрицы [0.270 1.178 1.524] МГц и [0.0005 0.0004 0.0005] соответственно. Спектры ЭПР, рассчитанные для некоторых олигомеров Р3АТ с использованием данных, обобщенных в табл. 2, также представлены на вкладке рис. 4. Из приведенного рисунка следует монотонное уменьшение обоих параметров Aiso и giso изученных олигомеров при увеличении длины их боковых алкильных заместителей m и числа мономеров n. Однако такая монотонность не прослеживается в изменении формы спектров ЭПР этих соединений. Такое расхождение может быть результатом разной конформации их мономеров и, таким образом, разной конфигурации и/или плотности спинового облака их носителей заряда, происходящих в случае усиления межмолекулярного взаимодействия в реальных полимерах и их композитах. Рассчитанные магнитно-резонансные параметры отличаются от таковых, рассчитанных и полученных экспериментально для графена [23], тем не менее они оказались близки к определенным экспериментально для исходных и модифицированных P3AT [12, 18, 24−27].
Расчет структурных и магнитных свойств олигомеров поли(3-алкилтиофенов), модифицированных молекулами полициклических ароматических углеводородов
Предварительные исследования показали [8, 9], что добавки малых молекул с π-сопряженной структурой существенно улучшают структурные и электронно-динамические свойства полимерных композитов. Оказалось, что такие добавки играют роль точек роста кристаллической фазы полимерной матрицы композитов, что уменьшает количество инициированных в ней спиновых ловушек и вероятность рекомбинации спиновых носителей заряда. Ниже приведены результаты исследования возможности использования дополнительного контроля такими параметрами изученных олигомеров при использовании более протяженных Q1D полиаценов и Q2D графено-подобных полиароматических углеводородов.
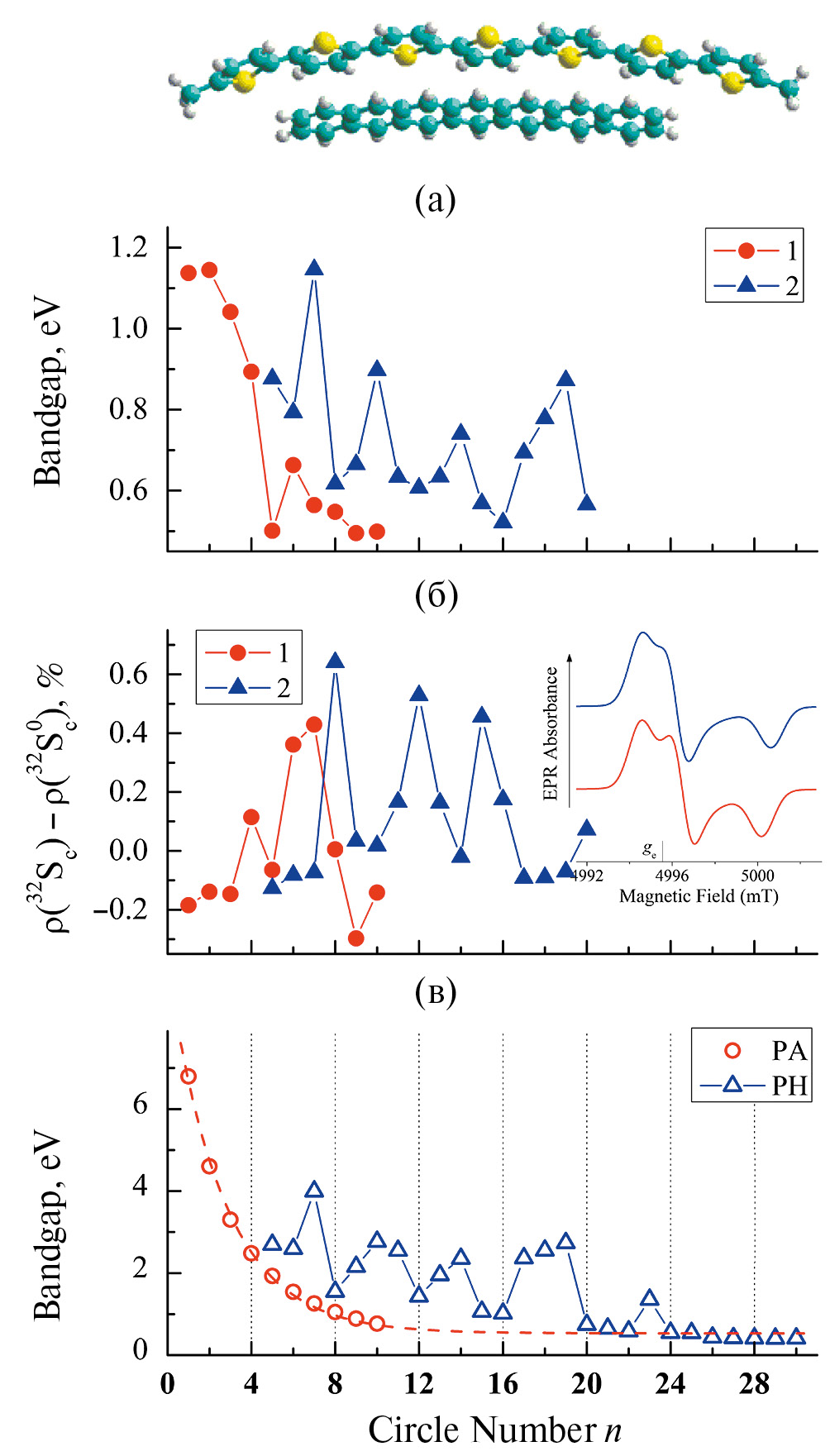
В табл. 3 представлены основные энергетические параметры, HOMO, LUMO, и Eg, рассчитанные для композитов олиго7меров P3HyT и P3MeT с полициклическими ароматическими добавками PA и PH с разным числом бензольных колец n (см. рис. 1) при обеих ориентациях спина инициированного в них полярона относительно внешнего магнитного поля. Аналогичные параметры нейтральных добавок приведены в табл. 4. На рис. 4a в качестве примера показано изменение ширины запрещенной зоны композита P3HyT в зависимости от числа n обоих полициклических добавок. Из приведенных данных видно, что величина Eg олигомера ожидаемо монотонно уменьшается в случае его комплекса с РА при незначительном числе (2−3) его сопряженных колец. Ранее аналогичный эффект был зарегистрирован экспериментально при исследовании фотовольтаических комплексов на основе P3DoT [8, 9] и других сопряженных полимеров [28]. Поэтому вполне логично можно было бы ожидать дальнейшее монотонное уменьшение энергии Eg в пределе n → ∞. Однако это оказалось не так. Было обнаружено, что величина Eg композитов обоих олиго7меров, содержащих добавки PA и PH, изменяется переменчивым образом при n > 3 и обоих ориентациях