Геохимические особенности углей Межегейского месторождения
- Авторы: Янчат Н.Н.1, Тас-оол Л.Х.1
-
Учреждения:
- ФГБУН Тувинский институт комплексного освоения природных ресурсов СО РАН
- Выпуск: № 3 (2024)
- Страницы: 89-96
- Раздел: Статьи
- URL: https://ogarev-online.ru/0023-1177/article/view/266916
- DOI: https://doi.org/10.31857/S0023117724030112
- EDN: https://elibrary.ru/NBSMEK
- ID: 266916
Цитировать
Полный текст
Аннотация
Выполнен анализ корреляционных связей между зольностью угля (Adср) и содержаниями золообразующих элементов. Выявлены значимые положительные парные корреляции в накоплениях SiO2, Al2O3, TiO2 и каждого из них с зольностью Adср (rкр0.05=0.23). В группе Fe2O3, MgO, CaO значимая положительная корреляция наблюдается между накоплениями только Fe2O3 и MgO, но каждый из них коррелирует с Adср отрицательно. Проведен качественный анализ распределений петрохимических модулей (ГМ, АМ, ЖМ, ТМ) золы угля пласта 2.2-Улуг Межегейского месторождения. Гидролизатная деструкция минерального вещества угля в 94% изученной выборки (n = 70) представлена супергидролизатами (ГМмин 2.07, ГМмакс 7.45), нормогидролизатами (ГМмин 0.86, ГМмакс 1.95), гипогидролизатами (ГМмин 0.56, ГМмакс 0.84). Совокупный анализ корреляционных связей зольности угля (Adср) с содержаниями золообразующих элементов и петрохимических модулей золы позволил установить происхождение золообразующих элементов – зола-носитель Fe аквагенна, зола-носители Al, Ti аллотигенны.
Полный текст
Введение
В юго-западной части Улуг-Хемского каменноугольного бассейна расположено Межегейское месторождение. Формирование угленосных отложений в пределах месторождения происходило в аллювиальных, озерно-болотных и бассейновых условиях. Тектоническое строение характеризуется в основном спокойным слабо наклонным залеганием угольных пластов с углами падения 4°–6°, на отдельных участках 8°–30°. Локальные участки представлены крупными складчатыми структурами: Межегейской брахисинклиналью, Поперечной антиклиналью и Кочетовской антиклиналью [1].
Угленосными на месторождении являются юрские отложения элегесткой (J2el), эрбекской (J2er) и салдамской (J2-3sl) свит. В отложениях эрбекской свиты залегает пласт 2.2-Улуг, являющийся основным рабочим пластом на всей территории бассейна. Мощность пласта изменяется в пределах 0.6–6.1 м, на большей части месторождения 3–4 м. Подошва пласта сложена алевролитами, реже углистыми алевролитами и мелкозернистыми песчаниками с прослоями алевролитов. Кровля представлена средне- и крупнозернистыми песчаниками, иногда с маломощными прослоями конгломератов. Контакт вмещающих пород с углем пласта 2.2-Улуг резкий, отчетливый [1].
В работе исследованы закономерности распределений золообразующих элементов и петрохимических модулей углей межегейского месторождения для понимания природы формирования угольного пласта 2.2-Улуг.
Методы исследования
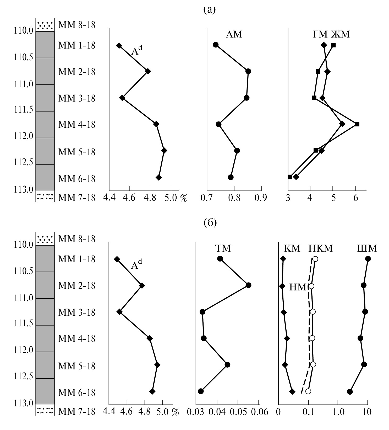
На участке КСО3 разрабатываемой шахты “Межегейуголь” в вертикальном срезе пласта 2.2-Улуг (мощность 3 м) произведен отбор шести образцов угля ММ-18 (n = 1, m = 6) с интервалом опробования 0.5 м и по одной пробе пород подошвы и кровли (мощность 0.1 м), нумерация проб показана на рис. 1. Глубина залегания (h) подошвы пласта 113 м.
