Радиационно-химические превращения этиленгликоля и его дейтерированного производного в деаэрированных водных растворах
- Авторы: Урбанович О.В.1, Давыденко А.И.1, Свердлов Р.Л.1,2, Бекиш А.В.3, Ластовский С.Б.4, Точилин Е.В.4
-
Учреждения:
- Белорусский государственный университет
- Научно-исследовательский институт физико-химических проблем Белорусского государственного университета
- Институт физико-органической химии НАН Беларуси
- Научно-практический центр НАН Беларуси по материаловедению
- Выпуск: Том 57, № 5 (2023)
- Страницы: 363-368
- Раздел: РАДИАЦИОННАЯ ХИМИЯ
- URL: https://ogarev-online.ru/0023-1193/article/view/139985
- DOI: https://doi.org/10.31857/S0023119323050133
- EDN: https://elibrary.ru/LWDXEF
- ID: 139985
Цитировать
Полный текст
Аннотация
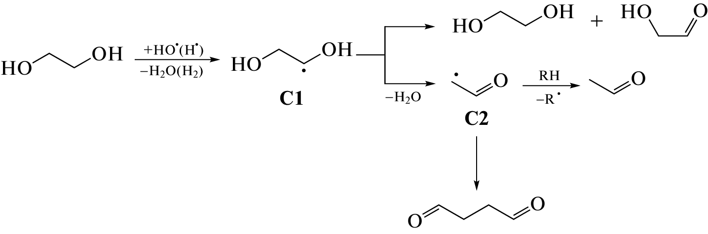
В данной работе исследовалось влияние полного дейтерирования углеродного скелета этиленгликоля на образование продуктов его радиационно-индуцированных свободнорадикальных превращений в деаэрированных водных растворах при pH 7.00 ± 0.10 при мощности поглощенной дозы 0.064 ± 0.002 Гр/с. Установлено, что важную роль в образовании ацетальдегида играет цепной процесс фрагментации углеродцентрированных радикалов этиленгликоля (•CH(OH)CH2OH). Замещение атомов протия, находящихся при атомах углерода, на дейтерий снижает радиационно-химический выход ацетальдегида в 8 раз в 1 М водных растворах диолов. Результаты исследования указывают на то, что использование дейтерообмена по углеродному скелету органических молекул является перспективным направлением для увеличения их стойкости к радиационно-индуцированным процессам свободнорадикальной фрагментации.
Ключевые слова
Об авторах
О. В. Урбанович
Белорусский государственный университет
Email: olga.urbanovich@gmail.com
Республика Беларусь, 220030, Минск, пр. Независимости, 4
А. И. Давыденко
Белорусский государственный университет
Email: olga.urbanovich@gmail.com
Республика Беларусь, 220030, Минск, пр. Независимости, 4
Р. Л. Свердлов
Белорусский государственный университет; Научно-исследовательский институт физико-химических проблем Белорусского государственного университета
Email: olga.urbanovich@gmail.com
Республика Беларусь, 220030, Минск, пр. Независимости, 4; Республика Беларусь, 220006, Минск, ул. Ленинградская, 14
А. В. Бекиш
Институт физико-органической химии НАН Беларуси
Email: olga.urbanovich@gmail.com
Республика Беларусь, 220072, Минск, ул. Сурганова, 13
С. Б. Ластовский
Научно-практический центр НАН Беларуси по материаловедению
Email: olga.urbanovich@gmail.com
Республика Беларусь, 220072, Минск, ул. Петруся Бровки, 19
Е. В. Точилин
Научно-практический центр НАН Беларуси по материаловедению
Автор, ответственный за переписку.
Email: olga.urbanovich@gmail.com
Республика Беларусь, 220072, Минск, ул. Петруся Бровки, 19
Список литературы
- Azzam E.I., Jay-Gerin J.-P., Pain D. // Cancer Lett. 2012. V. 327. P. 48.
- Benderitter M., Vincent-Genod L., Pouget J.P. et al. // Radiat. Res. 2003. V. 159. P. 471.
- Lehninger A.L., Nelson D.L., Cox M.M. Lehninger principles of biochemistry, 6th ed. Freeman W.H. New York, 2012.
- Halliwell B., Gutteridge J.M.C. Free Radicals in Biology and Medicine. Oxford: Oxford University Press, 2015.
- Moskalenko I., Tikhonov I., Pliss E. et al. // Russian Journal of Physical Chemistry B. 2018. V. 12. № 6. P. 987.
- Andreyev A.Y., Tsui H.S., Milne G.L. et al. // Free Radical Biology and Medicine. 2015. V. 82. P. 63.
- Firsov A.M., Fomich M.A., Bekish A.V. et al. // The FEBS Journal. 2019. V. 286. № 11. P. 2099.
- Carreau A., Hafny-Rahbi B.E., Matejuk A. et al. // J. Cell. Mol. Med. 2011. V. 15. P. 1239.
- Петряев Е.П., Шадыро О.И. Радиационная химия бифункциональных органических соединений. Минск: Университетское, 1986.
- Edimecheva I.P., Kisel R.M., Shadyro O.I. et al. // J. Radiat. Res. 2005. V. 46. P. 319.
- Edimecheva I.P., Kisel M.A., Shadyro O.I. et al. // Int. J. Radiat. Biol. 1997. V. 71. P. 555.
- Shadyro O., Lisovskaya A. // Chem. Phys. Lipids. 2019. V. 221. P. 176.
- Shadyro O., Samovich S., Edimecheva I. // Free Radic. Biol. Med. 2019. V. 144. P. 6.
- Shadyro O., Yurkova I., Kisel M. et al. // Free Radic. Biol. Med. 2004. V. 36. P. 1612.
- Shadyro O.I., Yurkova I.L., Kisel M.A. // Int. J. Radiat. Biol. 2002. V. 78. P. 211.
- Shadyro O.I., Yurkova I.L., Kisel M.A. et al. // Int. J. Radiat. Biol. 2004. V. 80. P. 239.
- Sladkova A.A., Sosnovskaya A.A., Edimecheva I.P. et al. // Radiat. Phys. Chem. 2012. V. 81. P. 1896.
- Ksendzova G.A., Sorokin V.L., Edimecheva I.P. et al. // Free Radical Research. 2004. V. 38. № 11. P. 1183.
- Shadyro O.I., Glushonok G.K., Glushonok T.G. et al. // Free Radical Research. 2002. V. 36. P. 859.
- Потоцкая Т.В., Шадыро О.И., Юркова И.Л. // Химия высоких энергий. 2004. Т. 38. С. 4.
- Nepachalovich P.S., Shadyro O.I., Bekish A.V. et al. // Free Radical Research. 2020. V. 54. № 10. P. 732.
- Термические константы веществ. Справочник / Под редакцией акад. В.П. Глушко, В.А. Медведева и др. Вып. 4. М.: ВИНИТИ, 1970.
Дополнительные файлы








