Сравнительный анализ распространения магнитных вариаций и эквивалентных токовых вихрей геомагнитных Pc5 пульсаций по меридиану и азимуту
- Авторы: Моисеев А.В.1, Попов В.И.1, Стародубцев С.А.1
-
Учреждения:
- Институт космофизических исследований и аэрономии им. Ю.Г. Шафера СО РАН (ИКФИА СО РАН)
- Выпуск: Том 64, № 4 (2024)
- Страницы: 548-566
- Раздел: Статьи
- URL: https://ogarev-online.ru/0016-7940/article/view/277443
- DOI: https://doi.org/10.31857/S0016794024040093
- EDN: https://elibrary.ru/RSSHQP
- ID: 277443
Цитировать
Полный текст
Аннотация
Для ряда событий проанализированы скорости распространения геомагнитных Pc5 пульсаций в азимутальном и меридиональном направлении. Использовано два метода: по фазовым задержкам сигнала между станциями и по смещению центров вихрей их эквивалентных токовых систем. Анализ показал, что распространение пульсаций и вихрей совпадает по направлению ‒ вдоль меридиана они преимущественно распространяются к северу. В большинстве случаев скорость распространения пульсаций составляет 5 км/с, а вихрей ‒ 2 км/с. По азимуту пульсации и вихри распространяются по направлению к западу, скорость распространения пульсаций составляет 10 км/с, а вихрей ‒ 3 км/с. Однако в распределении азимутальных скоростей как пульсаций, так и вихрей есть сравнимые по величине максимумы, соответствующие восточному распространению: пульсаций со скоростью 10 км/с, а вихрей ‒ 5 км/с. Сделан вывод, что на уровне ионосферы измеренные нами фазовые скорости пульсаций примерно в 2 раза больше групповых скоростей вихрей.
Полный текст
1. ВВЕДЕНИЕ
Известно, что ультранизкочастотные (УНЧ) волны в диапазоне Pc5 играют важную роль в динамике магнитосферы [Saito, 1978]. УНЧ-волны, возбуждаемые на границе магнитосферы или в солнечном ветре (СВ), переносят энергию во внутреннюю магнитосферу, где возбуждаются собственные резонансные колебания FLR (field line resonance). Источниками FLR считаются моды магнитосферной полости (волновода), возбуждаемые импульсами динамического давления СВ (Pd) [Allan et al., 1986; Wright, 1994] или неустойчивостью Кельвина–Гельмгольца на флангах магнитосферы [Southwood, 1974; Chen and Hasegawa, 1974; Мишин, Матюхин, 1986; Mann et al., 2002], а также комбинированной неустойчивостью Кельвина–Гельмгольца–Рэлея–Тэйлора [Mishin, 1993]. Кроме того, FLR могут возбуждаться быстрыми магнитозвуковыми (БМЗ) волнами, проникающими в магнитосферу из солнечного ветра (СВ) [Leonovich et al., 2003]. Существуют два разных механизма возбуждения FLR: генерация за счет трансформации БМЗ волн в стоячие альвеновские волны [Southwood, 1974; Chen and Hasegawa, 1974] и их генерация во взаимодействии волна-частица [Southwood et al., 1969; Hughes et al., 1978]. Для магнитных импульсных событий, формируемых в результате действия этих механизмов, характерно противоположное распространение в азимутальном направлении как по спутниковым, так и по наземным наблюдениям. Для первого механизма свойственно распространение импульсов с дневной на ночную сторону, для второго – в противоположном направлении.
Известно также, что ионосферным проявлением FLR являются вихри эквивалентного ионосферного тока. Это показано в работах по изучению глобальных [Motoba et al., 2002] и регистрируемых локально Pc5 пульсаций [Luhr and Blawert, 1994]. Изучение распространения вихрей эквивалентных ионосферных токов (TCV – Travelling Convection Vortices) как по фазовым задержкам магнитных импульсов, так и непосредственно центров вихрей TCV проводилось в работах [Friis-Christensen et al., 1988] и [Chinkin et al., 2020], соответственно. Мы не встречали работ, в которых сравнивались бы скорости распространения, полученные обоими методами. В данной работе, анализируя распространение геомагнитных пульсаций Pc5 в азимутальном и меридиональном направлениях, обусловленных FLR, мы реализовали такой подход.