Рис. 1. Графики распределения показателей в колонке угольного пласта из шахты: (а) Ad, АМ, ГМ и ЖМ; (б) Ad, ТМ, КМ, НМ, НКМ и ЩМ.
Зольность угля определена при 815 ± 10°С в соответствии с ГОСТ 11022-95. Элементный состав золы угля, углевмещающих пород определен на рентгенофлуоресцентном анализаторе (РФА) в ИГХ СО РАН им. А.П. Виноградова. Данные силикатного анализа шести интервальных проб угля проанализированы в совокупности с такими же данными углей 69-ти скважин месторождения из Территориального фонда геологической информации по Республике Тыва [2–4].
Петрографическое описание шлифов углевмещающих пород на поляризационном микроскопе ПОЛАМ Л-213М выполнено инженером-геологом Е.К. Дружковой. Обломки пород описаны в соответствии с гранулометрической классификацией Л.Б. Рухина [5], мм: песчаник крупнозернистый (1.0–0.5), среднезернистый (0.5–0.25), мелкозернистый (0.25–0.1), тонкозернистый (0.1–0.05); алеврит крупнозернистый (0.05–0.01), мелкозернистый (0.01–0.005).
Литохимические модули золы угля рассчитаны по методике [6]: гидролизатный ГМ = = (Al2O3 + Fe2O3 + FeO + TiO2 + MnO)/SiO2; глиноземистый АМ = Al2O3/SiO2; железный ЖМ = (Fe2O3 + FeO + MnO)/(TiO2 + Al2O3); титановый ТМ = TiO2/Al2O3; натриевый НМ = = Na2O/Al2O3; калиевый КМ = K2O/Al2O3; нормированная щелочность НКМ = (Na2O + K2O)/Al2O3. Золы углей сгруппированы по величине основного классификационного параметра (ГМ) на три крупных хемотипа: гидролизаты (ГМ>0.55), сиаллиты (ГМ 0.30–0.55), силиты (ГМ <0.30) с выделением внутри хемотипов классов: гипо-, нормо- и супергидролизаты, суперсиаллиты, миосилиты.
Показатели палеоклимата в областях размыва терригенных обломков пород подошвы и кровли угольного пласта оценены по величинам литохимического индикатора 1/TM = Al2O3/TiO2 и индекса химического выветривания CIA= = 100Al2O3/(Al2O3 + CaO + Na2O + K2O) [7, 8]: для аридного климата свойственны значения CIA ≤ 60, гумидного CIA > 70, для переходных периодов CIA = 60−70. При гумидном климате литихимический индикатор имеет значение 1/TM ≤ 20, при аридном 1/TM > 30, для переходных периодов 1/TM = 20−30.
Обсуждение результатов
На территории Межегейского месторождения Улуг-Хемского бассейна показатель зольности угля пласта 2.2-Улуг изменяется в широких пределах, Ad 2.80–23.33, в среднем 8.49% (табл. 1). Химический состав золы угля, как и золы угля в Каа-Хемском месторождении [9], характеризуется повышенными содержаниями Fe2O3 (27%) и CaO (17%).
Химический состав золы угля Межегейского месторождения по латерали. Анализ химического состава золы угля обнаруживает (табл. 1) наличие значимых положительных парных корреляционных связей между накоплениями SiO2, Al2O3, TiO2 и каждого из них с зольностью Adср (rкр0.05 = 0.23). Нарастание содержаний Si, Al, Ti в золе угля с ростом зольности может указывать на их связь с аллотигенными (терригенными) минералами, минералоидами, привнесенными в угольный пласт с областей размыва.
