Using the Event Matrix for Chorus from the Lower Frequency Band to Determine Some Characteristics of Their Excitation Mechanism
- Authors: Bespalov P.A.1,2, Savina O.N.2, Neshchetkin G.M.1,2
-
Affiliations:
- A.V. Gaponov-Grekhov Institute of Applied Physics of the Russian Academy of Sciences
- HSE University
- Issue: Vol 64, No 6 (2024)
- Pages: 737-749
- Section: Articles
- URL: https://ogarev-online.ru/0016-7940/article/view/283257
- DOI: https://doi.org/10.31857/S0016794024060028
- EDN: https://elibrary.ru/QOURUQ
- ID: 283257
Cite item
Full Text
Abstract
The work is devoted to studying the quantitative characteristics of the mechanism of excitation of VLF chorus emissions by means the analysis of high-resolution data from the Van Allen Probe spacecraft. A typical example of chorus with spectral forms in the lower frequency band (below half the electron cyclotron frequency) in the region of the local minimum of the magnetic field behind the plasmapause in the middle magnetosphere has been chosen. The results of wave field measurements in a high-resolution data channel are presented in the form of a rectangular event matrix, each row of which corresponds to one cycle of the wave process. In the event matrix, rows are selected that correspond to those implementation fragments that clearly characterize the natural source of short electromagnetic pulses origin. This made it possible to determine the complex eigen-values of the characteristic equation of the source at the linear stage of excitation of the chorus. The values of the roots of the characteristic equation, established by analyzing the observation data of chorus, correspond to implementation of the mechanism for exciting chorus by amplifying noise electromagnetic pulses in enhanced ducts.
Full Text
ВВЕДЕНИЕ
Хорошо известно, что за плазмопаузой обычно в утреннем и предполуденном секторах средней магнитосферы Земли после магнитных возмущений возбуждаются электромагнитные хоровые излучения с частотами порядка нескольких килогерц и периодами повторения дискретных элементов в десятые доли секунды. Согласно данным наблюдений с космических аппаратов CLUSTER, THEMIS и Van Allen Probes хоры возбуждаются в области, имеющей форму “сигары” длиной порядка l = (1 − 2) × 108 см и средним диаметром d = (1 − 3) × 107 см [Bell et al., 2009; Agapitov et al., 2017] вблизи локального минимума магнитного поля. Обычно динамический спектр хоров наблюдается в нижней, верхней или двух этих частотных полосах, разделенных зазором, расположенным немного ниже половины минимальной электронной циклотронной частоты для рассматриваемой магнитной трубки. Благодаря высокой энергетике в обширных областях возбуждения хоры оказывают существенное влияние на различные характеристики космической погоды [Summers et al., 1998; Meredith et al., 2003; Bortnik et al., 2008].
Сотни публикаций посвящены различным аспектам теории возбуждения хоров при развитии циклотронной неустойчивости в плазме с высокой анизотропией функции распределения энергичных электронов (см., например, [Trakhtengerts, 1995; Omura et al., 2008; Fu et al., 2014]). Отметим, что некоторые важные общие результаты о роли волноводного распространения для возбуждения хоров приведены в статье [Bell et al., 2009]. Для хоров в магнитосфере типично быстрое изменение частоты, которое может соответствовать спектральным элементам с растущей или падающей частотой. Обычно предполагается, что быстрое изменение частоты обусловлено нелинейным взаимодействием волн и частиц на циклотронном резонансе [Omura et al., 2008]. Одномерные численные PIC (particle-in-cell) симуляции, предполагающие строго продольное распространение электромагнитных волн вдоль дипольного магнитного поля, успешно воспроизводят спектральные элементы с быстро меняющимися частотами [Chen et al., 2023]. Симуляции дают подходящие результаты при анизотропии температур T⊥ / T|| = 6 − 8, которая существенно превосходит наблюдаемые значения. Проблема высокой анизотропии функции распределения была частично решена в статье [Katoh and Omura, 2016], где расчеты выполнены при анизотропии температур T⊥ / T|| = 3,5, но для электронов с энергиями порядка 100 кэВ. Воспроизводимые в расчетах спектральные элементы не имеют экспериментально наблюдаемого зазора вблизи половины минимальной электронной циклотронной частоты. Специальные случаи возбуждения хоров заслуживают самостоятельного обсуждения. Например, возможны хоры без зазора [Kurita et al., 2012]. Вместе с тем не редко встречаются хоры со спектральными элементами преимущественно в верхней частотной полосе. О хорах в верхней спектральной полосе есть, например, исследование [Gao et al., 2016], в котором предполагается, что излучение в верхней спектральной полосе может формироваться как вторая гармоника излучений нижней спектральной полосы. Однако эта возможность вряд ли может быть реализована для всплесков хоров, в которых отсутствуют интенсивные излучения в нижней спектральной полосе. Важно, что согласно данным наблюдения с космического аппарата THEMIS возбуждение интенсивных и быстро меняющихся хоров в дневной магнитосфере происходит в плазме с устойчивой функцией распределения энергичных электронов в пространстве скоростей [Zhou et al., 2015]. В статье [Bespalov and Savina, 2018] был предложен BPA (beam pulse amplifier) механизм возбуждения хоров, не связанный с высокой анизотропией функции распределения энергичных электронов. В целом, несмотря на привлечение продвинутых как аналитических, так и численных методов и отдельные достижения, проблема возбуждения хоров не имеет общепринятого решения. Пока не сформулированы даже ясные критерии проверки корректности линейной модели, лежащей в основе правильной теории.