Целью работы является сравнение распространения геомагнитных Pc5 пульсаций в меридиональном и азимутальном направлениях полученное двумя методами: по фазовым задержкам отдельных колебаний геомагнитных пульсаций и по перемещению центров вихрей эквивалентных ионосферных токов, возбуждаемых во время этих пульсаций. Для анализа были выбраны восемь событий всплесков геомагнитных пульсаций в диапазоне Pc5 часовой длительности.
2. ЭКСПЕРИМЕНТАЛЬНЫЕ ДАННЫЕ
Для изучения характеристик геомагнитных пульсаций нами использовались данные геомагнитных наблюдений из известной базы данных SuperMAG [Gjerloev, 2012] (http://supermag.jhuapl.edu/mag): станций международных проектов IMAGE (https://space.fmi.fi/image/www/index.php?) и GREENLAND COAST CHAIN (https://www.space.dtu.dk/english/research/scientific-data-and-models/magnetic_ground_stations). Координаты станций, используемых для изучения меридионального и азимутального распространения, приведены в табл. 1 и табл. 2, соответственно. Для анализа фазовых задержек длиннопериодных вариаций при меридиональном распространении использовались 10 с и 20 с данные, азимутальное распространение изучалось по 60 с данным поскольку расстояние между станциями по азимуту было больше 500 км, а длительность фазовых задержек сигналов ≥ 60 с. Скорости распространения вихрей оценивались по 60 с данным.
Таблица 1. Координаты наземных станций, сетей IMAGE(IM) и GREENLAND COAST CHAIN (GR), используемых для изучения меридионального распространения пульсаций
Аббревиатура | Сеть | Географические координаты | Исправленные геомагнитные координаты | ||
широта | долгота | широта | долгота | ||
NAL | IM | 78.92 | 11.95 | 76.57 | 109.96 |
HOR | 77.00 | 15.60 | 74.52 | 108.72 | |
HOP | 76.51 | 25.01 | 73.53 | 114.59 | |
BJN | 74.50 | 19.20 | 71.89 | 107.71 | |
NOR | 71.09 | 25.79 | 68.19 | 109.28 | |
SOR* | 70.54 | 22.22 | 67.80 | 106.04 | |
TRO* | 69.66 | 18.94 | 67.07 | 102.77 | |
MAS | 69.46 | 23.70 | 66.65 | 106.36 | |
AND* | 69.30 | 16.03 | 66.86 | 100.22 | |
KIL* | 69.06 | 20.77 | 66.37 | 103.75 | |
IVA | 68.56 | 27.29 | 65.60 | 108.61 | |
ABK* | 68.35 | 18.82 | 65.74 | 101.70 | |
MUO | 68.02 | 23.53 | 65.19 | 105.23 | |
KIR* | 67.84 | 20.42 | 65.14 | 102.62 | |
SOD | 67.37 | 26.63 | 64.41 | 107.33 | |
PEL | 66.90 | 24.08 | 64.03 | 104.97 | |
JCK* | 66.40 | 16.98 | 63.82 | 98.94 | |
DON* | 66.11 | 12.50 | 63.75 | 95.19 | |
RVK* | 64.94 | 10.99 | 62.61 | 93.27 | |
OUJ | 64.52 | 27.23 | 61.47 | 106.27 | |
MEK | 62.77 | 30.97 | 59.57 | 108.66 | |
HAN | 62.25 | 26.60 | 59.12 | 104.72 | |
NUR | 60.50 | 24.65 | 57.32 | 102.35 | |
THL | GR | 77.47 | 290.77 | 84.72 | 29.24 |
KUV | 74.57 | 302.82 | 80.69 | 41.92 | |
UPN | 72.78 | 303.85 | 78.93 | 40.20 | |
UMQ | 70.68 | 307.87 | 76.38 | 42.58 | |
GDH | 69.25 | 306.47 | 75.25 | 39.39 | |
STF | 67.02 | 309.28 | 72.64 | 40.87 | |
SKT | 65.42 | 307.1 | 71.43 | 37.22 | |
GHB | 64.17 | 308.27 | 69.98 | 37.85 | |
FHB | 62.00 | 310.32 | 67.41 | 39.05 | |
NAQ | 61.16 | 314.56 | 65.75 | 43.19 | |
SCO | 70.48 | 338.03 | 71.63 | 71.82 | |
LRV | 64.18 | 338.30 | 65.01 | 66.72 | |
Примечание. * – станции, данные которых используются только для построения эквивалентных токовых систем.
