Постпирогенные изменения микрофлоры и химического состава болотных вод осушенного участка Бакчарского болота (Томская область)
- Авторы: Овсянникова В.С.1, Харанжевская Ю.А.2,3, Синюткина А.А.2
-
Учреждения:
- Институт химии нефти СО РАН
- Сибирский научно-исследовательский институт сельского хозяйства и торфа Россельхозакадемии
- Национальный исследовательский Томский государственный университет
- Выпуск: № 2 (2024)
- Страницы: 68-74
- Раздел: Статьи
- URL: https://ogarev-online.ru/0023-1177/article/view/265450
- DOI: https://doi.org/10.31857/S0023117724020117
- EDN: https://elibrary.ru/OLNTNH
- ID: 265450
Цитировать
Полный текст
Аннотация
Проведен сравнительный анализ изменения микробиологического и химического состава воды и торфа фонового и постпирогенного участков осушенного Бакчарского болота в течение вегетационного сезона 2022 г. Показано, что в верхнем слое (до 50 см) на горелом участке даже через шесть лет после пожара сохраняется его влияние: нарушена сезонная динамика содержания ряда компонентов (O2, CO2, NH+4, NO–3), численности микрофлоры разных физиологических групп – аммонифицирующей, педотрофной, олиготрофной, углеводородокисляющей, целлюлозоразрушающей, денитрифицирующей, сульфатредуцирующей. Кроме того, на фоновом и постпирогенном участках отличаются корреляционные связи между анализируемыми микробиологическими и физико-химическими параметрами, что говорит о долгосрочном влиянии пирогенного воздействия на процессы накопления-деструкции органического вещества.
Полный текст
ВВЕДЕНИЕ
Исследование закономерностей и особенностей функционирования микробиоценозов в специфических условиях болотных экосистем могут дать представления о направленности биохимических процессов в торфяной залежи и их влиянии на состав органического вещества торфа. Однако в настоящее время данные о динамике численности микроорганизмов в торфах и факторах, влияющих на нее, немногочисленны. Один из меняющих состояние биоценозов факторов – пожары, особенно уязвимыми к которым являются осушенные торфяники, так как осушенный торф может гореть по всей толщине с выделением токсичных продуктов, попадающих в воздух, воду и почву. Долговременными последствиями являются снижение запаса органического вещества, увеличение рН болотных вод и обогащение их зольными соединениями, ускорение процессов минерализации органического вещества, деградация растительного сообщества и, как следствие, вторичное выделение парниковых газов [1, 2].
Постпирогенные изменения болотных биоценозов исследовали многие коллективы [3–5], однако микрофлору и физико-химические характеристики воды и торфа на выгоревших участках осушенных торфяников ранее не исследовали.
В данной работе приведены результаты сравнительных анализов микробиологических и физико-химических характеристик торфа и болотных вод на выгоревшем и неповрежденном осушенных участках Бакчарского болота на протяжении вегетационного сезона 2022 г., через шесть лет после сильного пожара.
МАТЕРИАЛЫ И МЕТОДЫ
Бакчарское водораздельное болото (северо-восточные отроги Большого Васюганского болота) расположено в междуречье рек Бакчар и Икса (бассейн реки Чая) в Бакчарском районе Томской области. Для него характерна типичная для лесоболотной зоны Западной Сибири смена ландшафтов: верховой болотный массив с переходными и низинными окраинами, заболоченные березово-сосновые, березово-еловые леса и обводненная речная долина. Мелиоративные работы, проводимые на участке Бакчарского болота с 1970-х годов, стали одной из причин лесных и торфяных пожаров.
Пробы торфа отбирали на территории осушенного участка раз в месяц с апреля по сентябрь 2022 г. с двух точек: выгоревший в 2016 г. участок (П) и фоновый осушенный участок (Ф), с глубин 0–25 и 25–50 см с помощью торфяного бура. Воды для химических анализов отбирали из стационарных скважин глубиной 1 м в непосредственной близости от мест отбора торфа, после предварительного вычерпывания стоящей воды, для исключения влияния атмосферных осадков.