Традиционно спектральный анализ является основным методом визуализации и анализа данных наблюдений о естественных электромагнитных излучениях свистового диапазона в магнитосфере [Helliwell, 1965]. Однако возможности спектрального анализа хоров ограничены по двум причинам. Динамический спектр дает только усредненную по длительности временного окна спектральной обработки характеристику излучений. Кроме того, по динамическому спектру излучений можно получить информацию преимущественно об интенсивной составляющей излучений и нет возможности анализировать важную низкоэнергичную стадию электродинамического процесса формирования излучений.
Современные данные наблюдений, полученные в процессе реализации миссии Van Allen Probe, позволяют по-новому подойти к проблеме анализа природы хоровых излучений. В рамках рассмотренного ниже матричного метода анализа данных о волновых излучениях мы определим комплексные собственные значения оператора, характеризующего линейный механизм возбуждения хоров. При таком подходе мы будем иметь возможность изучать тонкие характеристики временной динамики волновых возмущений в области возбуждения хоров.
В разделе 2 представлен типичный пример хоров в области их возбуждения по данным с космического аппарата Van Allen Probe A. В разделе 3 рассмотрен алгоритм формирования матрицы события для всплеска хоров. В разделе 4 с использованием матрицы события определены собственные значения характеристического уравнения, отвечающего линейной стадии возбуждения выбранного примера хоров. В разделе 5 проведено предварительное сравнение обработанных результатов анализа наблюдательных данных с выводами BPA-механизма возбуждения хоров. В разделе 6 суммированы результаты работы.
ВЫБРАННЫЙ ДЛЯ АНАЛИЗА ВСПЛЕСК ХОРОВ
Данная работа посвящена обсуждению результатов количественного анализа хоров в области их возбуждения вблизи локального минимума магнитного поля. Использование данных наблюдений из области возбуждения позволяет исключить влияние на результаты эффектов распространения электромагнитных волн. В качестве исходного материала анализа мы использовали данные наблюдений космического аппарата Van Allen Probe A, которые доступны на сайте: http://emfisis.physics.uiowa.edu/Flight/.
Хорошо известно, что хоры бывают с несколько разными спектральными формами. Выберем характерный пример всплеска хоров со спектральными формами в нижней частотной полосе. Это представляется особенно интересным потому, что при интерпретации таких излучений есть возможность сопоставить результаты, полученные на основе данных наблюдений, с теоретическими моделями, основанными как на циклотронном механизме генерации, так и на BPA- механизме усиления коротких импульсов.
Мы выбрали один типичный пример всплеска хоров из огромного набора данных с прибора EMFISIS (Electric and Magnetic Field Instrument Suite and Integrated Science), накопленных в процессе реализации миссии Van Allen Probe [Kletzing et al., 2013]. На рис. 1а, б показан динамический спектр излучений с низким и высоким временным разрешением. На этих рисунках белая линия показывает частоту,равную локальному значению половины электронной циклотронной частоты (1 / 2) fB, известной по данным EMFISIS магнитометра, стрелка указывает на короткий временной промежуток, для которого представлен спектр с высоким временным разрешением. Для анализа процесса с высоким временным разрешением мы использовали канал данных о результатах измерения компоненты магнитного поля BU вдоль оси U в UVW-системе координат, где ось W направлена вдоль оси вращения аппарата, U и V − это оси, которые дополняют систему координат до правой ортонормированной тройки. Установленный на борту космического аппарата прибор мог измерять волновые поля со сравнительно высоким временным разрешением: примерно 35 × 103 раз в секунду. Однако запись данных с таким высоким временным разрешением осуществлялась не непрерывно, и это обстоятельство мы учитывали при выборе места для стрелочки на рис. 1а. Отметим, что рассматриваемый всплеск хоров имел место 8 сентября 2019 г. при сравнительно низкой магнитной возмущенности Kp = 1.7 на магнитной оболочке L = 5.7 и местном времени 11 : 30 LT.
Рис. 1. Спектральные формы типичного всплеска хоров с низким (а) и высоким (б) временным разрешением. Белой линией показана половина локальной электронной циклотронной частоты.