спина полярона относительно направления внешнего магнитного поля. Необходимо отметить более выраженное проявление такого эффекта при использовании P3HyT в качестве матрицы композита и PH в качестве Q2D нанодобавки. Анализируя полученные данные, представленные на рис. 5a, можно заметить наличие специфической периодичности изменения функции Eg(n) c “периодом”, близким к Δn ≈ 4. Указанный “эффект” несколько снижается в комплексах с олигомером P3MeT в качестве матрицы. Незначительная девиация экстремумов указанной зависимости может быть вызвана разбросом ориентаций плоскостей полимерных цепей и добавок, а также структурной молекулярной асимметрией молекул PH. Можно предпринять попытку поиска возможной взаимосвязи структурных, электронных и спиновых параметров исследуемых комплексов. На рис. 5б приведены изменения спиновой плотности на атомах серы, ρ(32Sc) − ρ(32Sc0), этого же комплекса при варьировании числа сопряженных колец n полициклических ароматических добавок PA и PH. Выбор этого параметра для такого анализа обусловлен большей простотой его дальнейшей интерпретации из-за наименьшего взаимодействия атомов серы со своим микроокружением. Действительно, если бы спин полярона взаимодействовал с ядром серы, аналогично тому, как это реализуется, например, в бензо-1,2,3-тритиольных катион-радикалах, то g-фактор соответствующего соединения оказался бы равным gs = 2.0144−2.0197 [29], что существенно выше аналогичного параметра спиновых носителей заряда исследованных олигомеров и других органических соединений. Анализ изменения спиновой плотности на атомах серы композита также обнаружил ее нетривиальную зависимость от размера обоих нанодобавок. Композит также характеризуется приблизительно эквидистантными экстремумами зависимостей параметра ρ(32Sc) от величины n с расстоянием между ними Δn ≈ 4. Однако “экстремумы” указанной зависимости не совпадают с таковыми Eg(n). На рис. 5в приведены зависимости ширины запрещенной зоны нанодобавок PA и PH. Как известно, у Q2D графена априори отсутствует запрещенная зона, то есть Eg = 0 при n → ∞. Однако между валентной зоной и зоной проводимости некоторых графено-подобных Q2D пленок ограниченного размера может образовываться запрещенная зона шириной, типичной для диэлектриков и широкозонных полупроводников. Например, величина Eg оксида графена в зависимости от глубины модификации может изменяться в пределах 1.7−2.7 эВ [30]. Кроме того, этот параметр может становиться отличным от нуля при изменении Q2D образца до конфигурации “кресло”. Экстраполяция этого параметра PA дает Eg = 0.53 эВ при n → ∞ (см. рис. 5в), то есть конфигурация принимает промежуточное значение. Интересным оказался факт изменения Eg(n) изолированных молекул PH с периодичностью около 4 фенильных колец, возможно, вследствие их Q2D-структурной вырожденности, проявление которой не было отмечено в случае Q1D молекул PA. Отметим, что в настоящей работе проявление описанных необычных эффектов было подтверждено несколькими повторными расчетами.
