Изменение реологических характеристик композиции с двумя гелеобразующими компонентами
- Авторы: Кожевников И.С.1, Богословский А.В.1
-
Учреждения:
- Институт химии нефти СО РАН
- Выпуск: № 2 (2024)
- Страницы: 81-85
- Раздел: Статьи
- URL: https://ogarev-online.ru/0023-1177/article/view/265452
- DOI: https://doi.org/10.31857/S0023117724020135
- EDN: https://elibrary.ru/OLMAFO
- ID: 265452
Цитировать
Полный текст
Аннотация
Представлены результаты реологических измерений состава с двумя гелеобразующими компонентами, полученные в ротационном режиме и режиме осцилляции при различных температурах. Охарактеризована кинетика процесса образования геля, оценена прочность сформировавшейся структуры. Определены точки гелеобразования и значения модуля упругости геля.
Ключевые слова
Полный текст
В условиях роста доли трудноизвлекаемых запасов актуальны работы, посвященные физико-химическим методам повышения нефтеотдачи пластов [1–5]. В пласт закачиваются специально разработанные гелеобразующие составы, обеспечивающие ограничение водопритока в добывающие скважины, выравнивание профиля приемистости для нагнетательных скважин, а также создание в пласте гелевых экранов для перераспределения фильтрационных потоков. Эти мероприятия проводятся, как правило, на месторождениях, находящихся на поздней стадии разработки, направлены на повышение коэффициента нефтеизвлечения, приводят к снижению обводненности добываемой продукции [3–9].
Гель-технологии находят применение и в других областях народного хозяйства. Так, разрабатываются составы для укрепления плотин, ликвидации прорывов пара в шахты при добыче полезных ископаемых. Предложены технологии использования криотропных гелей для укрепления многолетнемерзлых грунтов при строительстве дорог и объектов магистральных трубопроводов в условиях Арктики [10], при производстве твердых топливных брикетов [11, 12].
Используемые в нефтедобыче для перераспределения фильтрационных потоков гелеобразующие составы (ГОС) в поверхностных условиях являются маловязкими ньютоновскими жидкостями и теряют текучесть после закачки в пласт. По составу ГОС делятся на неорганические и полимерные, по механизму действия – на бинарные (образуют гель при смешении компонентов), термотропные (образуют гель при изменении температуры) и смешанного типа.
Превращение жидкости в нетекучее твердообразное тело отслеживается, как правило, путем реологических измерений. При этом в ротационном режиме движения пробного тела возможно разрушение формирующейся структуры, при использовании вибрационных вискозиметров, либо реометров, работающих в режиме осцилляции структура формирующегося геля не разрушается [13–16].
В настоящей работе представлены результаты реокинетических измерений разработанной в ИХН СО РАН композиции, в составе которой содержатся два гелеобразующих компонента – полимерный и неорганический. Эта композиция относится к ГОС смешанного типа, полимерный гель образуется при нагревании. Неорганическая составляющая начинает структурироваться сразу после смешения компонентов, с повышением температуры гелеобразование идет быстрее. Такое сочетание компонентов обеспечивает образование наноструктурированной системы “гель в геле” с улучшенными структурно-механическими свойствами [17]. Эксперименты проводили на реометре HAAKE Viscotester IQ с использованием системы коаксиальных цилиндров СС25; поддержание заданной температуры образца осуществлялось встроенным в измерительный блок элементом Пельтье.
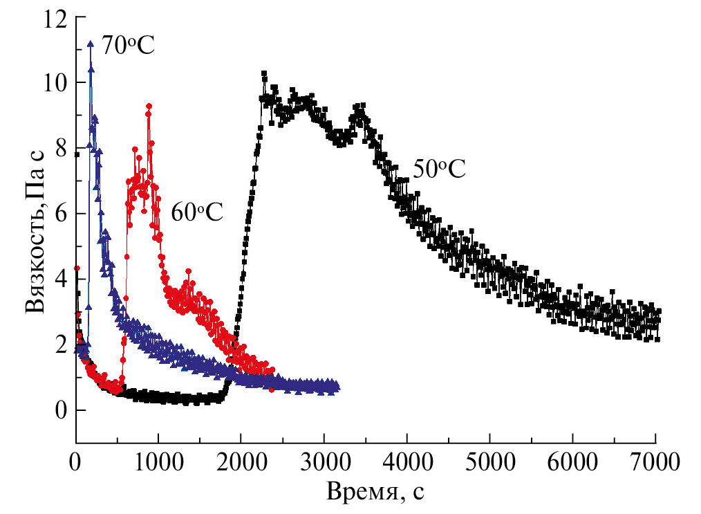
На рис. 1 представлены зависимости вязкости от времени, полученные в ротационном режиме при постоянной скорости сдвига (3 с–1) при 50, 60 и 70°С. Общий вид зависимостей для различных значений температуры идентичен, можно выделить несколько характерных участков: 1 – начальный участок, на котором происходит снижение вязкости, обусловленное прогревом образца от 23°С (температура приготовления раствора) до температуры эксперимента, 2 – участок практически не меняющейся вязкости (наиболее выражен для 70°С), 3 – резкий рост вязкости, связанный с началом в системе процесса образования геля, и 4 – квазипериодический поли экстремальный фрагмент кривой, обусловленный разрушением формирующегося геля вращающимся цилиндром реометра. Время начала гелеобразования, определенное по резкому росту вязкости, при 70°С составляет 190 с, при 60°С – 550 с, при 50°С – 1900 с. С повышением температуры гель образуется быстрее, поскольку в исследуемой системе присутствует термотропный (полимерный) компонент. С другой стороны, скорость гелеобразования компонентов бинарной системы также увеличивается с ростом температуры, т.к. по мере прогрева раствора подвижность молекул повышается.