МАТРИЧНЫЙ МЕТОД ПРЕДСТАВЛЕНИЯ ДАННЫХ НАБЛЮДЕНИЙ И РЕКОНСТРУКЦИЯ РЕШЕНИЙ ХАРАКТЕРИСТИЧЕСКОГО УРАВНЕНИЯ ДЛЯ МЕХАНИЗМА ЛИНЕЙНОГО ВОЗБУЖДЕНИЯ ХОРОВ
3.1. Фрагменты одномодового поведения волнового поля
Общая самосогласованная система уравнений, описывающая взаимодействие электромагнитных волн свистового диапазона и энергичных электронов в области возбуждения хоров, может быть записана в форме системы нелинейных автономных дифференциальных уравнений
, (1)
где p = 1, 2, ..., P. Для записи уравнений Максвелла и уравнений плазменной кинетики в области возбуждения хоров в виде системы уравнений (1) достаточно заменить все производные по координатам на малые конечные разности, предполагая наличие в пространстве координатной сетки. Состояние системы в произвольный момент времени определяет вектор-столбец u с компонентами up, включающими координаты и импульсы всех энергичных частиц в области взаимодействия с волнами, а также электрические и магнитные поля во всех узлах координатной сетки. Уравнения движения отдельных энергичных заряженных частиц под действием силы Лоренца и уравнения Максвелла определяют вид функций Fp в правой части системы (1), которые задают скорость изменения вектор-столбца up со временем и учитывают взаимодействие волн и частиц. Важным является вопрос о минимально возможной размерности системы при оптимальном выборе переменных, учитывающих как однородность плазменных параметров вблизи локального минимума магнитного поля, так и особенности актуального механизма взаимодействия волн и частиц. Согласно выводам, изложенным в статье [Bespalov et al., 2022], число таких уравнений может быть не слишком велико P ≤ 10. Известны примеры хоров, для описания которых достаточно системы трех уравнений вида (1).
Рассмотрим процессы вблизи состояния равновесия системы u10, ..., uP0, отвечающего нулевым производным по времени в системе (1). Данные наблюдений показывают, что отдельные фрагменты всплеска хоров обычно начинаются со слабых излучений, что указывает на наличие линейной стадии процесса вблизи состояния равновесия. Согласно данным наблюдений это состояние равновесия неустойчивое, так как хоры обычно не переходят в шипения и наоборот. Хорошо известно, что решение линеаризованной около состояния равновесия системы уравнений в форме (1) тесно связано с задачей на собственные значения и собственные функции. Общее решение линеаризованной системы можно записать как линейную комбинацию собственных функций.
В сравнительно малой сигарообразной области возбуждения хоров из-за малого времени нахождения пакета электромагнитных волн в области возбуждения и разлета энергичных электронов происходит частая в течение нескольких секунд замена участвующих в процессе волн и энергичных частиц. Поэтому возможен быстрый перебор начальных условий реализации процесса возбуждения хоров при стабильном распределения геомагнитного поля и концентрации фоновой плазмы с малым плазменным параметром β. В этой работе по данным с космического аппарата мы находим сравнительно короткие промежутки времени с одномодовым поведением волнового поля, соответствующие начальным условиям, пропорциональным одной собственной функции в стандартной задаче о собственных значениях и собственных функциях линеаризованных уравнений взаимодействия волн и частиц. Тогда в течение определенного промежутка времени, начиная с момента времени t0, компонента магнитного поля BU представляет собой одну моду, соответствующую определенному собственному значению λ = γ + iω, и зависит от времени следующим образом:
, (2)
где a − постоянное смещение; γ − инкремент; ω −частота; φ − начальная фаза линейного колебательного процесса; τ = t − t0.
3.2. Матричный метод представления данных
Предлагаемый ниже способ обработки данных наблюдений имеет две основные предпосылки. Во-первых, изучаемый сигнал квазигармонический. Во-вторых, имеются обширные данные высокого разрешения. Для анализа процессов с высоким временным разрешением мы использовали данные канала измерения проекции магнитного поля BU на ось U.
Типичная для хоров осциллограмма проекции магнитного поля BU показана на рис. 2. Эта осциллограмма построена по данным космического аппарата Van Allen Probe A с использованием большого количества отсчетов (с частотой оцифровки 35 кГц), помеченных звездочками. Мы выберем альтернативную параметризацию полной осциллограммы, которая позволит ее более компактно описать и обеспечит более тесную связь с проблемой собственных функций и собственных значений. Выберем для проведенного ниже более тщательного рассмотрения фрагмент осциллограммы, выделенный на рис. 2 вертикальными линиями. Временной интервал между двумя вертикальными линиями будет более подробно рассмотрен ниже.
Рис. 2. Осциллограмма волнового поля, на которой звездочками показаны результаты последовательных измерений величины BU-компоненты.
Исходя из квазигармонического вида осциллограммы волнового поля хоров, мы введем в рассмотрение альтернативную параметризацию сигнала в виде числовой матрицы, которая его достаточно точно характеризует. Пусть последовательные локальные максимумы компоненты BU магнитного поля, показанные на рис. 3 квадратиками, имеют место в моменты времени
Рис. 3. Звездочки соответствуют известным измерениям компоненты BU волнового магнитного поля, пиковые значения помечены квадратиками (Uk, Uk + 1) и кружочками (Dk), черная линия − построенная нами в итоге аппроксимация из фрагментов косинусов на основе формул (14).