Метеорологические условия фиксировали автономными сенсорными датчиками температуры, скорости ветра, влажности воздуха и жидких атмосферных осадков, установленными на высоте 2 м на стационарных точках наблюдения Васюганского болота.
Влажность образцов торфа определяли по ГОСТ 28268-89. Эти значения использовали для последующего пересчета содержания микрофлоры в образцах с разной влажностью на 1 г сухого торфа.
Болотные воды анализировали по ряду показателей: температуру воды, рН, O2, СО2 определяли в полевых условиях после отбора, остальной объем пробы консервировали хлороформом для последующего определения NO–3, NH+4, соляной кислотой для определения Feобщ. Содержание растворенного O2 в болотных водах определяли оксиметром HI 9146 фирмы “HANNA” (Германия). Величину рН измеряли полевым прибором рН-200 фирмы “HM Digital” (South Korea), окислительно-восстановительный потенциал (Eh) – с помощью полевого прибора ORP-200 “HM Digital” (South Korea). Содержание растворенного углекислого газа определяли титрованием проб раствором NaOH в присутствии сегнетовой соли и индикатора фенолфталеин (ФР.1.31.2005.01580).
Концентрацию HCO3–, Cl– в воде устанавливали титриметрическим методом, Feобщ, NO–3, NH+4, SO42– – спектрофотометрическим методом, концентрацию ионов К+, Na+ – методом пламенной фотометрии (ПФА-378, Россия). Минерализацию вод (М) оценивали по сумме ионов, химическое потребление кислорода (ХПК) в болотных водах определяли согласно [6].
В пробах торфа определяли содержание микрофлоры разных физиологических групп: аммонифицирующей (АМ) – на мясопептонном агаре [7]; педотрофной (ПМ), разрушающей гуминовые вещества – на почвенном агаре; олиготрофной (ОМ), нуждающейся в минимальных концентрациях углерода и азота, – на голодном агаре [8]; углеводородокисляющих бактерий (УОБ) – на агаризованной среде Мюнца с нефтью в качестве единственного источника углерода и энергии [6]; целлюлозоразрушающей микрофлоры (ЦМ) – на агаризованной минеральной среде Омелянского с бумажным фильтром [8]; анаэробных серувосстанавливающих бактерий (СВБ), использующих сульфат-ион в качестве терминального акцептора электронов и восстанавливающих сульфаты до сульфидов, – на среде Таусона [9]; денитрифицирующих бактерий (ДНБ), использующих нитрат-ион в качестве терминального акцептора электронов, на среде Гильтая [6].
Для установления взаимосвязей анализируемых показателей рассчитывали парные коэффициенты между всеми показателями статистическими методами в Microsoft Office Excel 2007.
ОБСУЖДЕНИЕ РЕЗУЛЬТАТОВ
Анализ климатических наблюдений за сезон 01.10.2021 г.–30.09.2022 г. показал, что среднегодовая температура воздуха составила +1.72... +1.83°С, весенний переход средних температур воздуха выше 0°С отмечен в начале апреля, среднемесячная температура в апреле составила +4.70°С, а в самых теплых месяцах, июне, июле, – +15.4 и +17.5°С соответственно. С начала августа началось устойчивое снижение температуры воздуха, первые заморозки отмечены в конце сентября.
За период апрель–сентябрь 2022 г. выпало около 376 мм осадков в жидком виде, бо́льшая часть из них пришлась на июнь–июль.
Средняя скорость ветра на участках наблюдений составила 1.43 м/с, наибольшая скорость отмечена в переходные месяцы сезонов года (октябрь–ноябрь, февраль–март), максимальная скорость ветра была равна 4.36 м/с. В летний период скорость ветра снизилась до 0.15–3.31 м/с.
Влажность воздуха на участках наблюдений за 2022 г. в среднем составила 90%. Наибольшая среднемесячная влажность воздуха отмечена в ноябре–марте (95%), минимальная – в апреле–мае (52–76%). С июня по сентябрь отмечен рост влажности с 69 до 100%, за счет обильных осадков.