Таблица 1. Состав золы угля пласта 2.2-Улуг Межегейского месторождения и коэффициенты парной корреляции
Показатель | h*, м | Ad | SiO2 | Al2O3 | Fe2O3 | CaO | MgO | TiO2 | MnO | Na2O | K2O | P2O5 | SO3 |
Количество анализов | 70 | 70 | 70 | 70 | 70 | 70 | 70 | 61 | 50 | 56 | 56 | 57 | 68 |
Содержание компонента, %: | |||||||||||||
xсред | 470.23 | 8.49 | 28.93 | 13.05 | 26.70 | 17.50 | 3.84 | 0.58 | 0.29 | 1.41 | 0.90 | 0.12 | 7.49 |
xмакс | 748.00 | 23.33 | 67.87 | 25.59 | 52.71 | 62.37 | 8.41 | 1.44 | 0.95 | 4.41 | 2.19 | 0.71 | 14.10 |
xмин | 39.20 | 2.80 | 7.18 | 2.71 | 4.48 | 3.33 | 1.19 | 0.21 | 0.02 | 0.12 | 0.06 | 0.01 | 1.56 |
Стандартное отклонение, s | 142.76 | 4.62 | 13.88 | 4.46 | 11.16 | 10.74 | 1.33 | 0.22 | 0.18 | 0.70 | 0.54 | 0.16 | 2.78 |
Дисперсия, σ2 | 20381.2 | 21.39 | 192.78 | 19.88 | 124.56 | 115.30 | 1.78 | 0.05 | 0.03 | 0.50 | 0.29 | 0.02 | 7.73 |
Значимый коэффициент парной корреляции, | 0.23 | 0.23 | 0.23 | 0.23 | 0.23 | 0.23 | 0.23 | 0.25 | 0.28 | 0.26 | 0.26 | 0.26 | 0.24 |
h*, м | Ad | SiO2 | Al2O3 | Fe2O3 | CaO | MgO | TiO2 | MnO | Na2O | K2O | P2O5 | SO3 | |
h*, м | 1 | –0.19 | –0.23 | –0.13 | 0.07 | 0.15 | 0.04 | 0.004 | 0.03 | –0.03 | 0.26 | 0.07 | 0.03 |
Ad | –0.19 | 1 | 0.51 | 0.32 | –0.48 | –0.08 | –0.21 | 0.11 | –0.12 | –0.41 | 0.09 | 0.21 | -0.56 |
SiO2 | –0.23 | 0.51 | 1 | 0.71 | –0.74 | –0.63 | –0.43 | 0.67 | –0.70 | –0.11 | 0.69 | 0.26 | -0.50 |
Al2O3 | –0.13 | 0.32 | 0.71 | 1 | –0.60 | –0.64 | –0.28 | 0.59 | –0.69 | 0.17 | 0.59 | 0.34 | -0.14 |
Fe2O3 | 0.07 | –0.48 | –0.74 | –0.60 | 1 | 0.06 | 0.37 | –0.45 | 0.67 | 0.24 | –0.61 | –0.35 | 0.30 |
CaO | 0.15 | –0.08 | –0.63 | –0.64 | 0.06 | 1 | 0.10 | –0.55 | 0.46 | –0.35 | –0.41 | –0.13 | 0.06 |
MgO | 0.04 | –0.21 | –0.43 | –0.28 | 0.37 | 0.10 | 1 | –0.51 | 0.36 | 0.22 | –0.36 | –0.26 | 0.36 |
TiO2 | 0.004 | 0.11 | 0.67 | 0.59 | –0.45 | –0.55 | –0.51 | 1 | –0.57 | 0.17 | 0.46 | 0.15 | –0.12 |
MnO | 0.03 | –0.12 | –0.70 | –0.69 | 0.67 | 0.46 | 0.36 | –0.57 | 1 | –0.31 | –0.55 | –0.22 | 0.08 |
Na2O | –0.03 | –0.41 | –0.11 | 0.17 | 0.24 | –0.35 | 0.22 | 0.17 | –0.31 | 1 | 0.14 | -0.05 | 0.45 |
K2O | 0.26 | 0.09 | 0.69 | 0.59 | –0.61 | –0.41 | –0.36 | 0.46 | –0.55 | 0.14 | 1 | 0.42 | –0.32 |
P2O5 | 0.07 | 0.21 | 0.26 | 0.34 | –0.35 | –0.13 | –0.26 | 0.15 | –0.22 | –0.05 | 0.42 | 1 | –0.04 |
SO3 | 0.03 | –0.56 | –0.50 | –0.14 | 0.30 | 0.06 | 0.36 | –0.12 | 0.08 | 0.45 | –0.32 | –0.04 | 1 |
* Глубина пласта (подошва), м | |||||||||||||
В содержаниях оксидов других золообразующих элементов – Fe2O3, MgO, CaO – выявляются значимые отрицательные парные корреляции с Adср, внутри группы накопления Fe2O3 и MgO коррелируют между собой положительно и значимо. Исходя из этих данных можно ожидать, что Fe,Mg-содержащие компоненты золы межегейских углей имеют сингенетическое происхождение, формировались преимущественно из водных растворов.