и соответствующие последовательные локальные максимумы имеют величину
.
Последовательные минимумы, обозначенные кружочками, равны
,
где локальный минимум Dk имеет место в отрезке времени от tk до tk + 1. Квазигармоническое волновое поле во временном отрезке от tk до tk + 1 представим в виде
. (3)
Выразим через наблюдаемые величины Uk, tk, Dk, Uk + 1, tk + 1 все параметры аппроксимации (3) ak, Qk , γk , ωk, φk. Прежде всего мы имеем, что на границах этого временного отрезка
, (4a)
. (4б)
Равенство нулю производной в некоторый момент времени сводится к условию
. (5)
Поэтому на краях временного отрезка при tk и tk + 1 и в точке минимума t*, там где имеют место локальные экстремумы, согласно (5) мы имеем три уравнения
, (6a)
, (6b)
. (6c)
Из уравнений (6) следует, что
, (7a)
, (7b)
. (7c)
Минимум имеет место при ωk (t* – tk) = π, и это дает
. (8)
Таким образом, согласно (4), (7) и (8) мы для интересующих нас величин получаем следующую систему нелинейных алгебраических уравнений:
, (9a)
, (9b)
, (9c)
, (9d)
. (9e)
Полученная нелинейная система алгебраических уравнений (9) имеет единственное точное решение
, (10a)
, (10b)
, (10c)
, (10d)
. (10e)
Установленное решение однозначно определяет параметры реализации (3) на отрезке времени от tk до tk + 1. Отметим, что небольшое сравнительно медленное смещение среднего значения, учитываемое величиной ak, вероятно не имеет отношения к механизму возбуждения хоров. Оно может быть связано, например, с вращением космического аппарата. На рис. 3 черная сплошная линия состоит из фрагментов косинусов с экспоненциально меняющейся амплитудой (3), которые построены в соответствии с формулами (10) для последовательных значений измеренных величин tk, tk + 1, Uk, Uk + 1, Dk. Отметим, что для показанного на рис. 3 фрагмента среднеквадратичная точность принятой аппроксимации равна δBU = 0.02 нТл.
В соответствии с установленными результатами рассматриваемый колебательный процесс мы можем с высокой точностью описать с помощью прямоугольной матрицы события:
, (11)
каждая строка которой характеризует один цикл колебательного процесса. В этой матрице девять столбцов, в которые компьютерная программа заносит:
k − номер цикла колебательного процесса (номер строки);
tk − время наступления последовательных максимумов;
Uk − величина последовательных максимумов;
Dk − величина последовательных минимумов;
ak − текущие значения средней величины;
Qk − текущее значение амплитуды;
γk − текущие значения инкремента;
ωk − текущие значения частоты;
φk − текущие значения фазы.
В результате кропотливых расчетов мы получаем числовую матрицу, в которой одна строка соответствует одному циклу колебательного процесса. Для всплеска хоров, показанного на рис. 1б, в матрице 33172 строк. На одном периоде колебательного процесса примерно тридцать звездочек с двумя числовыми координатами мы заменяем на пять чисел в выражении (3). Поэтому достигнутая степень сжатия данных 12.
ПРИМЕРЫ КОРНЕЙ ХАРАКТЕРИСТИЧЕСКОГО УРАВНЕНИЯ ДЛЯ ЛИНЕЙНОЙ СТАДИИ ВОЗБУЖДЕНИЯ ХОРОВ
За сравнительно короткое время реализации всплеска хоров происходит много процессов взаимодействия электромагнитных волн и энергичных частиц, отличающихся начальными условиями для электромагнитных волн и энергичных электронов. Учет этого обстоятельства при работе с данными наблюдений высокого разрешения позволяет сделать важные выводы о характеристиках механизма возбуждения хоров.
Значительный интерес представляют фрагменты матрицы события (11) из нескольких последовательных строк, в которых величины инкремента, частоты и фазы практически не изменяются. Мы предполагаем, что для среднеквадратичных отклонений частоты δω и инкремента δγ выполнены условия δω / ωB < 0.01 и δγ / ωB < 0.01. Это означает, что начальные условия для выявленного фрагмента реализации отвечают линейному процессу, соответствующему одному собственному значению. Расчеты показали, что каждый такой фрагмент дает точку на плоскости ω / ωB, γ / ωB, определяющую на рис. 4 комплексное собственное значение линейного характеристического уравнения. На рис. 5 приведен график, подтверждающий закономерность (2) для одного из найденных корней характеристического уравнения.
Рис. 4. Реконструированные корни характеристического уравнения, описывающего линейную стадию возбуждения хоров. При выборе этих 12 кластеров в матрице события использовалось сохранение в последовательных четырех и более строках величин γ, ω, φ с разбросом 10%.