Химический анализ болотных вод показал, что концентрация растворенного кислорода и углекислого газа в водах фонового и горелого участка изменялась неодинаково: в воде фонового участка максимальная концентрация О2 (3.58 мг/л) отмечена в период снеготаяния в апреле, а в сентябре – снизилась до нуля. Динамика концентрации СО2 в воде фонового участка имела похожую форму (рис. 1, а). В воде на месте после пожара повышенным концентрациям О2 соответствовали минимальные количества СО2, и их содержание менялось скачкообразно (рис. 1, б).
Рис. 1. Изменение концентрации растворенного О2 и СО2 в болотных водах осушенного фонового (а) и постпирогенного (б) участков Бакчарского болота в течение сезона
Сезонные закономерности изменения ХПК и Eh болотных вод фонового и постпирогенного участков отличались сниженной ХПК на постпирогенном участке в начале анализируемого периода, затем картина была сходной до конца сезона (рис. 2а, б).
Рис. 2. Изменение ХПК и Eh в болотных водах осушенного фонового (а) и постпирогенного (б) участков Бакчарского болота в течение сезона
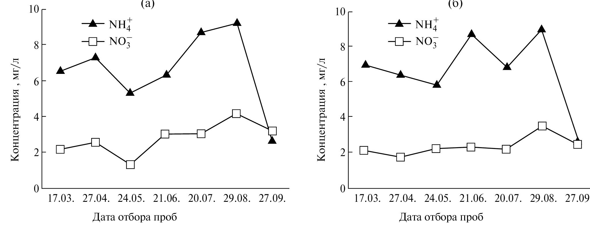
Содержание иона аммония и нитрат-иона в воде фонового и постпирогенного участков менялось в течение сезона сходным образом, с максимальными значениями в июне–августе и снижением до минимума в конце сентября (рис. 3а, б).
Рис. 3. Изменение концентрации NH4+ NO3– в болотных водах осушенного фонового (а) и постпирогенного (б) участков Бакчарского болота в течение сезона
Микробиологический анализ торфа на протяжении вегетационного сезона 2022 г. показал, что численность микрофлоры в пробах фонового и постпирогенного участков менялась различным образом. Для фонового участка максимальные количества всех групп, кроме целлюлозоразрушающей, отмечены в августе и сентябре, минимальные – в июне и июле (рис. 4–6). На участке после пожара, напротив, численность аммонифицирующей и целлюлозоразрушающей микрофлоры достигала максимума в летние месяцы, снижаясь к концу сезона. В целом, на постпирогенном участке численность микрофлоры всех групп чаще была ниже, чем на неповрежденном участке.
Рис. 4. Динамика численности аммонифицирующей (а) и педотрофной (б) микрофлоры в торфе осушенного фонового и постпирогенного участков Бакчарского болота в течение сезона 2022 г.
Рис. 5. Динамика численности олиготрофных (а), целлюлозоразрушающих (б) и углеводородокисляющих (в) бактерий в торфе осушенного фонового и постпирогенного участков Бакчарского болота в течение сезона 2022 г.
Рис. 6. Динамика численности денитрифицирующих (а) и сульфатредуцирующих (б) бактерий в торфе осушенного фонового и постпирогенного участков Бакчарского болота в течение сезона 2022 г.
Для выявления связи микробиологических и физико-химических показателей рассчитаны коэффициенты корреляции между исследуемыми параметрами (табл. 1, 2). Показано, что для фонового участка осушенного болота очень сильная корреляционная связь (коэффициент 0.9–1.0) была между микрофлорой четырех групп: аммонифицирующей, педотрофной, олиготрофной и денитрифицирующей, а также между численностью целлюлозоразрушающей микрофлооры и концентрацией сульфат-иона. Высокая связь (коэффициент корреляции 0.7–0.9) отмечена между численностью сульфатредуцируюих бактерий и другими группами микрофлоры, а также между численностью аммонифицирующих и сульфатредуцирующих бактерий с концентрацией нитрат-иона (табл. 1).