Рис. 1. Зависимости вязкости от времени, полученные в ротационном режиме при постоянной скорости сдвига (3 с–1) при 50, 60 и 70°С
Для более полной характеристики кинетики процесса и свойств сформировавшегося геля рассмотрим результаты, полученные в режиме осцилляции при частоте 1 Гц. Поскольку мерой разрушения структуры является величина деформации, удобно работать в режиме осцилляции с контролируемой деформацией, когда в результате измерений определяется величина напряжения сдвига и угла смещения фаз.
На рис. 2 приведены результаты амплитудного теста. По горизонтальной оси отложена величина амплитуды деформации в долях от единицы (безразмерная величина), по вертикальной – значения модулей накопления и потерь (Па). По результатам амплитудного теста определен диапазон линейной вязкоупругости, как область значений амплитуды деформации, при которых графики модулей накопления и потерь параллельны оси абcцисс и cоставляет от 0.0045 до 0.12 (выделен на рис. 2). Для дальнейших экспериментов выбрано значение деформации 0.01.
Рис. 2. Результаты амплитудного теста сформировавшегося геля
На рис. 3 представлены временные зависимости модуля упругости Gʹ, модуля потерь (вязкости) Gʹʹ и модуля комплексной вязкости |η*|, зарегистрированные при постоянном значении амплитуды деформации γ = 0.01 для исследуемой композиции при 50, 60 и 70°С. Общий вид кривых с повышением температуры не изменяется, при этом время выхода модуля Gʹ, а также Gʹʹ и модуля комплексной вязкости на максимум сокращается с ростом температуры, так как сокращается время гелеобразования, реакция в системе идет быстрее, а также увеличивается величина регистрируемых максимумов Gʹ (а также Gʹʹ), соответствующих левым горизонтальным участками кривых. В рассматриваемом случае величины модулей Gʹ и Gʹʹ с течением времени изменяются симбатно, для характеристики динамики гелеобразования и оценки структурно-механических свойств формирующегося геля достаточно рассмотреть характер изменения величины модуля упругости. Регистрируемые при частоте 1 Гц и величине деформации 0.01 зависимости модуля упругости Gʹ (наряду с зависимостями Gʹʹ и комплексной вязкости), зафиксированные в режиме контроля деформации, могут быть использованы для оценки динамики реологических свойств образца, для оценки времени гелеобразования, для оценки прочности сформировавшейся структуры.
Рис. 3. Временные зависимости Gʹ, Gʹʹ и модуля комплексной вязкости |η*|, полученные в осцилляционном режиме при частоте 1 Гц, постоянном значении амплитуды деформации (0.01) при 50 (а), 60 (б) и 70°С (в)
На рис. 4 представлены зависимости, отражающие кинетику модуля упругости Gʹ для исследуемого ГОС при 50, 60, 70°С. С повышением температуры сокращается время образования геля, а также повышается прочность сформированной структуры (о чем свидетельствует увеличение максимального значения модуля Gʹ). Индукционный период, зарегистрированный для образца при 50°С, с 650 до 750 с по оси времени, практически полностью исчезает на зависимости, полученной для того же образца при 70°С. Промежуточный экстремум модуля упругости в представленном масштабе отчетливо виден на кривой, соответствующей 50°С, отсутствует на зависимостях, полученных для более высоких температур. Время начала гелеобразования, определенное по резкому росту модуля упругости, при 70°С составляет 200 с, при 60°С – 570 с, при 50°С – 1920 с, эти значения близки к определенным ранее из анализа кривых рис. 1. С учетом погрешности графического метода определенные значения совпадают с независимо полученными результатам определения точки потери текучести визуальным методом по подвижности образца в пробирке. С повышением температуры максимальное значение модуля упругости сформировавшегося геля возрастает, и составляет 8750 Па для 50°С, 11 600 Па – для 60°С, и 14 700 Па – для 70°С. Увеличение Gʹ с ростом температуры может быть связано с упрочнением термотропной составляющей геля.