Таблица 2. Координаты наземных станций и коэффициент для определения местного времени MLT=UT+∆t, сетей IMAGE(IM) и GREENLAND COAST CHAIN (GR), и SUPERMAG (SMAG), используемых для изучения азимутального распространения пульсаций
Усредненная широта | Аббревиатура | Сеть | Географические координаты | Исправленные геомагнитные координаты | ∆t (ч) | ||
широта | долгота | широта | долгота | ||||
74‒75 | HRN | IM | 77.00 | 15.60 | 74.52 | 108.72 | 1.74 |
GDH | GR | 69.25 | 306.47 | 75.25 | 39.39 | –2.88 | |
PGC | SMAG | 66.10 | 294.20 | 74.09 | 20.55 | –4.14 | |
CDC | SMAG | 64.20 | 283.40 | 73.47 | 3.04 | –5.31 | |
71‒72 | BJN | IM | 74.50 | 19.20 | 71.89 | 107.71 | 1.67 |
SCO | GR | 70.48 | 338.03 | 71.63 | 71.82 | –0.72 | |
STF | GR | 67.02 | 309.28 | 72.64 | 40.87 | –3.63 | |
SKT | GR | 65.42 | 307.10 | 71.43 | 37.22 | –3.03 | |
IQA | SMAG | 63.75 | 291.48 | 72.21 | 15.58 | –4.47 | |
65‒66 | KEV | IM | 69.76 | 27.01 | 66.82 | 109.22 | 1.77 |
IVA | IM | 68.56 | 27.29 | 65.60 | 108.61 | 2.53 | |
TRO | IM | 69.66 | 18.94 | 67.07 | 102.77 | 0.5 | |
AND | IM | 69.30 | 16.03 | 66.86 | 100.22 | 1.17 | |
LRV | SMAG | 64.18 | 338.30 | 65.01 | 66.72 | –1.06 | |
NAQ | GR | 61.16 | 314.56 | 65.75 | 43.19 | –2.63 | |
T31 | SMAG | 56.50 | 280.80 | 66.31 | –1.92 | –4.03 | |
T29 | SMAG | 58.10 | 291.60 | 66.70 | 14.25 | –5.1 | |
3. МЕТОДИКА АНАЛИЗА
В данной работе сравнивались скорости распространения по меридиану и азимуту полученные двумя методами: по фазовым задержкам магнитных вариаций на станциях (метод 1) и по перемещению вихрей эквивалентных ионосферных токов (метод 2).
Расположение станций глобальной сети позволило проанализировать меридиональное распространение вдоль двух цепочек станций и азимутальное распространение вдоль геомагнитных широт 65‒66°, 71‒72° и 74‒75°.
Расчёты обоими методами осуществлялись в пакете Matlab. При этом метод 1 заключался в применении функции findpeaks (https://www.mathworks.com/help/signal/ref/findpeaks.html) к интервалу фильтрованных в диапазоне Pc5 пульсаций (T = 150‒600 с) данных. Эта функция позволяет выбрать максимумы (или минимумы) сигнала и определить время их регистрации, тем самым оценить сдвиг фаз между двумя сигналами в секундах, который зная период сигналов можно пересчитать в градусы. Сравнение фазовых задержек, полученных этим и спектральным методами показало, что оба метода дают сравнимые результаты.
Определив расстояние между станциями, разнесенными по широте и долготе, соответственно методике, изложенной в работе [Makarov et al., 2002] и, зная задержку пульсаций между ними в секундах, можно определить скорости распространения.
Мы также использовали метод 2, позволяющий строить двумерные сферические элементарные токовые системы, описывающие эквивалентную плотность тока на вычислительной сетке [Vanhamäki and Juusola, 2020]. Метод позволяет разделить внешнее (обусловленное ионосферными токами) и внутреннее (обусловленное вторичными теллурическими токами) магнитные поля за счёт использования H-, D- и Z-компонент геомагнитного поля и таким образом выделить эффекты ионосферных токов. В этом методе используются модельные представления, изложенные в работе [Pulkkinen et al., 2003], согласно которым ионосферные и теллурические токи представляются вихревыми токовыми системами, расположенными над земной поверхностью и под ней, соответственно. Данный метод позволил нам проанализировать распределение токов в интервалы наблюдения геомагнитных Pc5 пульсаций и оценить положение вихрей эквивалентных ионосферных токов. Расстояния между их положениями и скорости их распространения определялись по геомагнитным координатам центров вихрей по широте и долготе через каждые 60 с. Определенные таким образом значения скоростей перемещения вихрей мы сравнивали со скоростями распространения магнитных пульсаций Рс5.