Рис. 5. Результат дополнительно проверки выполнения закономерности (2) для одного из найденных корней характеристического уравнения.
Более тщательно обработанные результаты о корнях характеристического уравнения приведены на рис. 6. Здесь показан динамический спектр всплеска хоров. Данные о корнях дополнены качественной информацией о соответствующих им амплитудах волнового поля на рис. 6в большей амплитуде соответствует кружок большего диаметра. Использование данных из матрицы (11) дает возможность легко выяснить, при каких амплитудах имеют место закономерности вида (2). Из анализа этих данных мы имеем возможность уточнить границы применимости линеаризованных уравнений. Данные наблюдений показали, что линейная теория имеет важное значение вплоть до амплитуд в 80% от максимальной. Еще две панели показывают распределение корней по частотам и инкрементам. Для каждого из корней была дополнительно проверена основная зависимость (2) путем построения графика аналогичного тому, который показан на рис. 5.
Рис. 6. Корни характеристического уравнения (в), динамический спектр сигнала (б), распределение корней (а, г).
Отметим, что реконструкция одного корня характеристического уравнения основана на данных о нескольких циклах колебательного процесса общей длительностью порядка 5 × 10−3 c. За это короткое время не происходит никаких изменений, связанных с движением космического аппарата и другими процессами переноса. Полная длительность всплеска хоров, показанного на рис. 1б, двадцать три секунды. В течение этого времени фоновое магнитное поле и распределение концентрации фоновой плазмы в области возбуждения хоров меняются незначительно. Белая линия на рис. 1б почти горизонтальная, и концентрация на рис. 9 между вертикальными линиями почти постоянная. Поэтому установленные корни характеристического уравнения соответствуют практически постоянному геомагнитному полю и концентрации фоновой плазмы.
Рассмотрим подробнее реконструированный спектр собственных значений λ = γ + iω. При анализе всплеска хоров, показанного на рис. 1б, были установлены 12 корней характеристического уравнения, представленных на рис. 4 и рис. 6в. Прежде всего, надо отметить, что все инкременты имеют значительную величину γ > 20 с−1. На гистограммах, показанных на рис. 6, представлены сведения о частоте появления разных значений частоты и инкремента. Представленные на гистограмме рис. 6г результаты указывают на наличие чисто мнимого и комплексно-сопряженных корней характеристического уравнения. На гистограмме, показанной на рис. 6a, имеются признаки наличия разнесенных частот в спектре. Ниже мы покажем, что эти результаты хорошо соответствуют реализации BPA-механизма возбуждения хоров в волноводе уплотнения.
СРАВНЕНИЕ УСТАНОВЛЕННЫХ РЕЗУЛЬТАТОВ С ВЫВОДАМИ ТЕОРИИ BPA-МЕХАНИЗМА ВОЗБУЖДЕНИЯ ХОРОВ
Хорошо известно (см., например, [Арцимович и Сагдеев, 1979]), что имеется два режима взаимодействия волн и частиц на резонансе Черенкова. В первом кинетическом режиме, когда (Δvz)2 >> (γ / kz)2 при выводе формулы для инкремента γ сильно размытых пучков в приближении Ландау пренебрегается конечной шириной резонанса волна−частица и предполагается, что тепловой разброс пучка существенно больше ширины резонанса. Тогда для каждой неустойчивой волны на функции распределения пучка выделяется небольшая группа резонансных частиц, вклад которых в инкремент определяется наклоном функции распределения. Во втором квазигидродинамическом режиме, когда (Δvz)2 << (γ / kz)2 весь пучок как целое находится в резонансе с неустойчивой волной. Именно в этом случае возможно развитие сильного пучкового усиления подходящих шумовых импульсов.
Согласно полученным экспериментальным данным инкремент неустойчивости на линейной стадии процесса возбуждения хоров γ > 20 с−1. Нетрудно показать, что линейный инкремент часто обсуждаемой циклотронной неустойчивости в кинетическом режиме, который отвечает наблюдаемым сравнительно гладким функциям распределения энергичных электронов, на частоте ω = ωB / 2 всегда меньше, чем при анизотропии функции распределения A = <W⊥> / <W||>. Этот инкремент не достаточен для объяснения величины реального инкремента из-за малой величины отношения концентрации энергичных электронов n к концентрации фоновой плазмы np.
Полученные результаты о корнях характеристического уравнения можно объяснить количественно в рамках BPA (beam pulse amplifier) механизма. Подтвердим это утверждение в рамках небольшого обсуждения [Bespalov and Savina, 2021]. Начнем со случая возбуждения излучений в области однородной плазмы с магнитным полем вдоль оси z и базовыми параметрами среды как в области локального минимума магнитного поля вблизи вершины его силовой линии за пределами плазмосферы. Будем исходить из обычного дисперсионного уравнения электромагнитных волн свистового диапазона ωw для процесса exp (−iΩt + ikzz) с комплексной частотой Ω = ω + iγ
, (12)
где , θ − угол между волновым вектором k и магнитным полем, ωp − электронная плазменная частота, c − скорость света в вакууме.