Таблица 1. Коэффициенты корреляции между микробиологическими и химическими параметрами для торфяной залежи осушенного участка (фон)
Параметр | АМ | ПМ | ОМ | УОБ | ЦМ | СВБ | ДНБ |
ПМ | 1.00 | 1.00 | |||||
ОМ | 1.00 | 1.00 | 1.00 | ||||
УОБ | 1.00 | 1.00 | 1.00 | 1.00 | |||
ЦМ | –0.49 | –0.45 | –0.47 | –0.47 | 1.00 | ||
СВБ | 0.83 | 0.78 | 0.80 | 0.81 | –0.64 | 1.00 | |
ДНБ | 0.99 | 1.00 | 1.00 | 1.00 | –0.44 | 0.76 | 1.00 |
NH4+ | 0.45 | 0.52 | 0.49 | 0.48 | –0.16 | –0.04 | 0.54 |
NO3– | 0.70 | 0.67 | 0.68 | 0.69 | –0.77 | 0.70 | 0.67 |
SO42– | –0.48 | –0.44 | –0.46 | –0.46 | 0.98 | –0.59 | –0.44 |
HCO3– | –0.36 | –0.32 | –0.34 | –0.34 | 0.48 | –0.48 | –0.31 |
М | –0.04 | 0.02 | –0.01 | –0.01 | 0.55 | –0.39 | 0.03 |
рН | –0.06 | –0.04 | –0.05 | –0.05 | 0.82 | –0.16 | –0.04 |
O2 | –0.40 | –0.34 | –0.37 | –0.38 | 0.21 | –0.72 | –0.32 |
Eh | –0.29 | –0.23 | –0.26 | –0.27 | 0.28 | –0.57 | –0.22 |
ХПК | –0.17 | –0.19 | –0.18 | –0.18 | –0.55 | –0.05 | –0.19 |
СO2 | –0.09 | –0.01 | –0.04 | –0.06 | –0.06 | –0.52 | 0.01 |
T, °C | 0.41 | 0.41 | 0.41 | 0.41 | –0.82 | 0.38 | 0.41 |
Таблица 2. Коэффициенты корреляции между микробиологическими и химическими параметрами для торфяной залежи осушенного участка через шесть лет после пожара
Параметр | АМ | ПМ | ОМ | УОБ | ЦМ | СВБ | ДНБ |
ПМ | 0.79 | 1.00 | |||||
ОМ | 0.99 | 0.80 | 1.00 | ||||
УОБ | 0.92 | 0.81 | 0.92 | 1.00 | |||
ЦМ | –0.17 | 0.07 | –0.08 | –0.25 | 1.00 | ||
СВБ | –0.11 | –0.13 | –0.18 | –0.15 | –0.57 | 1.00 | |
ДНБ | 0.95 | 0.58 | 0.93 | 0.85 | –0.30 | 0.04 | 1.00 |
NH4+ | 0.74 | 0.75 | 0.77 | 0.73 | 0.26 | –0.71 | 0.53 |
NO3– | 0.84 | 0.41 | 0.82 | 0.61 | -0.22 | 0.13 | 0.92 |
SO42– | –0.18 | –0.29 | –0.10 | –0.24 | 0.67 | –0.21 | –0.05 |
HCO3– | –0.37 | –0.30 | –0.29 | –0.47 | 0.88 | –0.33 | –0.35 |
М | –0.15 | –0.14 | –0.07 | –0.34 | 0.92 | –0.53 | –0.20 |
рН | –0.37 | –0.45 | –0.36 | –0.11 | –0.25 | 0.31 | –0.14 |
O2 | –0.24 | 0.28 | –0.26 | –0.04 | –0.13 | 0.01 | –0.47 |
Eh | –0.62 | –0.48 | –0.55 | –0.53 | 0.65 | –0.68 | –0.67 |
ХПК | 0.21 | 0.12 | 0.12 | 0.12 | –0.72 | 0.31 | 0.16 |
СO2 | 0.71 | 0.38 | 0.72 | 0.42 | 0.15 | –0.37 | 0.65 |
T, °C | 0.36 | –0.05 | 0.34 | 0.01 | –0.05 | –0.13 | 0.39 |
Средняя связь (коэффициент 0.5–0.7) установлена для концентраций иона аммония с количеством педотрофных и денитрифицирующих бактерий, нитрат-иона с численностью олиготрофных и углеводородокисляющих бактерий, а также для минерализации с целлюлозоразрушающими микроорганизмами.
