Детекторы пламени на основе полупроводниковых нанокристаллов
- Авторы: Певцов Д.Н.1,2, Дёмкин Д.В.2, Кацаба А.В.2,3, Гадомская А.В.1
-
Учреждения:
- Федеральное государственное бюджетное учреждение науки Федеральный исследовательский центр проблем химической физики и медицинской химии Российской академии наук
- Федеральное государственное автономное образовательное учреждение высшего образования “Московский физико-технический институт (национальный исследовательский университет)”
- Федеральное государственное бюджетное учреждение науки Физический институт имени П.Н. Лебедева Российской академии наук
- Выпуск: Том 57, № 4 (2023)
- Страницы: 290-297
- Раздел: ФОТОНИКА
- URL: https://ogarev-online.ru/0023-1193/article/view/140002
- DOI: https://doi.org/10.31857/S0023119323040101
- EDN: https://elibrary.ru/QNZEBJ
- ID: 140002
Цитировать
Полный текст
Аннотация
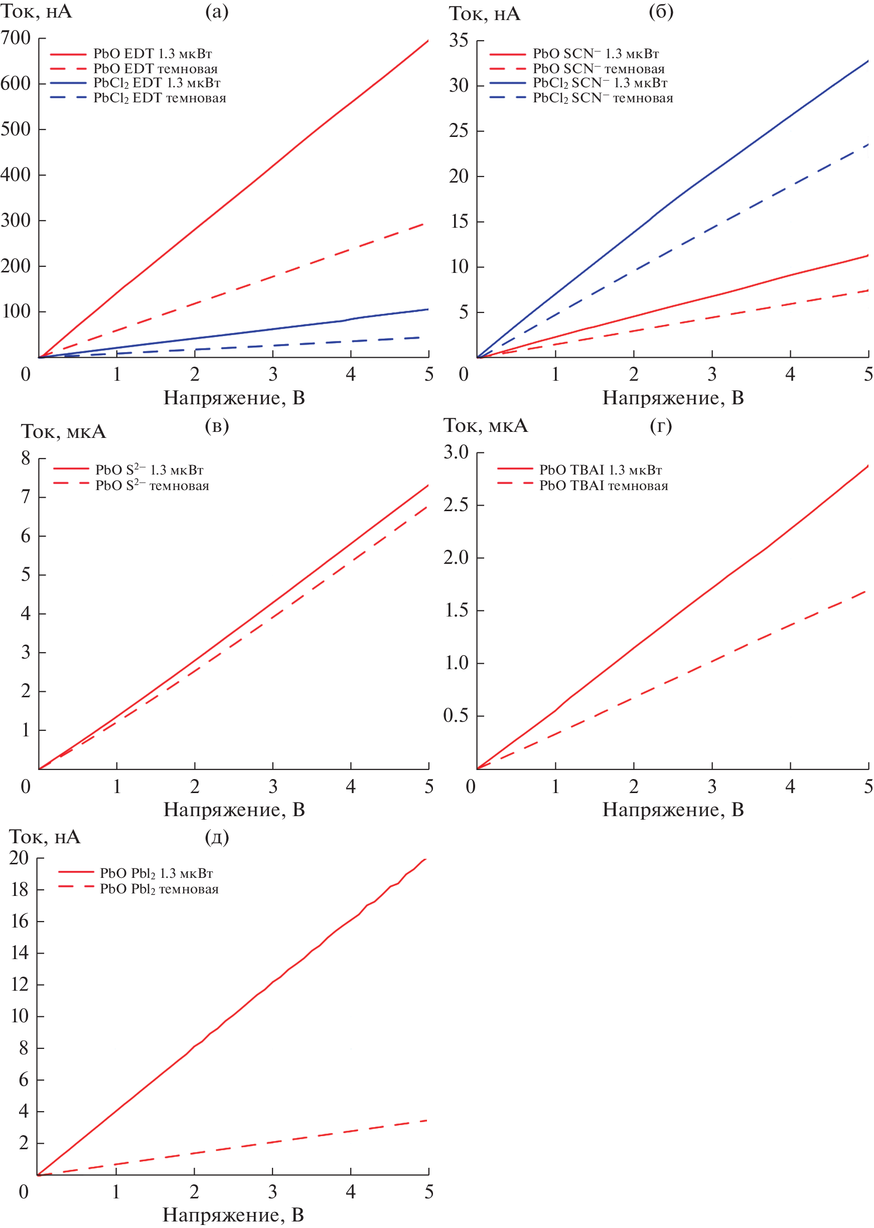
В работе рассмотрена возможность применения полупроводниковых нанокристаллов в фотодетекторах для оптической регистрации открытого пламени. Проведена конкретизация границ спектральной области чувствительности датчиков пламени. В соответствии с этим синтезированы коллоидные нанокристаллы сульфида свинца, поглощающие в диапазоне 1–1.5 мкм. Из полученных частиц изготовлены фоторезисторы с разным лигандным составом. Для полученных образцов измерены вольт-амперные характеристики и рассчитаны характеристики фоточувствительности и удельной обнаружительной способности. Сделана теоретическая оценка дальности обнаружения пламени для полученных образцов. Показано, что возможно уверенное детектирование фотосигнала на расстоянии более 80 м.