Анализ петрохимических модулей (табл. 2) показывает, что зола угольного пласта 2.2-Улуг в 94% выборки имеет гидролизатный хемотип с классами: супергидролизат (ГМмин 2.07, ГМмакс 7.45; hср = 491; n = 27), нормогидролизат (ГМмин 0.86, ГМмакс 1.95; hср = 487; n = 27) и гипогидролизат (ГМмин 0.56, ГМмакс 0.84, hср=395; n = 12). Миосилитная зола определена лишь в одной пробе угля (скв. № 13), отобранной в зоне сочленения Поперечной антиклинали и Межегейской брахисинклинали (ГМ 0.29; hср = 489). Угли с гипогидролизатной золой, а также с суперсиалитной золой (ГМмин 0.49, ГМмакс 0.55; hср= 427; n = 3) и с повышенными содержаниями SO3, Na2O, MgO (n = 13) находятся в зонах расщепления пласта 2.2-Улуг в складчатых структурах Межегейской брахисинклинали, Поперечной и Кочетовской антиклиналей в зонах глубинных разрывных нарушений. Полагаем, что отличия в степени гидролизатной деструкции неорганического вещества угля определяются различиями в обстановках обводнения/питания участков торфяника, диагенеза и метаформизма угольного массива.
Таблица 2. Геохимическая характеристика золы угля пласта 2.2-Улуг Межегейского угольного месторождения
Компонент, модуль | Миосилит | Суперсиаллит | Гипогидролизат | Нормогидролизат | Супергидролизат | ||||||||
ГМ 0.21–0.30 | ГМ 0.49–0.55 | ГМ 0.56–0.85 | ГМ 0.86–2.0 | ГМ 2.01–10.0 | |||||||||
(n = 1) | (n = 3) | (n = 12) | (n = 27) | (n = 27) | |||||||||
x | xмин | xмакс | xсред | xмин | xмакс | xсред | xмин | xмакс | xсред | xмин | xмакс | xсред | |
SiO2 | 67.87 | 46.03 | 55.16 | 50.93 | 40.36 | 58.70 | 48.07 | 19.90 | 46.61 | 28.79 | 7.18 | 25.34 | 16.67 |
Al2O3 | 11.47 | 16.32 | 23.29 | 18.86 | 10.48 | 23.33 | 17.53 | 8.38 | 25.59 | 13.55 | 2.71 | 18.98 | 9.99 |
Fe2O3 | 6.77 | 4.48 | 10.23 | 7.29 | 8.56 | 26.00 | 14.39 | 12.84 | 40.29 | 25.60 | 18.88 | 52.71 | 36.18 |
CaO | 5.92 | 6.85 | 18.93 | 12.80 | 3.33 | 16.16 | 9.12 | 4.18 | 42.34 | 17.81 | 7.69 | 62.37 | 21.85 |
MgO | 1.19 | 2.55 | 8.03 | 4.90 | 1.61 | 4.20 | 2.88 | 1.40 | 5.57 | 3.69 | 2.05 | 8.41 | 4.41 |
TiO2 | 1.44 | 0.46 | 0.81 | 0.63 | 0.33 | 1.12 | 0.72 | 0.40 | 0.86 | 0.62 | 0.21 | 0.98 | 0.47 |
MnO | 0.07 | 0.02 | 0.27 | 0.15 | 0.05 | 0.17 | 0.12 | 0.09 | 0.47 | 0.26 | 0.18 | 0.95 | 0.41 |
