Modeling of Kinetic Processes in an Analytical Gas Detector Based on Plasma Electron Spectroscopy
- Authors: Saifutdinov A.I.1, Sysoev S.S.2, Nuriddinov K.1, Valeeva D.R.1, Saiko A.M.1
-
Affiliations:
- Tupolev National Research Technical University—KAI
- St. Petersburg State University
- Issue: Vol 57, No 2 (2023)
- Pages: 149-155
- Section: PLASMA CHEMISTRY
- URL: https://ogarev-online.ru/0023-1193/article/view/140006
- DOI: https://doi.org/10.31857/S0023119323020122
- EDN: https://elibrary.ru/NHHCKA
- ID: 140006
Cite item
Full Text
Abstract
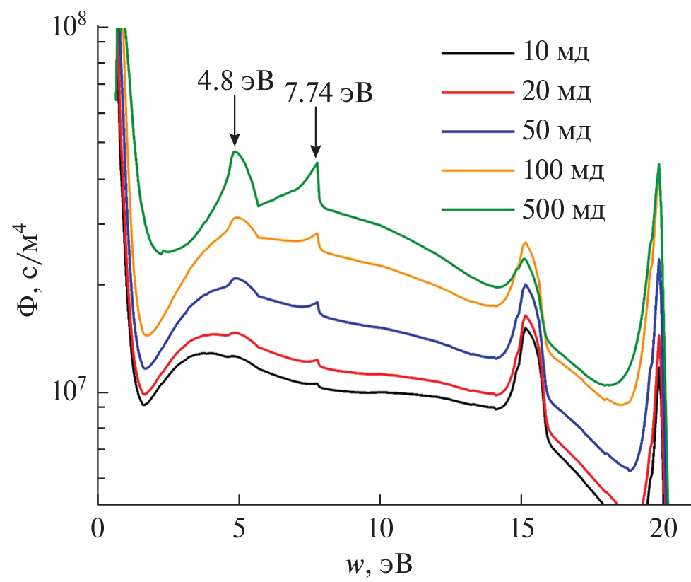
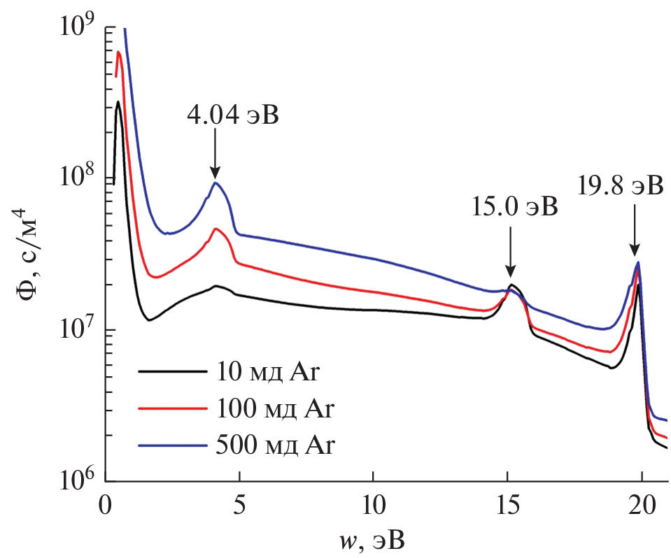
Numerical calculations based on a hybrid model of near-cathode plasma (negative glow) of a short glow discharge have been performed to describe processes occurring in a newly developed PLES (plasma electron spectroscopy) detector for gas chromatography. The formation of narrow peaks is demonstrated, which are the spectra of fast electrons generated by Penning ionization from atoms and molecules of helium impurities, such as Ar, N2, O2, and CO2.
About the authors
A. I. Saifutdinov
Tupolev National Research Technical University—KAI
Email: as.uav@bk.ru
Kazan, Russia
S. S. Sysoev
St. Petersburg State University
Email: as.uav@bk.ru
St. Petersburg, Russia
Kh. Nuriddinov
Tupolev National Research Technical University—KAI
Email: as.uav@bk.ru
Kazan, Russia
D. R. Valeeva
Tupolev National Research Technical University—KAI
Email: as.uav@bk.ru
Kazan, Russia
A. M. Saiko
Tupolev National Research Technical University—KAI
Author for correspondence.
Email: as.uav@bk.ru
Kazan, Russia
References
- Kumar A., Lin P. A., Xue A., Hao B., Yap K.Y. and Sankaran R.M. // Nature commun. 2013. 4. P. 2618.
- Kortshagen U.R., Sankaran R.M., Pereira R.N. et al. // Chem. Rev. 2016. V. 116. P. 11061–11127.
- Lin L and Wang Q // Plasma Chem. Plasma Process. 2015. V. 35. P. 925–962.