Ключевые слова
Об авторах
Д. Н. Певцов
Федеральное государственное бюджетное учреждение науки Федеральный исследовательский центр проблем химической физики и медицинской химии Российской академии наук; Федеральное государственное автономное образовательное учреждение высшего образования“Московский физико-технический институт (национальный исследовательский университет)”
Email: pevtsov.dn@phystech.edu
Россия, 142432, Московская область, Черноголовка, проспект ак. Семенова, 1; Россия, 141701, Московская обл., Долгопрудный, Институтский пер., д. 9
Д. В. Дёмкин
Федеральное государственное автономное образовательное учреждение высшего образования“Московский физико-технический институт (национальный исследовательский университет)”
Email: pevtsov.dn@phystech.edu
Россия, 141701, Московская обл., Долгопрудный, Институтский пер., д. 9
А. В. Кацаба
Федеральное государственное автономное образовательное учреждение высшего образования“Московский физико-технический институт (национальный исследовательский университет)”; Федеральное государственное бюджетное учреждение науки Физический институт имени П.Н. Лебедева Российской академии наук
Email: pevtsov.dn@phystech.edu
Россия, 141701, Московская обл., Долгопрудный, Институтский пер., д. 9; Россия, 119991, Москва, Ленинский проспект, д. 53
А. В. Гадомская
Федеральное государственное бюджетное учреждение науки Федеральный исследовательский центр проблем химической физики и медицинской химии Российской академии наук
Автор, ответственный за переписку.
Email: pevtsov.dn@phystech.edu
Россия, 142432, Московская область, Черноголовка, проспект ак. Семенова, 1
Список литературы
- Brushlinsky N.N., Ahrens M., Sokolov S.V., Wagner P. // World fire statistics. CTIF. 2022. № 27.
- Gaur A. et al. // “Fire Sensing Technologies: A Review” in IEEE Sensors Journal. 2019. 19 (9). P. 3191–3202.
- Piccardi A., Colace L. // Sensors. 2019. 19. 1360.
- Adrienne D. Stiff-Roberts // Journal of Nanophotonics. 2019. 3 (1). 031607.
- Yadav P.V.K. et al. //Chemosphere. 2019. 279. 130473.
- Екимов А.И., Онущенко А.А. // Письма в ЖЭТФ. 1981. №. 34. С. 363.
- Эфрос Ал.Л., Эфрос А.Л. // Физика и техника полупроводников. 1982. 16 (7). 1209–1214.
- Бричкин С.Б., Разумов В.Ф. // Успехи химии. 2016. 85: 12. 1297–1312.
- Christopher M. Evans et al. // Journal of Coordination Chemistry. 2012. 65: 13. 2391-2–414.
- Sokolova D. et al. // Infrared Physics & Technology. 2017. V. 123. 104188.
- Бричкин С.Б., Гак В.Ю., Спирин М.Г. // Химия высоких энергий. 2020. 54 (1). 43–53.
- Гак В.Ю., Гадомская А.В., Спирин М.Г. // Химия высоких энергий. 2022. 56 (2). 104–114.
- Nakotte T., Luo H., Pietryga J. // Nanomaterials. 2020. 10. 172.
- De Iacovo A. et al. // Appl. Phys. Lett. 2017. 111. 211104.
- Rafal Sliz et al. // ACS Nano 2019. 13 (10). 11988–11995.
- Fristrom R.M. Flame Structures and Processes, Oxford University Press, New York, 1995.
- Зельдович Я.Б., Баренблатт Г.И. Математическая теория горения и взрыва. М.: 1980. 478 с.
- Engineering ToolBox, (2005). Adiabatic Flame Temperatures. [online] доступно по адресу: https://www.engineeringtoolbox.com/adiabatic-flame-temperature-d_996.html [Accessed 01.02.2023]
Дополнительные файлы