Отрицательная корреляция (коэффициент от –0.5 до –0.9) установлена для групп целлюлозоразрушающей микрофлоры с содержанием СВБ, нитрат-иона, ХПК и температурой торфа, а также СВБ с содержанием сульфат-иона, растворенного кислорода и окислительно-восстановительного потенциала.
Постпирогенное воздействие изменило связи между показателями: снизилась корреляция между содержанием групп аммонифицирующей, педотрофной и денитрифицирующей микрофлоры, а связь этих групп с целлюлозоразрушающей и сульфатредуцирующей микрофлорой исчезла (табл. 2). Отмечена закономерно высокая связь между содержанием нитрат-иона и группой ДНБ; между ионом аммония и всеми группами микрофлоры, кроме целлюлозоокисляющей и СВБ; Eh, содержанием сульфат-иона и гидрокарбонатов с целлюлозоокисляющей группой; содержанием растворенного СО2 с олиготрофной и денитрифицирующими группами.
Отрицательная корреляция (коэффициент от –0.5 до –0.9) на постпирогенном участке была установлена для ОВП и всех групп микрофлоры, кроме педотрофной и целлюлозоразрушающей; содержания СВБ с минерализацией, ОПВ и ионом аммония.
ЗАКЛЮЧЕНИЕ
В целом, по прошествии шести лет после сильного пожара постпирогенное воздействие на осушенном участке торфяной залежи проявилось в нарушении сезонной динамики физико-химических и микробиологических показателей относительно фона: снижении численности микрофлоры в весенне-летние месяцы, смещении максимумов и минимумов концентраций отдельных компонентов (O2, CO2, NH+4, NO–3) и численности микрофлоры на другие периоды, изменении характера и тесноты связи между анализируемыми параметрами.
ФИНАНСИРОВАНИЕ РАБОТЫ
Работа выполнена в рамках государственного задания ИХН СО РАН (НИОКТР 121031500046-7), финансируемого Министерством науки и высшего образования Российской Федерации.
КОНФЛИКТ ИНТЕРЕСОВ
Авторы данной работы заявляют, что у них нет конфликта интересов.
Об авторах
В. С. Овсянникова
Институт химии нефти СО РАН
Автор, ответственный за переписку.
Email: varja@ipc.tsc.ru
Россия, Томск
Ю. А. Харанжевская
Сибирский научно-исследовательский институт сельского хозяйства и торфа Россельхозакадемии; Национальный исследовательский Томский государственный университет
Email: kharan@yandex.ru
Россия, Томск; Томск
А. А. Синюткина
Сибирский научно-исследовательский институт сельского хозяйства и торфа Россельхозакадемии
Email: varja@ipc.tsc.ru
Россия, Томск
Список литературы
- Данилова О.В., Белова С.Э., Куличевская И.С., Дедыш С.Н. // Микробиология. 2015. Т. 84. № 5. С. 546552. https://doi.org/10.7868/S0026365615050043
- Маслов М.Н., Маслова О.А., Копеина Е.И // Почвоведение. 2020. № 3. С. 330–339. https://doi.org/10.31857/S0032180X20030041
- Соловьев C. В. Экологические последствия лесных и торфяных пожаров: Автореф. дис. канд. техн. наук. М., 2006. 28 с.
- Гашкова Л.П. Геосферные исследования. // 2022. № 1. С. 118–125. https://doi.org/10.17223/25421379/22/9
- Малащук А.А., Филиппов Д.А. Трансформация экосистем. 2021. № 4 (1). С. 104–121. https://doi.org/10.23859/estr-200512
- Романенко В.И., Кузнецов С.И. Экология микроорганизмов пресных вод: лабораторное руководство. М.: Наука, 1974 г. 194 с.
- Терещенко Н.Н., Акимова Е.Е., Минаева О.М. Современные методы оценки микробиологических свойств и экологического статуса почвы: практикум. Томск: Изд. дом ТГУ, 2017. 152 с.
- Звягинцев Д.Г. Методы почвенной микробиологии и биохимии. М.: Изд-во МГУ, 1991. 304 с.
- Бабьева И.П., Зенова Г.М. Биология почв. М.: Изд-во МГУ, 1983. 248 с.
Дополнительные файлы