Таблица 3. Параметры HOMO, LUMO и Eg (все в эВ), рассчитанные для исходных олиго7меров поли(3-гидротиофена) и поли(3-метилтиофена) (Init), а также модифицированных добавками (Adds) π-сопряженных полиаценов (PAn) и полициклических ароматических углеводородов (PHn) с разным числом бензольных колец n, рассчитанные в среде пакета Orca согласно процедуре, описанной в Методическом разделе
Adds | HOMOa | LUMOa | Ega | HOMOb | LUMOb | Egb | HOMOa | LUMOa | Ega | HOMOb | LUMOb | Egb |
Poly(3-Hydrothiophene) | Poly(3-Methylthiophene) | |||||||||||
Init | -6.961 | -5.132 | 1.829 | -7.194 | -6.075 | 1.118 | -6.672 | -4.810 | 1.862 | -6.900 | -5.772 | 1.128 |
PA1 | -6.918 | -5.095 | 1.823 | -7.163 | -6.025 | 1.137 | -6.637 | -4.779 | 1.858 | -6.876 | -5.732 | 1.144 |
PA2 | -6.875 | -5.064 | 1.812 | -7.131 | -5.986 | 1.145 | -6.609 | -4.760 | 1.850 | -6.860 | -5.703 | 1.157 |
PA3 | -6.867 | -5.053 | 1.818 | -7.012 | -5.971 | 1.041 | -6.593 | -4.749 | 1.844 | -6.841 | -5.688 | 1.153 |
PA4 | -6.712 | -4.992 | 1.720 | -6.792 | -5.899 | 0.893 | -6.530 | -4.724 | 1.806 | -6.665 | -5.657 | 1.008 |
PA5 | -6.409 | -5.008 | 1.401 | -6.400 | -5.894 | 0.506 | -6.346 | -4.753 | 1.594 | -6.342 | -5.656 | 0.686 |
PA6 | -6.562 | -4.890 | 1.672 | -6.472 | -5.809 | 0.663 | -6.398 | -4.652 | 1.747 | -6.366 | -5.587 | 0.779 |
PA7 | -6.383 | -4.912 | 1.470 | -6.387 | -5.823 | 0.564 | -6.338 | -4.638 | 1.699 | -6.262 | -5.574 | 0.688 |
PA8 | -6.375 | -4.881 | 1.494 | -6.332 | -5.785 | 0.547 | -6.285 | -4.617 | 1.669 | -6.271 | -5.550 | 0.720 |
PA9 | -6.329 | -4.870 | 1.459 | -6.258 | -5.763 | 0.495 | -6.256 | -4.597 | 1.659 | -6.257 | -5.539 | 0.718 |
PA10 | -6.286 | -4.860 | 1.426 | -6.257 | -5.759 | 0.498 | -6.017 | -5.467 | 0.550 | -6.250 | -4.976 | 1.274 |
PH5 | -6.810 | -4.998 | 1.813 | -6.798 | -5.921 | 0.877 | -6.602 | -4.700 | 1.902 | -6.758 | -5.713 | 1.044 |
PH6 | -6.737 | -4.987 | 1.750 | -6.728 | -5.934 | 0.793 | -6.542 | -4.700 | 1.842 | -6.690 | -5.638 | 1.052 |
PH7 | -6.811 | -4.988 | 1.822 | -7.059 | -5.913 | 1.146 | -6.559 | -4.693 | 1.865 | -6.786 | -5.649 | 1.137 |
PH8 | -6.514 | -5.085 | 1.429 | -6.405 | -5.788 | 0.617 | -6.369 | -4.700 | 1.669 | -6.357 | -5.637 | 0.719 |
PH9 | -6.564 | -4.958 | 1.606 | -6.547 | -5.882 | 0.665 | -6.459 | -4.667 | 1.792 | -6.454 | -5.623 | 0.831 |
PH10 | -6.774 | -4.987 | 1.787 | -6.780 | -5.883 | 0.897 | -6.540 | -4.670 | 1.870 | -6.718 | -5.631 | 1.087 |
PH11 | -6.497 | -4.884 | 1.613 | -6.462 | -5.828 | 0.634 | -6.488 | -4.633 | 1.855 | -6.638 | -5.591 | 1.047 |
PH12 | -6.464 | -4.972 | 1.492 | -6.380 | -5.774 | 0.607 | -6.204 | -4.750 | 1.454 | -6.190 | -5.581 | 0.609 |
PH13 | -6.497 | -4.884 | 1.613 | -6.462 | -5.827 | 0.635 | -6.352 | -4.638 | 1.714 | -6.352 | -5.592 | 0.760 |
PH14 | -6.583 | -4.920 | 1.663 | -6.584 | -5.843 | 0.740 | -6.508 | -4.641 | 1.867 | -6.551 | -5.590 | 0.961 |
PH15 | -6.349 | -4.877 | 1.472 | -6.323 | -5.755 | 0.568 | − | − | − | − | − | − |
PH16 | -6.323 | -4.843 | 1.480 | -6.311 | -5.790 | 0.521 | − | − | − | − | − | − |
PH17 | -6.542 | -4.944 | 1.598 | -6.534 | -5.840 | 0.694 | − | − | − | − | − | − |
PH18 | -6.620 | -4.939 | 1.681 | -6.614 | -5.836 | 0.778 | − | − | − | − | − | − |