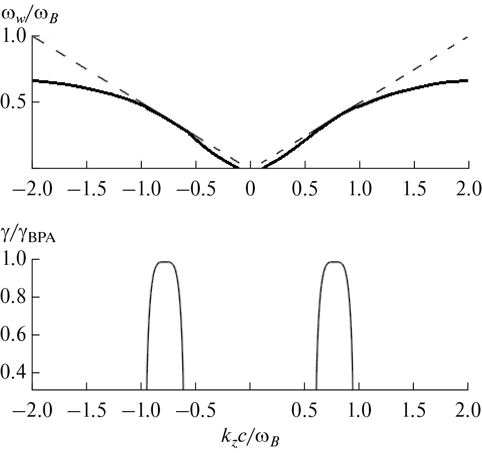
Кратко сформулируем выводы линейной теории возбуждения хоровых излучений посредством BPA-механизма, который более подробно изложен в работах [Bespalov and Savina, 2018, 2019]. Этот механизм возбуждения хоров реализуется при усилении коротких шумовых электромагнитных импульсов с дисперсионным уравнением (12) и имеет место при выполнении условия , поясненного на рис. 7, в котором u − характерная продольная скорость взаимодействующих с волнами на резонансе Черенкова активных энергичных электронов облака; Vphz и Vgz − продольные фазовые и групповые скорости волн, uG = cωB / (2ωp) − скорость Жандрена [Helliwell, 1995]. В волновом возмущении с имеется продольная (вдоль магнитного поля) компонента электрического поля Ez. Для частиц, не входящих в облако активных электронов, взаимодействие настолько кратковременное, что они не успевают обменяться энергией с электромагнитным импульсом. Поэтому при реализации BPA-механизма импульс взаимодействует с близким к моноскоростному облаком активных электронов с небольшим разбросом продольных скоростей ΔVz ∼ u2tp / l << u, где tp − длительность импульса; l – длина области взаимодействия волн и частиц. Хоры формируются при падении на область взаимодействия коротких шумовых электромагнитных импульсов с подходящими свойствами даже при отсутствии анизотропии функции распределения из-за взаимодействия с моноскоростным облаком активных электронов. Характеристическое уравнение, определяющее темп усиления короткого электромагнитного импульса, можно записать в виде [Bespalov and Savina, 2018]:
, (13)
Рис. 7. Зависимость частоты ωv от продольной компоненты волнового вектора kz для свистовых волн с дисперсионным уравнением (12). Штриховая линия соответствует равенству продольной фазовой и групповой скоростей.
где знак модуль учитывает возможность возбуждения хоров в двух направлениях. Характеристическое уравнение (13) представляет собой полином третьей степени по частоте Ω, у которого есть один действительный и два комплексно сопряженных корня. Выше по данным наблюдений мы отмечали похожие свойства корней характеристического уравнения. Инкремент роста спектральных компонент волнового поля для характеристического уравнения (13) показан на рис. 8. С точностью до коэффициента порядка единицы максимальный инкремент γ определяется выражением
, (14)
Рис. 8. Результат численного решения характеристического уравнения (13).
где nb и np − концентрации облака активных электронов и фоновой плазмы, ω° − несущая частота. Важным результатом работы является вывод о том, что для установленных по данным наблюдений и теоретическим оценкам (14) для положительных инкрементов выполняется критерий реализации квазигидродинамического режима взаимодействия волн и частиц (kzΔVz)2 << γ2, который в данном случае эквивалентен условию
, (15)
где l = uGtp − пространственная длина волнового импульса, − масштаб продольной неоднородности магнитного поля, , rE − радиус Земли, L − параметр магнитной оболочки.
Согласно морфологическим исследованиям существенным фактором возбуждения хоров является наличие вытянутых вдоль магнитного поля волноводов в космической плазме [Haque, 2011]. Волновод сжатия эффективен для электромагнитных возмущений с частотами ω < ωB / 2, а волновод разрежения для электромагнитных возмущений с частотами ω > ωB / 2 [Karpman and Kaufman, 1984]. Полученные в статье [Bespalov and Savina, 2019] результаты показывают, что реализация BPA-механизма в волноводе сжатия позволяет объяснить важные свойства хоров в нижней частотной полосе. В данном случае мы рассмотрели показанные на рис. 9 данные наблюдений о концентрации фоновой плазмы вдоль траектории полета космического аппарата. Нужно отметить, что концентрация была довольно высокая и есть признаки наличия волновода сжатия. В работе [Bespalov and Savina, 2019] показано, что в планарном волноводе сжатия угол между волновым вектором и магнитным полем θ° в градусах принимает дискретные значения
, (16)
Рис. 9. Концентрация фоновой плазмы вдоль траектории полета космического аппарата. Всплеск хоров, показанный на рис. 1б, наблюдался в промежутке, помеченном вертикальными линиями.
