A Study on the Effect of Gamma-Radiation on the Molecular Structure and Hydrophobic Properties of Telomeric Coatings on Glass Fabric
- Authors: Kichigina G.A.1, Kushch P.P.1, Kiryukhin D.P.1, Kabachkov E.N.1, Shulga Y.M.1
-
Affiliations:
- Federal Research Center for Problems of Chemical Physics and Medicinal Chemistry, Russian Academy of Sciences
- Issue: Vol 57, No 5 (2023)
- Pages: 378-383
- Section: RADIATION CHEMISTRY
- URL: https://ogarev-online.ru/0023-1193/article/view/139995
- DOI: https://doi.org/10.31857/S0023119323050042
- EDN: https://elibrary.ru/MVCSCB
- ID: 139995
Cite item
Full Text
Abstract
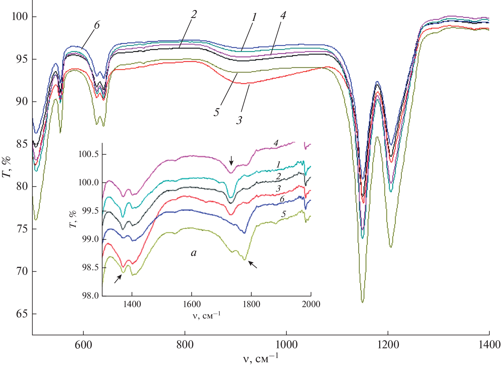
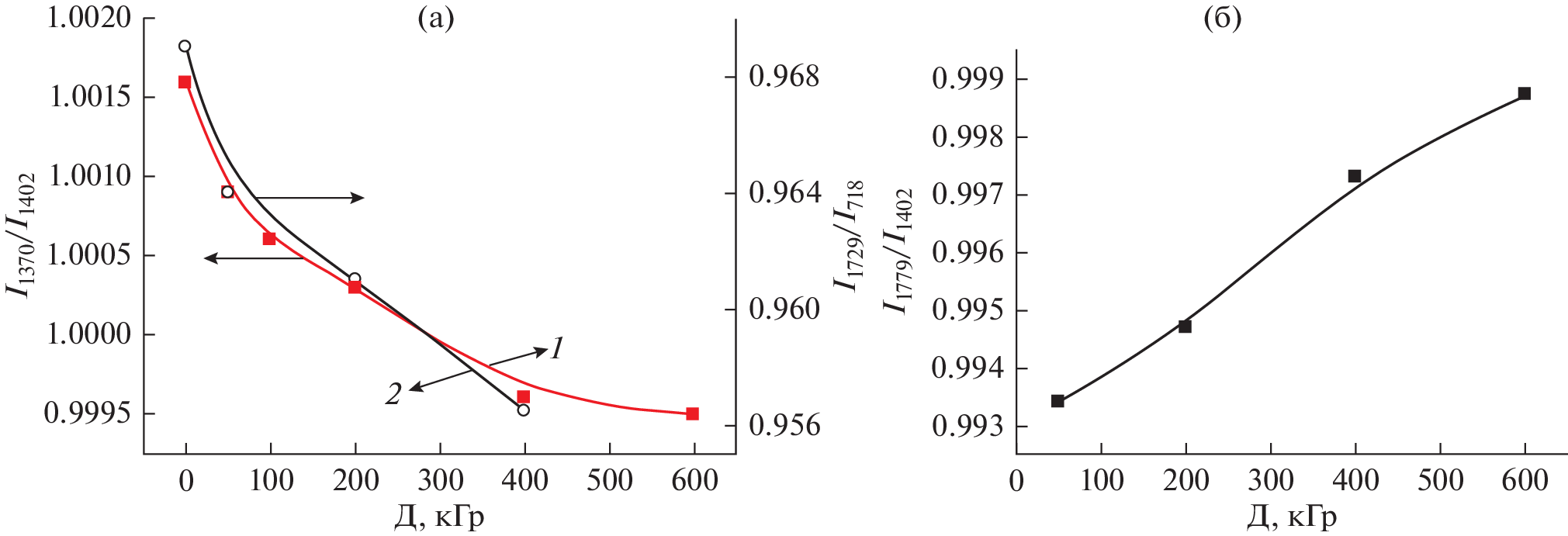
Coatings of aluminoborosilicate fabric have been obtained by deposition from solutions of radiation-synthesized tetrafluoroethylene telomers. The resulting coatings were characterized by IR spectroscopy. By the sessile drop method, it has been established that the surface of the coatings is hydrophobic with a water contact angle of 140°. The effect of gamma-radiation on the molecular structure of coatings has been examined using IR spectroscopy. It has been shown that irradiation of the studied samples in air results in the formation of terminal COOH groups, which worsen the hydrophobicity of the samples. Irradiation in vacuum does not affect the hydrophobic properties of telomeric coatings
About the authors
G. A. Kichigina
Federal Research Center for Problems of Chemical Physics and Medicinal Chemistry, Russian Academy of Sciences
Email: kga@icp.ac.ru
Chernogolovka, Moscow oblast, 142432 Russia
P. P. Kushch
Federal Research Center for Problems of Chemical Physics and Medicinal Chemistry, Russian Academy of Sciences
Email: kga@icp.ac.ru
Chernogolovka, Moscow oblast, 142432 Russia
D. P. Kiryukhin
Federal Research Center for Problems of Chemical Physics and Medicinal Chemistry, Russian Academy of Sciences
Email: kga@icp.ac.ru
Chernogolovka, Moscow oblast, 142432 Russia
E. N. Kabachkov
Federal Research Center for Problems of Chemical Physics and Medicinal Chemistry, Russian Academy of Sciences
Email: kga@icp.ac.ru
Chernogolovka, Moscow oblast, 142432 Russia
Yu. M. Shulga
Federal Research Center for Problems of Chemical Physics and Medicinal Chemistry, Russian Academy of Sciences
Author for correspondence.