PH19 | -6.657 | -4.902 | 1.755 | -6.695 | -5.823 | 0.872 | − | − | − | − | − | − |
PH20 | -6.291 | -4.814 | 1.477 | -6.313 | -5.747 | 0.566 | − | − | − | − | − | − |
Таблица 4. Основные и усредненные/изотропные значения тензоров спин-спинового сверхтонкого взаимодействия A (все в МГц) и g-тензоров, рассчитанные для некоторых исходных олиго7меров поли(3-гидротиофена) (P3HyT) и поли(3-метилтиофена) (P3MeT), а также их комплексов (Complex) с полиаценами (PAn) с использованием пакета программ Orca по методике, описанной в Методическом разделе
Complex | Ax | Ay | Az | Aiso | gxx | gyy | gzz | giso |
P3HyT | 1.168 | -0.743 | -1.021 | -0.199 | 2.002857 | 2.001999 | 2.000651 | 2.001836 |
P3HyT:PA1 | 1.244 | -0.411 | -0.822 | 0.004 | 2.002746 | 2.002058 | 2.000272 | 2.001692 |
P3HyT:PA2 | 1.186 | -0.333 | -0.629 | 0.075 | 2.002745 | 2.002050 | 2.000318 | 2.001705 |
P3HyT:PA3 | 1.164 | -0.371 | -0.689 | 0.035 | 2.002756 | 2.002049 | 2.000320 | 2.001708 |
P3MeT | 1.953 | 1.566 | 2.320 | 1.946 | 2.002946 | 2.001946 | 2.000947 | 2.001946 |
P3MeT:PA1 | 1.293 | 0.827 | 0.897 | 1.005 | 2.002747 | 2.001948 | 2.000445 | 2.001713 |
Рис. 5. (a) Изменение ширины запрещенной зоны комплекса олиго7мера P3HyT:PA (1) и P3HyT:PH (2) в зависимости от числа фенильных колец n; (б) спиновая плотность на ядрах серы 32S в пределах протяженного полярона композитов P3HyT:PA (1) и P3HyT:PH (2) как функция n. На вкладке верхней и нижней линиями показаны спектры ЭПР D-диапазона комплексов P3HyT:PA1 и P3MeT:PA1 соответственно, рассчитанные с использованием данных табл. 4; (в) ширина запрещенной зоны ароматических Q1D РА и Q2D РН молекул в зависимости от числа их фенильных колец n. Пунктирной линией показана зависимость, рассчитанная из уравнения (1) с a0 = 0.532 эВ, b = 8.968 эВ и c = 2.647. В верхней части в качестве примера изображен структурно-оптимизированный комплекс P3HyT:PA7
Из анализа рис. 5 можно сделать ряд важных заключений. Во-первых, низкоразмерные ароматические добавки действительно влияют конфигурацию спиновой плотности центральных поляронов, и такое взаимодействие наиболее существенное в композитах на основе P3HyT. Указанный эффект объясняется экранированием π-взаимодействия молекулярных добавок с цепочками других олигомеров, боковые алкильные заместители которых играют роль ингибитора межмолекулярного взаимодействия. Во-вторых, как и в случае ширины запрещенной зоны, для изученных композитов также характерно специфическое “периодическое” изменение спиновой плотности ρ(32Sc) при варьировании числа фенильных колец n. Сопоставление данных, приведенных на рис. 5, позволяет сделать третий, главный вывод о скоррелированном изменении ширин запрещенных зон полимерных композитов и Q2D нанодобавок, а также об их антибатном поведении с параметром ρ(32Sc) полимерных композитов. Этот факт должен явно свидетельствовать о структурных и электронных перестроениях, инициированных в олигомерах такими нанодобавками с периодической молекулярной π-сопряженной структурой. Такая особенность может быть использована, например, при разработке молекулярных спинтронных линейных (при малых значениях n) и селективных (при n ≥ 4) сенсоров и фильтров со спин-зависимой внешней регулировкой электронных параметров.
