Effect of Protonation on the Spectral–Luminescent and Photochemical Properties of a Bis(styrylbenzoquinoline) Dyad with the Naphthylene Framework and of Corresponding Dibenzoquinolylcyclobutane
- Авторлар: Sulimenkov I.V.1, Budyka M.F.2, Li V.M.2, Potashova N.I.2, Gavrishova T.N.2, Kozlovskii V.I.1
-
Мекемелер:
- Chernogolovka Branch of Semenov Federal Research Center for Chemical Physics, Russian Academy of Sciences
- Federal Research Center for Problems of Chemical Physics and Medicinal Chemistry, Russian Academy of Sciences
- Шығарылым: Том 57, № 5 (2023)
- Беттер: 355-362
- Бөлім: ФОТОХИМИЯ
- URL: https://ogarev-online.ru/0023-1193/article/view/139979
- DOI: https://doi.org/10.31857/S0023119323050029
- EDN: https://elibrary.ru/MSSPWW
- ID: 139979
Дәйексөз келтіру
Толық мәтін
Аннотация
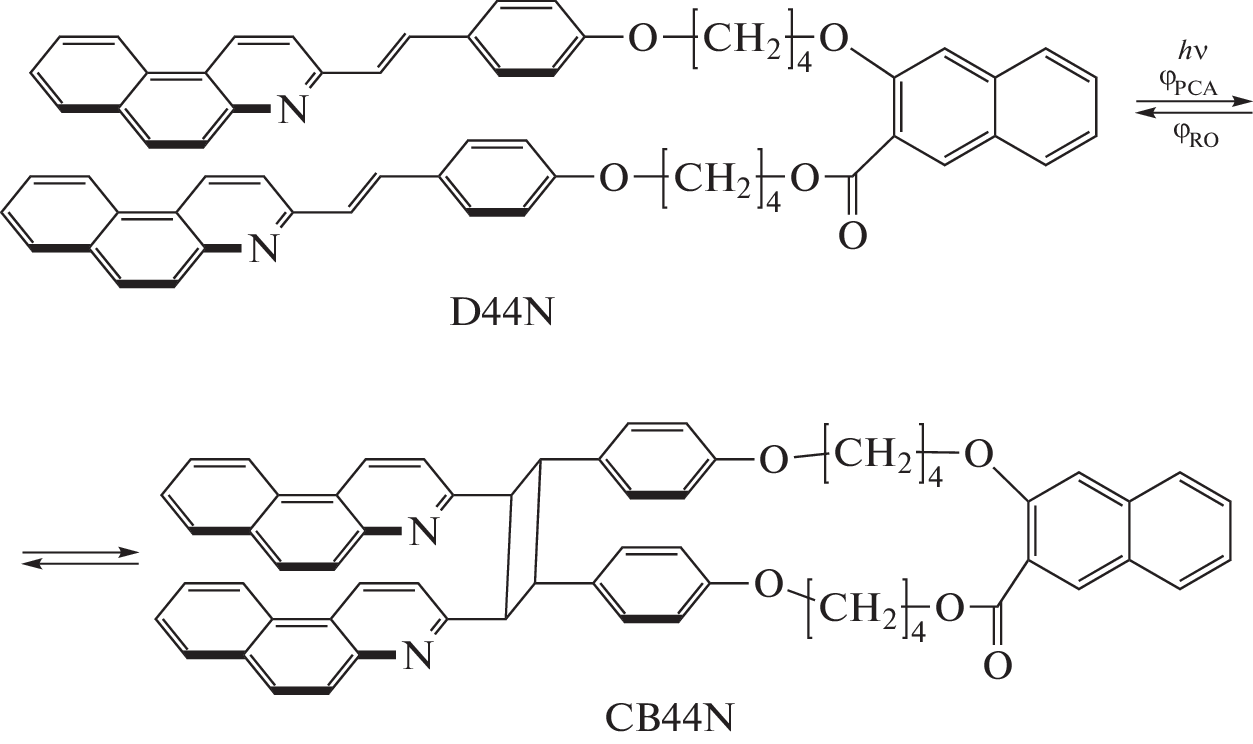
The photophysical and photochemical properties of the protonated forms of both covalently bound biphotochromic dyad D44N containing two styrylbenzo[f]quinoline (SBQ) photochromes and corresponding cyclobutane CB44N containing two benzo[f]quinoline (BQ) substituents have been studied. CB44N is formed from D44N as a result of a reversible [2+2] photocycloaddition (PCA) reaction. The dyad and cyclobutane contain the 3-hydroxy-2-naphthoic acid (NA) moiety as a bridging group. It has been shown that the protonation of nitrogen atoms in the SBQ and BQ groups leads to bathochromic shifts in the absorption spectra and bathofloral shifts in the fluorescence spectra of the dyad and cyclobutane. In the protonated dyad, the quantum yield of the PCA reaction decreases, presumably due to the Coulomb repulsion, which prevents the cations of the protonated SBQ photochromes from approaching each other. In protonated cyclobutane, the quantum yield of the reverse four-membered ring opening reaction (retro-PCA), on the contrary, increases due to the absence of a competitive process of energy transfer from BQ to NA, which was previously observed in neutral cyclobutane
Авторлар туралы
I. Sulimenkov
Chernogolovka Branch of Semenov Federal Research Center for Chemical Physics, Russian Academy of Sciences
Email: budyka@icp.ac.ru
Chernogolovka, Moscow oblast, 142432 Russia
M. Budyka
Federal Research Center for Problems of Chemical Physics and Medicinal Chemistry, Russian Academy of Sciences
Email: budyka@icp.ac.ru
Chernogolovka, Moscow oblast, 142432 Russia
V. Li
Federal Research Center for Problems of Chemical Physics and Medicinal Chemistry, Russian Academy of Sciences
Email: budyka@icp.ac.ru
Chernogolovka, Moscow oblast, 142432 Russia
N. Potashova
Federal Research Center for Problems of Chemical Physics and Medicinal Chemistry, Russian Academy of Sciences
Email: budyka@icp.ac.ru
Chernogolovka, Moscow oblast, 142432 Russia
T. Gavrishova
Federal Research Center for Problems of Chemical Physics and Medicinal Chemistry, Russian Academy of Sciences
Email: budyka@icp.ac.ru
Chernogolovka, Moscow oblast, 142432 Russia
V. Kozlovskii
Chernogolovka Branch of Semenov Federal Research Center for Chemical Physics, Russian Academy of Sciences
Хат алмасуға жауапты Автор.