Email: kga@icp.ac.ru
Chernogolovka, Moscow oblast, 142432 Russia
References
- https://halopolymer.ru/
- Истомин Н.П., Семенов А.П. Антифрикционные свойства композиционных материалов на основе фторполимеров. М.: Наука, 1981. 460 с.
- Радиационная стойкость органических материалов. Справочник. Под ред. В.К. Милинчука, В.И. Тупикова. М.: Энергоатомиздат, 1986. 171 с.
- Пикаев А.К. Современная радиационная химия. Твердое тело и полимеры. Прикладные аспекты. М.: Наука, 1987. 448 с.
- Фторполимеры. Под ред. Л. Уолла. Пер. с англ. Под ред. И.Л. Кнунянца, В.А. Пономаренко. М.: Мир, 1975. 448 с.
- Кирюхин Д.П., Кичигина Г.А., Кущ П.П., Бузник В.М. Низкомолекулярные фторполимерные материалы. Монография “Фторполимерные материалы” (глава 4). – Томск: Изд-во НТЛ, 2017. 600 с.
- Алдошин С.М., Барелко В.В., Кирюхин Д.П., Кущ П.П., Петряков Д.Н., Дорохов В.Г., Быков Л.А., Смирнов Ю.Н. // Доклады Академии наук. 2013. Т. 449. № 1. С. 55.
- Кичигина Г.А., Кущ П.П., Кирюхин Д.П., Барелко В.В., Дорохов В.Г., Быков Л.А., Кузнецов М.В. // Химическая технология. 2015. № 6. С. 326.
- Шульга Ю.М., Кабачков Е.Н., Корепанов В.И., Кичигина Г.А., Кущ П.П., Кирюхин Д.П., Дремова Н.Н., Баскаков С.А., Vaish R., Kumar Y. // Химия высоких энергий. 2022. Т. 56. № 2. С.130.
- Кичигина Г.А., Кущ П.П., Кирюхин Д.П., Василец В.Н., Кабачков Е.Н., Шульга Ю.М. // Химия высоких энергий. 2022. Т. 55. № 3. С. 208.
- Кичигина Г.А., Кущ П.П., Кирюхин Д.П., Дорохов В.Г., Барелко В.В. // Химия высоких энергий. 2020. Т. 54. № 5. С. 387.
- Бузник В.М., Игнатьева Л.Н., Кайдалова Т.А., Ким И.П., Кирюхин Д.П., Курявый В.Г., Савченко Н.Н., Слободюк А.Б. // Высокомолек. соед., А. 2008. Т. 50. № 9. С. 1641.
- Schierholdz K., Lappan U., Lunkwitz K. // Nucl. Inst. Meth. Phys. Res.. 1999. V. B 151. P. 232.
- He J.L., Li W.Z., Wang L.D., Wang J., Li H.D. // Ibid. 1998. V. B 135. P. 512.
- Lunkwitz K., LappanU., Lehmann D. // Rad. Phys. Chem. 2000. V. 57. P. 373.
- Игнатьева Л.Н., Бузник В.М. // Ж. физ. Химии. 2005. Т. 79. С. 1631.
- Tikhomirov L.A. // High Energy Chem. 1983. V. 17. P. 267.
- Lappan U., Gebler U., Lunkwitz K. // J. Appl. Polym. Sci. 1999. V. 74. P. 1571.
- Кущ П.П., Кичигина Г.А., Кирюхин Д.П., Баринов Д.Я. // Химия высоких энергий. 2018. Т. 52. № 1. С. 38.
- Кичигина Г.А., Кущ П.П., Кирюхин Д.П. // Химия высоких энергий. 2013. Т. 47. № 1. С. 34.
Supplementary files