В табл. 4 приведены главные значения A- и g-тензоров, а также их изотропные значения Aiso, и giso, вычисленные для некоторых композитов, которые были использованы для расчета соответствующих спектров ЭПР в среде программного пакета EasySpin. На вкладке рис. 5б в качестве примера приведены спектры ЭПР D-диапазона композитов P3HyT:PA1 и P3MeT:PA1, рассчитанные с использованием полученных для них магнитно-резонансных параметров.
ЗАКЛЮЧЕНИЕ
В настоящей работе произведен расчет энергетических и спиновых параметров олигомеров P3AT с разными структурой, конформацией и спиновым состоянием полимерных цепей, а также их комплексов с различными ароматическими Q1D и Q2D полициклическими углеводородами. Полученные результаты позволили обнаружить экспоненциальное сужение запрещенной зоны олигомеров при увеличении степени полимеризации. Однако замещение атомов водорода в третьей позиции мономеров P3AT алкильными цепочками приводит к противоположному результату. Раздельно рассчитаны зарядовые и спиновые плотности на каждом атоме изученных олигомеров и их композитов. Идентифицирована локализация части спиновых топологических искажений вследствие специфичности их образования, релаксации и взаимодействия со своим микроокружением. Это позволило предположить сосуществование подвижных и захваченных поляронов в P3AT. Обнаружена взаимосвязь электронных и спиновых свойств композитов олигомеров с полиароматическими π-добавками с молекулярным строением последних. Показано, что взаимодействие Q1D-полимерных цепей с Q1D и Q2D нанодобавками инициирует молекулярную самоупорядоченность композита. Это позволяет контролировать его морфологию и тем самым его электронные и спиновые свойства. Обнаружено дискретное изменение указанных параметров при варьировании числа колец ароматических Q2D-добавок. Получены полные наборы анизотропных параметров спиновых гамильтонианов изученных олигомеров и их композитов при разных степенях их полимеризации, а также структурах их боковых алкильных заместителей и ароматических нанодобавок. Рассчитаны спектры ЭПР высокого разрешения этих соединений.
Предложенные в работе методы и подходы настройки структурных и электронных параметров могут стать ключевыми при исследовании широкого круга полимерных донорно-акцепторных соединений и построения на их основе различных высокопроизводительных наноэлектронных устройств со спин-зависимыми электронными параметрами на графеновых подложках.
ИСТОЧНИК ФИНАНСИРОВАНИЯ
Работа выполнена в рамках Государственного задания, номер Госрегистрации № АААА-А19-119032690060-9 / FFSG-2024-0010.
Об авторах
В. И. Криничный
Федеральный исследовательский центр проблем химической физики и медицинской химии Российской академии наук
Автор, ответственный за переписку.
Email: kivi@icp.ac.ru
Россия, Черноголовка
Список литературы
- Hu W., ed. Organic Optoelectronics. 2013, Wiley-VCH Verlag Weinheim. 507.
- Khalifeh S. Polymers in Organic Electronics. Polymer Selection for Electronic, Mechatronic, and Optoelectronic Systems. 1st - Toronto: ChemTec Publishing, 2020. 616.
- Szweda R., ed. Third Generation Solar Cells. 2023, Routledge, Taylor & Francis Group. 162.