Рис. 4. Кинетика модуля упругости Gʹ при 50, 60, 70°С
Таким образом, для исследованного ГОС смешанного типа с двумя гелеобразующими агентами в ротационном режиме получены вязкостно-временные зависимости; в осцилляционном режиме по результатам амплитудного теста определен диапазон линейной вязкоупругости, а также получены временные зависимости модуля упругости Gʹ, модуля потерь Gʹʹи модуля комплексной вязкости |η*|. Из анализа указанных реокинетических зависимостей и независимо визуальным методом определены точки гелеобразования при различных температурах. Охарактеризована кинетика процесса и прочность сформировавшейся структуры, определены максимальные значения модуля упругости и их зависимость от температуры.
ФИНАНСИРОВАНИЕ РАБОТЫ
Работа выполнена в рамках государственного задания ИХН СО РАН, финансируемого Министерством науки и высшего образования Российской Федерации (НИОКТР № 121031500048-1).
КОНФЛИКТ ИНТЕРЕСОВ
Авторы данной работы заявляют, что у них нет конфликта интересов.
Об авторах
И. С. Кожевников
Институт химии нефти СО РАН
Автор, ответственный за переписку.
Email: www.tsu@gmail.com
Россия, Томск
А. В. Богословский
Институт химии нефти СО РАН
Email: bav@ipc.tsc.ru
Россия, Томск
Список литературы
- Муслимов Р.Х. Нефтеотдача – прошлое, настоящее, будущее. Казань: Изд-во “ФЭН”. 2012. 664 с.
- Romero-Zeron L. Chemical Enhanced Oil Recovery (cEOR) – a Practical Overview. London: InTechOpen Limited. 2016. 200 p. https://doi.org/10.5772/61394
- Алтунина Л.К., Кувшинов В.А. Успехи химии. 2007. Т. 76. № 10. C. 1034.
- Алтунина Л.К., Кувшинов В.А., Стасьева Л.А., Кувшинов И.В. // Химия в интересах устойчивого развития. 2018. Т. 26. № 3. С. 261–277. https://doi.org/10.15372/KhUR20180303
- Муслимов Р.Х. Повышение нефтеотдачи пластов – приоритетное направление развития нефтяной отрасли современной России. Нефть. Газ. Новации. 2013. № 4 (171). С. 63.
- Рузин Л.М., Морозюк О.А., Дуркин С.М. // Нефтяное хозяйство. 2013. № 8. С. 51.
- Алтунина Л.К., Кувшинов В.А., Стасьева Л.А., Кувшинов И.В. // Георесурсы. 2019. № 21 (4). С. 103. https://doi.org/10.18599/grs.2019.4.103-113
- Кувшинов И.В., Кувшинов В.А., Алтунина Л.К. // Нефтяное хозяйство. 2017. № 1. С. 44.
- Alvarado V., Manrique E. // Energies. 2010. V. 3. № 9. P. 1529–1575. https://doi.org/10.3390/en3091529
- Алтунина Л.К., Бурков В.П., Бурков П.В., Дудников В.Ю., Осадчая Г.Г., Овсянникова В.С., Фуфаева М.С. // Наука и технологии трубопроводного транспорта нефти и нефтепродуктов. 2020. Т. 10. № 2. С. 173. https://doi.org/10.28999/2541-9595-2020-10-2-173-185
- Фуфаева М.С., Алтунина Л.К., Манжай В.Н., Буяков А.С. // ХТТ. 2021. № 3. С. 24. https://doi.org/10.31857/S0023117721030063
- Фуфаева М.С., Манжай В.Н. // ХТТ. 2023. № 2–3. С. 5. https://doi.org/10.31857/S0023117723020032
- Колешко В.М., Сунка В.Я., Полынкова Е.В., Крупская Е.В. Проектирование интеллектуальных сенсорных систем измерения вязкости. Минск: изд-во БНТУ. 2010. 81 с.
- Крутин В.Н. Колебательные реометры. М.: Машиностроение. 1985. 160 с.
- Малкин А.Я. Основы реологии. СПб.: ЦОП “Профессия”. 2018. 336 с.
- Шрамм Г. Основы практической реологии и реометрии. М.: Колосс. 2003. 311 c.
- Чернова У.В., Козлов В.В., Алтунина Л.К., Стасьева Л.А., Кувшинов В.А., Шолидодов М.Р. Низкотемпературные композиции с двумя гелеобразующими компонентами для ограничения водопритока и увеличения нефтеотдачи // Материалы, технологии и техника для освоения Арктики и Сибири: cб. тез. III Междунар. конф. 25–28 сентября 2019 г. Томск: Томск: Изд-во ТГУ, 2019. С. 47.
Дополнительные файлы