- Wang P.Y., Chen W.G., Wang J.X., Zhou F., Hu J., Zhang Z.X., and Wan F. // Anal. Chem. 2021. V. 93. P. 15474–15481.
- Gouma P., Prasad A., Stanacevic S.A. // J. Breath Res. 2011. V. 5. P. 037110.
- Čermák, V. // The Journal of Chemical Physics. 1966. V. 44. № 10. P. 3781–3786.
- Cermák V., Herman Z. // Chemical Physics Letters. 1968. V. 2. № 6. P. 359–362.
- Schmeltekopf A.L., Fehsenfeld F.C. // The Journal of Chemical Physics. 1970. V. 53. № 8. P. 3173–3177.
- Čermák V., Ozenne J.B. // International Journal of Mass Spectrometry and Ion Physics. 1971. 7(5). P. 399–413.
- Cermak V. // J . Electron. Spectr. and Relat. Phenomena. 1976. V. 9. P. 419.
- Demidov V.I., Kolokolov N.B. // Soviet Physics Journal 1987. 30(2). 97–99. https://doi.org/10.1007/bf00898142
- Kolokolov N.B., Kudrjavtsev A.A., Blagoev A.B. // Physica Scripta. 1994. 50(4). 371–402.
- Смирнов Б.М. // УФН. 1981. V. 133. № 4. P. 569–616.
- Демидов В.И., Колоколов Н.Б., Кудрявцев А.А., Зондовые методы исследования низкотемпературной плазмы // Энергоатомиздат, 1996.
- Кудрявцев А.А., Чирцов А.С., Цыганов А.Б. Способ определения состава газовых смесей и ионизационный детектор для анализа примесей в газах. 2011 – Патент на изобретения РФ № 2422812.
- Ivanov Yu.A., Lebedev Yu.A., Polak L.S. Metody kontaktnoi diagnostiki v neravnovesnoi plazmokhimii (Contact Diagnostics Methods for Non-Equilibrium Plasma Chemistry), M.: Nauka, 1981.
- Chen F.F. // Langmuir Probe Analysis for High Density Plasmas, LTP-006, Los Angeles, CA: Univ. of California, 2000.
- Rudenko K.V., Myakon’kikh A.V., Orlikovsky A.A. // Russ. Microelectron. 2007. V. 36. № 3. P. 179–192.
- Impedans Langmuir Probe Measurement System, Exploitation Manual. Accessed August 26, 2016.
- Saifutdinov A.I., Sysoev S.S. // Instrum. Exp. Tech. 2022. V. 65. P. 75–79.
- Kudryavtsev A., Pramatarov P., Stefanova M., Khromov N. // JINST 7. 2012. P. 07002.
- Stefanova M., Pramatarov P., Kudryavtsev A., Peyeva R. // J. Phys.: Conf. Ser. 2014 V. 514. P. 012052.
- Kudryavtsev A.A., Stefanova M.S., Pramatarov P. // J. Appl. Phys. 2015. V. 117. P. 133303.
- Kudryavtsev A.A., Stefanova M.S., Pramatarov P.M. // Phys. Plasmas. 2015. V. 22. P. 103513.
- Yuan C.X., Kudryavtsev A.A., Saifutdinov A.I. et al. // Phys. Plasmas. 2018. V. 25. P. 104501.
- Kudryavtsev A.A., Saifutdinov A.I., Stefanova M.S. et al. // Physics of Plasmas. 2017. V. 24. № 5. P. 054507.
- Zhou C., Yao J.F., Saifutdinov A.I. et al. // Plasma Sources Sci. Technol. 2021. 30. 117001.
- Yuan C., Kudryavtsev A., Saifutdinov A. et al. // Plasma Sources Science and Technology. 2019. 28. 067001.
- Saifutdinov A.I., Sysoev S.S. // Plasma Sources Sci. Technol. 2021. V. 30. 017001.
- Zhou Ch., Yao J., Saifutdinov A. et al. // Plasma Sources Science and Technology. 2022. V. 31. 107001.
- Кудрявцев А.А., Смирнов А.С., Цендин Л.Д. // Физика тлеющего разряда, СПб.: Лань, 2010, 512 с.
- Chai Y., Yao J., Bogdanov E.A., Kudryavtsev A.A., Yuan Ch., Zhou Zh. // Plasma Sources Sci. Technol. 2021. V. 30. P. 095006.
- Alves L.L., Gousset G., Ferreira C.M. // Physical Review E. 1997. V. 55(1). P. 890–906.
- Zobnin A.V., Usachev A.D., Petrov O.F., Fortov V.E. // Phys. Plasmas. 2014. V. 21. P. 113503.
- Phelps database, private communication, www.lxcat.net, retrieved on August 15, 2021.
- IST-Lisbon database, private communication, www.lxcat.net, retrieved on August 15, 2021.
Supplementary files