Используя программный код, написанный в среде Matlab, прилагавшийся к статье [Vanhamäki and Juusola, 2020], доступный по ссылке (https://link.springer.com/chapter/10.1007/978-3-030-26732-2_2#Sec18), мы изучили динамику вихрей эквивалентных ионосферных токов.
При этом центр вихря оценивался по экстремумам функции
(1)
где J-горизонтальный ионосферный ток.
Пространственные размеры вихря оценивались по экстремумам циркуляции
(2)
Отметим, что такой подход при исследовании динамики вихрей использовался в работе [Chinkin et al., 2020].
Здесь первый метод позволяет оценивать фазовые скорости распространения пульсаций, используя второй метод, можно определить групповые скорости распространения вихрей.
Для выделения Pc5 пульсаций из геомагнитных данных нами использовался цифровой, нерекурсивный, полоснопропускающий фильтр, подробно описанный в книге Хемминга [Хемминг, 1980]. Фильтра имеет следующий вид
(3)
здесь ck коэффициенты фильтра, k – число коэффициентов фильтра, x – значения исходной реализации данных, y – значения, полученные в результате фильтрации, n — количество измерений, M — заданное максимальное число коэффициентов фильтра. Коэффициенты фильтра ck связаны с его амплитудно-частотной характеристикой H(ω) через обратное преобразование Фурье:
(4)
и, наоборот:
(5)
где для частот , где ∆t – шаг дискретизации данных.
Коэффициенты фильтра подбирались таким образом, чтобы полоса пропускания амплитудно-частотной характеристики соответствовала периодам Рс5 пульсаций в диапазоне от 150 до 600 с и пульсации на плато фильтра, не превышали значения 1%.
4. РЕЗУЛЬТАТЫ АНАЛИЗА
На рис. 1 показаны меридиональные профили H-компоненты поля по данным сети IMAGE в рассматриваемых событиях, номер события, соответствующий табл. 3 приведен на каждой панели. На магнитограммах звездочками показаны максимумы (минимумы) между которыми определялись фазовые задержки, их значения (в секундах) показаны в левой части рисунка. Значение нулевой фазы на каждой станции выбиралось равным максимуму (минимуму) магнитных вариаций. Для лучшего восприятия на рис. 1 показаны данные только 10 станций, хотя для анализа в отдельных событиях использовалось до 15 станций.
Таблица 3. Количественные характеристики вихрей эквивалентных ионосферных токов: представлена информация о цепочке IMAGE(IM) и GREENLAND COAST CHAIN (GR), начальном времени события, геомагнитной широте, долготе вихря, направлении вращения, меридиональной и азимутальной скоростях перемещения вихрей
Событие | Сеть | Время, UT | Исправленные геомагнитные координаты | Напр-е вращения | Скорости распространения |
| |||
меридиональная, км/с | азимутальная, км/с | ||||||||
широта | долгота |
| |||||||
1 | 12.01.2008 | IM | 07:33 | 72.78 | 107.99 | ПРЧ/С | -3.82 | 24.04 |
|
07:34 | 74.84 | 95.01 |
| ||||||
07:35 | 78.58 | 95.32 | -6.92 | -0.59 |
| ||||