Na2O | 0.58 | 0.56 | 0.94 | 0.75 | 0.77 | 1.93 | 1.25 | 0.42 | 3.06 | 1.48 | 0.12 | 4.41 | 1.49 |
K2O | 1.52 | 1.17 | 1.78 | 1.47 | 0.75 | 2.08 | 1.53 | 0.35 | 2.19 | 0.96 | 0.06 | 1.49 | 0.52 |
P2O5 | 0.06 | 0.05 | 0.13 | 0.09 | 0.02 | 0.71 | 0.24 | 0.00 | 0.71 | 0.13 | 0.00 | 0.12 | 0.06 |
SO3 | 3.11 | 4.69 | 4.79 | 4.74 | 1.56 | 11.33 | 5.27 | 2.92 | 14.10 | 7.91 | 1.90 | 13.94 | 8.43 |
Ad | 15.76 | 3.80 | 23.33 | 14.48 | 4.97 | 23.15 | 11.96 | 4.27 | 23.20 | 7.54 | 2.80 | 17.37 | 6.97 |
h, м | 489 | 126 | 648 | 427 | 153 | 590 | 395 | 39 | 748 | 487 | 113 | 658 | 491 |
ГМ | 0.29 | 0.49 | 0.55 | 0.53 | 0.56 | 0.84 | 0.68 | 0.86 | 1.95 | 1.44 | 2.07 | 7.45 | 3.04 |
ЖМ | 0.53 | 0.19 | 0.61 | 0.41 | 0.45 | 2.16 | 0.89 | 0.51 | 3.87 | 1.96 | 1.70 | 9.17 | 3.95 |
АМ | 0.17 | 0.30 | 0.45 | 0.37 | 0.19 | 0.45 | 0.37 | 0.31 | 0.65 | 0.47 | 0.30 | 0.92 | 0.61 |
ТМ | 0.126 | 0.028 | 0.048 | 0.038 | 0.021 | 0.063 | 0.039 | 0.026 | 0.070 | 0.048 | 0.025 | 0.077 | 0.047 |
НКМ | 0.18 | 0.13 | 0.14 | 0.13 | 0.11 | 0.17 | 0.15 | 0.04 | 0.33 | 0.19 | 0.06 | 0.39 | 0.20 |
НМ | 0.05 | 0.03 | 0.06 | 0.05 | 0.04 | 0.12 | 0.07 | 0.02 | 0.23 | 0.11 | 0.04 | 0.26 | 0.15 |
КМ | 0.13 | 0.07 | 0.10 | 0.09 | 0.05 | 0.11 | 0.08 | 0.02 | 0.16 | 0.07 | 0.02 | 0.19 | 0.06 |
Средняя зольность угля (Adср) снижается в направлении перехода от гипогидролизатов (11.96%) к нормогидролизатам (7.54) и супергидролизатам (6.97%) и по мере углубления пласта от поверхности (см. табл. 2). В этом же направлении повышаются средние значения других литохимических модулей гидролизатов: глиноземистость (АМ 0.37, 0.47, 0.61), железистость (ЖМ 0.89, 1.96, 3.95), нормированная щелочность (НКМ 0.15, 0.19, 0.20), титанистость (ТМ 0.039, 0.048, 0.047).
Распределение золообразующих элементов в разрезе пласта. В разрабатываемой шахте на участке КСО3 уголь малозольный Adср 4.74%, мощность пласта 3 м, глубина подошвы пласта 113 м; зола угля характеризуется (табл. 3) повышенными содержаниями Fe2O3 (31–38%) и CaO (20–27%). По литохимическому составу зола супергидролизатная (ГМ 3.33–5.45), гипер-Fe-гидролизатная (ЖМ 3.10–6.11), нормоглиноземистая (AM 0.73–0.85), нормотитанистая (ТМ 0.032–0.055).