где N − номер спектральной моды (натуральное число), d − поперечный размер волновода. Падающий шумовой электромагнитный импульс может иметь в своем составе несколько актуальных угловых компонент. Полученные результаты с разными N позволяют объяснить наличие разнесенных частот у установленных решений характеристического уравнения в соответствии с теорией, обобщающей известное для резонатора Фабри−Перо условие. Отметим, что признаки наличия разнесенных частот в спектре выше отмечались при обсуждении экспериментальных результатов.
ЗАКЛЮЧЕНИЕ
В данной работе сложность и многовариантность хоровых излучений мы использовали для получения новых данных о количественных характеристиках механизма их возбуждения, реализовав на примере хоров в нижней частотной полосе новый метод анализа квазигармонических сигналов, записанных с высокой частотой оцифровки.
- Разработан алгоритм эффективной оцифровки всплеска хоров, позволяющий “запаковать” данные об осциллограмме в прямоугольную матрицу события, в которой одна строка данных соответствует одному циклу колебательного процесса.
- При анализе матрицы события особое внимание уделено выбору кластеров последовательных строк, отвечающих фрагментам реализации с функциональной зависимостью, соответствующей отдельным собственным значениям характеристического уравнения.
- Полученные результаты указывают на наличие чисто мнимого и комплексно-сопряженных корней характеристического уравнения.
- Показано, что линейная теория имеет важное значение вплоть до амплитуд в 80% от максимальной.
- Подтвержден BPA-механизм возбуждения хоров со спектральными формами преимущественно в нижней частотной полосе ниже половины электронной циклотронной частоты в волноводе уплотнения.
БЛАГОДАРНОСТИ
Авторы благодарны миссии Van Allen Probe за возможность использования данных прибора EMFISIS, размещенных на сайте: https://emfisis.physics.uiowa.edu/Flight/.
ФИНАНСИРОВАНИЕ РАБОТЫ
Исследование выполнено за счет гранта Российского научного фонда (проект № 20-12-00268). Рисунки 2−8 получены путем численных расчетов в MatLab кодах. Работа ПАБ и ГМН над разделами 1, 4−6 выполнена по планам гранта Российского научного фонда (проект № 20-12-00268), работа ОНС и ГМН над разделом 3 поддержана Фондом развития теоретической физики и математики “Базис” (проект № 23-1-1-67-1). Работа ПАБ над разделом 2 выполнена по плану Государственного задания ИПФ РАН: FFUF-2023-0002.
КОНФЛИКТ ИНТЕРЕСОВ
Авторы подтверждают отсутствие конфликтов интересов.
About the authors
P. A. Bespalov
A.V. Gaponov-Grekhov Institute of Applied Physics of the Russian Academy of Sciences; HSE University
Author for correspondence.
Email: pbespalov@mail.ru
Russian Federation, Nizhny Novgorod; Nizhny Novgorod
O. N. Savina
HSE University
Email: onsavina@mail.ru
Russian Federation, Nizhny Novgorod
G. M. Neshchetkin
A.V. Gaponov-Grekhov Institute of Applied Physics of the Russian Academy of Sciences; HSE University
Email: gmheschetkin@edu.hse.ru
Russian Federation, Nizhny Novgorod; Nizhny Novgorod
References
- Арцимович Л.А., Сагдеев Р.З. Физика плазмы для физиков. М.: Атомиздат, 313 с. 1979.