Email: budyka@icp.ac.ru
Chernogolovka, Moscow oblast, 142432 Russia
Әдебиет тізімі
- Poplata S., Troster A., Zou Y.Q., Bach T. // Chem. Rev. 2016. V. 116. P. 9748.
- Hoffmann N. // Chem. Rev. 2008. V. 108. P. 1052.
- Ramamurthy V., Sivaguru J. // Chem. Rev. 2016. V. 116. P. 9914.
- Doi T., Kawai H., Murayama K., Kashida H., Asanuma H. // Chem. Eur. J. 2016. V. 22. P. 10533.
- Kashida H., Doi T., Sakakibara T., Hayashi T., Asanuma H. // J. Am. Chem. Soc. 2013. V. 135. P. 7960.
- Truong V.X., Li F., Ercole F., Forsythe J.S. // ACS Macro Lett. 2018. V. 7. P. 464.
- Budyka M.F., Gavrishova T.N., Potashova N.I., Li V.M. // ChemistrySelect. 2018, 3, 10651.
- Budyka M.F., Gavrishova T.N., Li V.M., Potashova N.I., Ushakov E.N. // ChemistrySelect. 2021. V. 6. P. 3218.
- Budyka M.F., Gavrishova T.N., Li V.M., Potashova N.I., Fedulova J.A. // Spectrochim. Acta Part A. 2022. V. 267. 120565.
- Будыка М.Ф., Поташова Н.И., Гавришова Т.Н., Ли В.М. // Химия высоких энергий. 2017. Т. 51. С. 216.
- Будыка М.Ф., Поташова Н.И., Гавришова Т.Н., Федулова Ю.А. // Химия высоких энергий. 2019. Т. 53. С. 206.
- Будыка М.Ф., Гавришова Т.Н., Ли В.М., Поташова Н.И., Федулова Ю.А. // Химия высоких энергий. 2022. Т. 56. С. 317.
- Tervola E., Truong K.-N., Ward J.S., Priimagi A., Rissanen K. // RSC Adv. 2020. V. 10. P. 29385.
- Dodonov A.F., Kozlovski V.I., Soulimenkov I.V., Raznikov V.V., Loboda A.V., Zhou Zhen, Horwath T., Wollnik H. // Eur. J. Mass Spectrom. 2000. V. 6. P. 481.
- Будыка М.Ф., Гавришова Т.Н., Ли В.М., Дозморов С.А., Козловский В.И. // Химия высоких энергий. 2021. Т. 55. С. 13.
- Kozlovski V.I., Brusov V.S., Sulimenkov I.V., Pikhtelev A.R., Dodonov A.F. // Rapid Commun. Mass Spectrom. 2004. V. 18. P. 780.
- Becker H.D. // Chem. Rev. 1993. V. 93. P. 145.
- Nakamizo M. // Spectrochim. Acta. 1966. V. 22. P. 2039.
- Marzzacco C.J., Deckey G., Colarulli R., Siuzdak G., Halpern A.M. // J. Phys. Chem. 1989. V. 93. P. 2935.
- Budyka M.F., Fedulova J.A., Gavrishova T.N., Li V.M., Potashova N.I., Tovstun S.A. // Phys. Chem. Chem. Phys. 2022. V. 24. P. 24137.
- Yamada S., Kusafuka M., Sugawara M. // Tetrah. Lett. 2013. V. 54. P. 3997.
- Mondal B., Captain B., Ramamurthy V. // Photochem. Photobiol. Sci. 2011. V. 10. P. 891.
- Ortega G., Hernandez J., Gonzalez T., Dorta R., Briceno A. // Photochem. Photobiol. Sci. 2018. V. 17. P. 670.
Қосымша файлдар