Таблица 3. Геохимическая характеристика золы угля пласта 2.2-Улуг с участка КС шахты “Межегейуголь”
Компонент, модуль | Супергидролизат | Миоcилит | ||||||
Уголь пласта 2.2-Улуг | Алевролит (подошва пласта 2.2-Улуг) | Песчаник (кровля пласта 2.2-Улуг) | ||||||
ММ-1-18 | ММ-2-18 | ММ-3-18 | ММ-4-18 | ММ-5-18 | ММ-6-18 | ММ-7-18 | ММ-8-18 | |
SiO2 | 9.92 | 9.68 | 10.58 | 8.07 | 9.26 | 12.64 | 75.37 | 72.87 |
Al2O3 | 7.25 | 8.25 | 8.95 | 5.99 | 7.49 | 9.95 | 13.71 | 17.65 |
Fe2O3 | 37.54 | 37.41 | 38.05 | 37.31 | 32.91 | 31.41 | 3.49 | 2.51 |
CaO | 20.81 | 24.48 | 20.26 | 26.68 | 25.94 | 24.78 | 0.46 | 0.20 |
MgO | 10.13 | 7.13 | 8.52 | 8.52 | 9.53 | 6.65 | 1.11 | 1.03 |
TiO2 | 0.30 | 0.45 | 0.29 | 0.20 | 0.33 | 0.32 | 0.44 | 0.93 |
MnO | 0.38 | 0.40 | 0.31 | 0.49 | 0.35 | 0.42 | 0.04 | 0.02 |
Na2O | 0.97 | 0.81 | 1.11 | 0.66 | 0.92 | 0.72 | 2.36 | 1.35 |
K2O | 0.10 | 0.11 | 0.14 | 0.11 | 0.12 | 0.28 | 2.87 | 3.34 |
P2O5 | 0.01 | 0.02 | 0.01 | 0.01 | 0.02 | 0.01 | 0.08 | 0.01 |
SO3 | 11.65 | 10.55 | 10.81 | 11.07 | 12.01 | 12.03 | 0.00 | 0.00 |
ВаО | 0.16 | 0.17 | 0.25 | 0.20 | 0.25 | 0.21 | 0.04 | 0.04 |
SrO | 0.76 | 0.51 | 0.71 | 0.67 | 0.87 | 0.57 | 0.02 | 0.01 |
ZrO2 | 0.01 | 0.03 | 0.02 | 0.01 | 0.01 | 0.01 | 0.02 | 0.04 |
Ad | 4.49 | 4.77 | 4.51 | 4.85 | 4.93 | 4.88 | 95.84 | 100 |
h, м | 110.5 | 111.0 | 111.5 | 112.0 | 112.5 | 113.0 | 113.1 | 110.0 |
ГМ | 4.59 | 4.81 | 4.50 | 5.45 | 4.44 | 3.33 | 0.23 | 0.29 |
ЖМ | 5.02 | 4.34 | 4.15 | 6.11 | 4.25 | 3.10 | 0.25 | 0.14 |
АМ | 0.73 | 0.85 | 0.85 | 0.74 | 0.81 | 0.79 | 0.18 | 0.24 |
ТМ | 0.042 | 0.055 | 0.033 | 0.034 | 0.045 | 0.032 | 0.032 | 0.053 |
НКМ | 0.15 | 0.11 | 0.14 | 0.13 | 0.14 | 0.10 | 0.38 | 0.27 |
НМ | 0.13 | 0.10 | 0.12 | 0.11 | 0.12 | 0.07 | 0.17 | 0.08 |
КМ | 0.01 | 0.01 | 0.02 | 0.02 | 0.02 | 0.03 | 0.21 | 0.19 |
CIA | - | - | - | - | - | - | 64 | 74 |
1/TM | - | - | - | - | - | - | 31 | 19 |
Максимальные накопления Fe2O3 (38%) и CaO (27%), максимальные значения петрохимических модулей ГМ (5.45) и ЖМ (6.11) определяются в средней части угольного пласта. Распределения модулей ГМ, ЖМ в разрезе пласта практически схожи и имеют максимумы на глубине h = 112 м (рис. 1, а). Полагаем, что синхронный рост значений ГМ, ЖМ может указывать на преимущественно аквагенную/аутигенную природу золы-носителей Fe, сформированных с участием торфяных и инфильтрационных вод при накоплении исходного растительного материала, а также в диагенезе, катагенезе, эпигенезе. Это предположение подтверждается отчетными данными геологов [10]: в шлифах межегейских углей (рис. 2, а, б) под микроскопом идентифицируются прожилки аутигенных минералов диагенетических (пирит, кварц, карбонаты) и эпигенетических (кальцит, кварц, пирит, полевые шпаты).