- Agapitov O., Blum L.W., Mozer F.S., Bonnell J.W., Wygant J. Chorus whistler wave source scales as determined from multipoint Van Allen Probe measurements // Geophys. Res. Lett. V. 44. N 6. P. 2634–2642. 2017. https://doi.org/10.1002/2017GL072701
- Bell T.F., Inan U.S., Hague N., Pickett J.S. Source regions of banded chorus // Geophys. Res. Lett. V. 36. N 11. ID L11101. 2009. https://doi.org/10.1029/2009GL037629
- Bespalov P., Savina O. An excitation mechanism for discrete chorus elements in the magnetosphere // Ann. Geophys. V. 36. N 5. P. 1201–1206. 2018. https://doi.org/10.5194/angeo-36-1201
- Bespalov P.A., Savina O.N. Excitation of chorus with small wave normal angles due to beam pulse amplifier (BPA) mechanism in density ducts // Ann. Geophys. V. 37. N 5. P. 819–824. 2019. https://doi.org/10.5194/angeo-37-819-2019
- Bespalov P.A., Savina O.N. Electromagnetic pulse amplification in a magnetized nearly stable plasma layer // Results Phys. V. 28. ID 104607. 2021. https://doi.org/10.1016/j.rinp.2021.104607
- Bespalov P.A., Savina O.N., Neshchetkin G.M. Hausdorf dimension of electromagnetic chorus emissions in their excitation region according to Van Allen probe data // Results Phys. V. 35. ID 105295. 2022. https://doi.org/10.1016/j.rinp.2022.105295
- Bortnik J., Thorne R.M., Meredith N.P. The unexpected origin of plasmaspheric hiss from discrete chorus emissions // Nature. V. 452. N 7183. P. 62–66. 2008. https://doi.org/10.1038/nature06741
- Chen H., Wang X., Chen L., Omura Y., Lu Q., Chen R., Xia Z., Gaoet X. Simulation of downward frequency chirping in the rising tone chorus element // Geophys. Res. Lett. V. 50. N 9. ID e2023GL103160. 2023. https://doi.org/10.1029/2023GL103160
- Fu X., Cowee M.M., Friedel R.H., Funsten H.O., Gary S.P., Hospodarsky G.B., Kletzing C., Kurth W., Larsen B.A., Liu K., MacDonald E.A., Min K., Reeves G.D., Skoug R.M., Winske D. Whistler anisotropy instabilities as the source of banded chorus: Van Allen Probes observations and Particle-in-Cell simulations // J. Geophys. Res. – Space. V. 119. N 10. P. 8288–8298. 2014. https://doi.org/10.1002/2014JA020364
- Gao X., Lu Q., Bortnik J., Li W., Chen L., Wang S. Generation of multiband chorus by lower band cascade in the Earth’s magnetosphere // Geophys. Res. Lett. V. 43. N 6. P. 2343–2350. 2016. https://doi.org/10.1002/2016GRL068313
- Haque N., Inan U.S., Bell T.F., Pickett J.S., Trotignon J.G., Facsko G. Cluster observations of whistler mode ducts and banded chorus // Geophys. Res. Lett. V. 38. N 18. ID L18107. 2011. https://doi.org/10.1029/2011GL049112
- Helliwell R.A. Whistlers and related ionospheric phenomena. Stanford, CA: Stanford University Press, 349 p. 1965.
- Helliwell R.A. The role of the Gendrin mode of VLF propagation in the generation of magnetospheric emissions // Geophys. Res. Lett. V. 22. N 16. P. 2095–2098. 1995. https://doi.org/10.1029/95GL02003
- Karpman V.I., Kaufman R.N. Whistler wave propagation in magnetospheric ducts (in the equatorial region) // Planet. Space Sci. V. 32. N 12. P. 1505–1511. 1984. https://doi.org/10.1016/0032-0633(84)90017-5
- Katoh Y., Omura Y. Electron hybrid code simulation of whistler mode chorus generation with real parameters in the Earth’s inner magnetosphere // Earth Planets Space. V. 6. N 1. ID 192. 2016. https://doi.org/10.1186/s40623-016-0568-0
- Kletzing C.A., Kurth W.S., Acuna M., et al. The Electric and Magnetic Field Instrument Suite and Integrated Science (EMFISIS) on RBSP // Space Sci. Rev. V. 179. N 1–4. P. 127–181. 2013. https://doi.org/10.1007/s11214-013-9993-6
- Kurita S., Katoh Y., Omura Y., Angelopoulos V., Cully C.M., Le Conte O., Misawa H. THEMIS observation of chorus elements without a gap at half the gyrofrequency. J. Geophys. Res. – Space. V. 117. N 11. ID A11223. 2012. https://doi.org/10.1029/2012JA018076
- Meredith N.P., Cain M., Horne R.B., Thorne R.M., Summers D., Anderson R.R. Evidence for chorus-driven electron acceleration to relativistic energies from a survey of geomagnetically disturbed periods // J. Geophys. Res. – Space. V. 108. N 6. ID 1248. 2003. https://doi.org/10.1029/2002JA009764.
- Omura Y., Katoh Y., Summers D. Theory and simulation of the generation of whistler-mode chorus // J. Geophys. Res. – Space. V. 113. N 4. ID A04223. 2008. https://doi.org/10.1029/2007JA012622
- Summers D., Thorne R.M., Xiao F. Relativistic theory of wave-particle resonant diffusion with application to electron acceleration in the magnetosphere // J. Geophys. Res. – Space. V. 103. N 9. P. 20487–20500. 1998. https://doi.org/10.1029/98JA01740
- Trakhtengerts V.Y. Magnetosphere cyclotron maser: Backward wave oscillator generation regime // J. Geophys. Res. – Space. V. 100. N 9. P. 17205–17210. 1995. https://doi.org/10.1029/95JA00843
- Zhou C., Li W., Thorne R.M., Bortnik J., Ma Q., An X., Zhang X.-J., Angelopoulos V., Ni B., Gu X., Fu S., Zhao Z. Excitation of dayside chorus waves due to magnetic field line compression in response to interplanetary shocks // J. Geophys. Res. – Space. V. 120. N 10. P. 8327–8338. 2015. https://doi.org/10.1002/2015JA021530
Supplementary files