- Ganesamoorthy R., Sathiyan G., Sakthivel P. // Sol. Energy Mater. Sol. Cells. 2017. V. 161. P. 102–148.
- Sauvé G. // The Chemical Record. 2019. V. 19. № 6. P. 1078–1092.
- Krinichnyi V.I. Multi Frequency EPR Spectroscopy of Conjugated Polymers and Their Nanocomposites. Boca Raton, FL: CRC Press Taylor & Francis Group, 2016. 314.
- Niklas J., Poluektov O.G. // Adv. Energy Mater. 2017. V. 7. № 10. P. 1602226.
- Krinichnyi V.I., Yudanova E.I., Denisov N.N., Bogatyrenko V.R. // Synth. Met. 2020. V. 267. P. 116462.
- Krinichnyi V.I., Yudanova E.I., Denisov N.N. // J. Phys. Chem. C. 2022. V. 126. № 9. P. 4495–4507.
- Neeze F. // WIREs Comput. Mol. Sci. 2012. V. 2. № 1. P. 73–78.
- Mulliken R.S. // J. Chem. Phys. 2004. V. 23. № 12. P. 2343–2346.
- Van Landeghem M., Maes W., Goovaerts E., Van Doorslaer S. // J. Magn. Reson. 2018. V. 288. P. 1–10.
- Hanwell M.D., Curtis D.E., Lonie D.C. et al. // J. Cheminform. 2012. V. 4. № 1. P. 17.
- Stoll S., Schweiger A. // J. Magn. Reson. 2006. V. 178. № 1. P. 42–55.
- Brédas J.L., Themans B., Fripiat J.G. et al. // Phys. Rev. B. 1984. V. 29. № 12. P. 6761–6773.
- Krinichnyi V.I. // High Energ. Chem. 2023. V. 58. № 1. P. 166–173.
- Kim D.H., Park Y.D., Jang Y.S. et al. // Adv. Funct. Mater. 2005. V. 15. № 1. P. 77–82.
- Sensfuss S., Al-Ibrahim M. Optoelectronic properties of conjugated polymer/fullerene binary pairs with variety of LUMO level differences // Organic Photovoltaics: Mechanisms, Materials, and Devices (Optical Engineering) Sun S.S., Sariciftci N.S. Boca Raton: CRC Press, 2005. P. 529–557.
- Enengl C., Enengl S., Pluczyk S. et al. // ChemPhysChem. 2016. V. 17. № 23. P. 3836–3844.
- Devreux F., Genoud F., Nechtschein M., Villeret B. On polaron and bipolaron formation in conducting polymers // Electronic Properties of Conjugated Polymers V. 76. Kuzmany H., Mehring M., Roth S. Berlin: Springer-Verlag, 1987. P. 270–276.
- Kuroda S., Marumoto K., Sakanaka T. et al. // Chem. Phys. Lett. 2007. V. 435. № 4–6. P. 273–277.
- Brazovskii S., Nattermann T. // Adv. Phys. 2004. V. 53. № 2. P. 177–252.
- Shrestha A., Higuchi K., Yoshida S., Higuchi M. // J. Appl. Phys. 2021. V. 130. № 12.
- Bernier P. The magnetic properties of conjugated polymers: ESR studies of undoped and doped systems // Handbook of Conducting Polymers, V. 2. Scotheim T.E. – New York: Marcel Dekker, Inc., 1986. P. 1099–1125.
- Aguirre A., Gast P., Orlinskii S. et al. // Phys. Chem. Chem. Phys. 2008. V. 10. № 47. P. 7129–7138.
- Konkin A., Ritter U., Scharff P. et al. // Synth. Met. 2010. V. 160. № 5–6. P. 485–489.
- Krinichnyi V.I. EPR spectroscopy of polymer:fullerene nanocomposites // Spectroscopy of Polymer Nanocomposites, Thomas S., Rouxel D., Ponnamma D. Amsterdam: Elsevier, 2016. P. 202–275.
- Krinichnyi V.I., Yudanova E.I., Denisov N.N. et al. // J. Phys. Chem. C. 2021. V. 125. № 22. P. 12224–12240.
- Krinichnyi V.I., Herrmann R., Fanghänel E. et al. // Appl. Magn. Reson. 1997. V. 12. № 2–3. P. 317–327.
- Jeong H.K., Jin M.H., So K.P. et al. // J. Phys. D: Appl. Phys. 2009. V. 42. № 6. P. 065418.
Дополнительные файлы