Рис. 2. Фотографии шлифов угля пласта 2.2-Улуг Межегейского месторождения (материалы ТФИ по РТ, И.Ю. Яковлев., и др. 1987 г.) в отраженном свете увеличение:
а, б – 80×. Условные обозначения: Vt – мацералы группы витринита; L2 – кутинит; F3 – фюзинит; Ml2 – сульфиды железа; Ml3 – карбонаты.
Фотографии шлифов углевмещающих, пласт 2.2-Улуг, пород в проходящем свете: в – алевролит подошвы неокатанный, плохо сортированный крупнозернистый кварц-полевошпатовый; г – песчаник кровли полу угловатый среднезернистый кварц-полевошпатовый: 1 – полевой шпат; 2 – кварц; 3 – слюда.
Максимальные накопления Al2O3 (>8%) определяются в приподошвенной контактной зоне (112.5–113.0 м) и под прикровельной зоной (110.5–111.0 м) пласта. В верхней части пласта АМ повышается синхронно зольности Ad, в нижней зоне (112–113 м) обе функции (АМ и Ad) проходят через слабый максимум. В средней части пласта (111.5–112.5 м) глиноземистый модуль АМ убывает по мере роста гидролизатного модуля ГМ. Закономерность распределения ТМ (и содержаний TiO2) довольно схожа с таковой АМ. В целом, в разрезе пласта закономерности распределения ТМ, АМ и Ad довольно схожи (рис. 1, а, б), что может говорить о преимущественной аллотигенности и/или кластогенности происхождения золы-носителей Al, Ti. Действительно, в шлифах межегейских углей и зерна кварца и тонкие прожилки глинистых минералов (хлорит, слюд) описаны [1, 4, 10] как аллотигенные минералы.
По основности зола нормощелочная (НКМ 0.10–0.15) с превалированием натрия над калием в широких пределах при низких значениях и натриевого и калиевого модулей (НМ 0.07–0.13; КМ 0.01–0.03). Повышенная (относительно калия) натровость золы может указывать на активный вынос калия за пределы пласта с накоплением в угле Na-содержащих слюдисто-глинистых кластогенных минералов.
Углевмещающие породы. В основании пласта залегает алевролит серый массивный мелко-крупнозернистый (рис. 2, в). Обломочный материал угловатый, сложен преимущественно кварцем и полевыми шпатами примерно в равных количествах, единичными обломками слюды (~1%). Цемент контактово-поровый, глинисто-гидрослюдистый. Обломки пород составляют ~90%, цемент ~10%.
Угольный пласт перекрывает песчаник темно-серый, массивный, мелко-среднезернистый с полу угловатыми формами зерен (рис. 2, г). Обломочная составляющая почти нацело состоит из кварца и полевых шпатов (по ~45%), кроме них встречаются слюды (~10%). Цемент поровый глинисто-гидрослюдистый. Обломки пород составляют ~95%, цемент ~5%.
Контакт вмещающих пород с угольным пластом резкий, четкий. Песчаник кровли (ГМ 0.29; АМ 0.24; ЖМ 0.14; ТМ 0.053; НКМ 0.27; НМ 0.08) в сравнении с алевролитом подошвы (ГМ 0.23; АМ 0.18; ЖМ 0.25; ТМ 0.032; НКМ 0.38; НМ 0.172) содержит больше гидролизатных продуктов при меньшей железистости и щелочности.
Показатель параметра палеоклимата (Al2O3/TiO2) в области формирования осадочной породы подошвенного алевролита межегейских углей, превышая пороговые 30 ед. [7, 9], Al2O3/TiO2=31.15, соответствует аридной обстановке; по значению индекса химического выветривания, CIA = 64, формирование алевролита происходило в аридно-гумидной обстановке. Песчаник кровли угольного пласта сложен в гумидных условиях, Al2O3/TiO2=18.97; CIA = 74.
Заключение
Выполнен анализ петрохимических модулей золы угольного пласта 2.2-Улуг Межегейского месторождения, в 94% исследованной выборки (n = 70) зола угля имеет гидролизатный хемотип, представлен супергидролизатами (ГМмин 2.07, ГМмакс 7.45), нормогидролизатами (ГМмин 0.86, ГМмакс 1.95), гипогидролизатами (ГМмин 0.56, ГМмакс 0.84).
Угли с суперсиалитной золой (ГМмин 0.49, ГМмакс 0.55; n = 3) и миосилитной золой (ГМ 0.29; n = 1) находятся в зонах расщепления пласта 2.2-Улуг – глубинных разрывных нарушениях складчатых структур Межегейской брахисинклинали, Поперечной и Кочетовской антиклиналей.
Совокупный анализ корреляционных связей зольности угля (Adср) с содержаниями золообразующих элементов, а также петрохимических модулей золы угля позволяет установить происхождение золообразующих элементов. Так, синхронный рост модулей ГМ, ЖМ может указывать на преимущественно аквагенную природу золы-носителя Fe, сформированной с участием торфяных и инфильтрационных вод на стадии накопления исходного растительного материала, диагенеза, катагенеза и эпигенеза. Отрицательная корреляция глиноземистого и титанового модулей (АМ, ТМ) с гидролизатным модулем ГМ может свидетельствовать о преимущественной аллотигенности и/или кластогенности происхождения золы-носителей Al, Ti.
Алевролит подошвы межегейских углей сформирован в аридной, аридно-гумидной обстановках (параметр палеоклимата Al2O3/TiO2 = 31.15, индекс химического выветривания CIA = 64). Песчаная порода кровли пласта сложена в гумидной обстановке (Al2O3/TiO2 = 18.97, CIA = 74).
Финансирование работы
Работа выполнена в рамках государственного задания ТувИКОПР СО РАН, финансируемого Министерством науки и высшего образования Российской Федерации проект FUFS-2021-0008 № 121031500511-0.
Конфликт интересов
Авторы данной работы заявляют, что у них нет конфликта интересов.
Об авторах
Н. Н. Янчат
ФГБУН Тувинский институт комплексного освоения природных ресурсов СО РАН
Автор, ответственный за переписку.
Email: janchat62@mail.ru
Россия, Кызыл, 667007
Л. Х. Тас-оол
ФГБУН Тувинский институт комплексного освоения природных ресурсов СО РАН
Email: tasool51@mail.ru
Россия, Кызыл, 667007
Список литературы
- Быкадоров В.С., Вялов В.И., Подкаменный А.А., Шибанов В.И. Улугхемский бассейн и другие бассейны Республики Тыва // Угольная база России. Т. III. Угольные бассейны и месторождения Восточной Сибири. Южная часть. M.: ООО “Геоинформцентр”, 2002. С. 270–363.
- Результаты анализов, реестры скважин по пласту “Улуг”. Кызыл. 1988. ТФИ по РТ, № 166, ящик 39, 40.
- Быкадоров В.С. и др. Отчет о геологоразведочных и поисковых работах на Меджигейском месторождении Улуг-Хемского каменноугольного бассейна, проведенных в 1952–1956 гг. Красноярск. 1956 г. ТФИ по Красноярскому краю.
- Шибанов В.И. Обобщение результатов геологоразведочных работ по Улуг-Хемскому угольному бассейну по состоянию на 01.01.1993 г.: Отчет М–46–V. – Кызыл, 1994. ТФИ по РТ, № 2179.
- Pухин Л.Б. Основы литологии. 3-е изд. Л., Недра, 1969. 703 с.
- Юдович Я.Э., Кетрис М.П. Основы литохимии. СПб.: Наука, 2000. 479 с.
- Маслов А.В. Осадочные породы: методы изучения и интерпретации полученных данных. Учебное пособие. – Екатеринбург: Изд-во УГГУ, 2005. 289 с.
- Маслов А.В., Гареев Э.З., Крупенин MT., Гареев Э.З. // Литология и полезные ископаемые. 2003. № 5, с. 502–525.
- Янчат Н.Н., Тас-оол Л.Х. // Химия твердого топлива. 2021. № 1. С. 29–39.
- Яковлев И.Ю., Гаврилин К.В. и др. Изучение вещественного состава и метаморфизма углей юрской формации Тувинской АССР. Отчет Угольной партии по теме Б.П.2/108(13)473 за 1985–87 гг. Красноярск, 1987. Кызыл. ТФИ по РТ, № 1941.
Дополнительные файлы