GR | 07:42 | 69.48 | 40.08 | ПРЧ/С | -4.20 | 3.94 |
| ||
07:43 | 71.75 | 37.95 |
| ||||||
07:44 | 71.98 | 36.28 | -0.44 | 3.10 |
| ||||
2 | 13.07.2008 | IM | 15:21 | 65.65 | 91.52 | ПРЧ/С | -8.85 | -24.87 |
|
15:22 | 70.43 | 105.00 | -1.26 | 0.70 |
| ||||
15:23 | 71.11 | 104.62 |
| ||||||
GR | 15:19 | 73.43 | 29.54 | ПРЧ/С | -0.89 | -11.58 |
| ||
15:20 | 73.91 | 35.79 |
| ||||||
15:20 | 74.16 | 43.52 | -0.45 | -14.32 |
| ||||
3 | 15.02.2011 | IM | 06:57 | 70.04 | 101.92 | ПЧ/С -3.57 | -2.55 | 1.47 |
|
06:58 | 71.41 | 101.13 | |||||||
21.59 |
| ||||||||
06:59 | 73.34 | 89.47 |
| ||||||
GR | 06:57 | 67.03 | 69.08 | ПРЧ/С -1.57 | 3.21 | 26.64 |
| ||
06:58 | 65.30 | 54.69 | |||||||
15.44 |
| ||||||||
06:59 | 66.15 | 46.36 |
| ||||||
4 | 02.03.2011 | IM | 10:24 | 69.20 | 104.56 | ПРЧ/С | -7.23 | 0.13 |
|
10:25 | 73.10 | 104.49 | -0.17 | 1.88 |
| ||||
10:26 | 73.19 | 103.47 |
| ||||||
GR | 10:22 | 69.97 | 35.08 | ПРЧ/С | -2.85 | -4.92 |
| ||
10:23 | 71.51 | 37.73 |
| ||||||
10:24 | 71.99 | 43.32 | -0.89 | -10.35 |
| ||||
5 | 12.03.2011 | IM | 09:13 | 70.72 | 110.63 | ПЧ/С | -4.10 | 7.62 |
|
09:14 | 72.93 | 106.51 | -0.32 | 3.77 |
| ||||
09:15 | 73.10 | 104.47 |
| ||||||
GR | 09:20 | 66.65 | 43.49 | ПРЧ/С | -6.15 | 15.57 |
| ||
09:21 | 69.97 | 35.07 |
| ||||||
09:22 | 70.92 | 37.37 | -1.75 | -4.25 |
| ||||
широта | долгота |
| |||||||
6 | 14.03.2011 | IM | 11:15 | 69.20 | 104.55 | ПЧ/С | -5.38 | -7.90 |
|
11:16 | 72.11 | 108.82 |
| ||||||
11:17 | 73.52 | 107.36 | -2.61 | 2.70 |
| ||||
GR | 11:13 | 70.56 | 35.39 | ПРЧ/С | -1.75 | -4.34 |
| ||
11:14 | 71.51 | 37.73 | -0.89 | -10.35 |
| ||||
11:15 | 71.99 | 43.32 |
| ||||||
7 | 17.03.2011 | IM | 09:14 | 70.19 | 108.94 | ПРЧ/С | -3.28 | -3.63 |
|
09:15 | 71.96 | 110.91 |
| ||||||
09:16 | 76.56 | 127.09 | -8.52 | -29.88 |
| ||||
GR | 09:13 | 75.35 | 56.89 | ПЧ/С | -4.33 | 2.89 |
| ||
09:14 | 77.68 | 55.33 |
| ||||||
09:15 | 81.52 | 59.31 | |||||||
-7.10 | -7.36 |
| |||||||
8 | 09.08.2011 | IM | 08:55 | 72.78 | 108.49 | ПРЧ/С | -0.62 | 7.57 |
|
08:56 | 73.11 | 104.40 | -5.84 | 18.17 |
| ||||
08:57 | 76.26 | 94.58 |
| ||||||
GR | 08:57 | 69.9 | 35.05 | ПРЧ/С | -1.76 | -4.24 |
| ||
08:58 | 70.8 | 37.34 |
| ||||||
08:59 | 72.8 | 36.82 | -3.69 | 0.96 |
| ||||
Примечание. ПЧ/С – по часовой стрелке; ПРЧ/С - против часовой стрелки.
Рис. 1. Меридиональные профили H-компоненты поля по данным сети IMAGE в рассматриваемых событиях, номер события из табл. 3 приведен на каждом профиле.
Как видно из рис. 1, почти во всех событиях пульсации распространялись по меридиану в направлении к северу. Такой характер распространения преобладал на более высоких широтах. Противофазные по широте вариации, наблюдаемые в большинстве событий, соответствовали резонансам силовых линий. Следует отметить, что выбор максимума при набеге фазы на геомагнитных широтах выше 71° неоднозначен, однако задержки, если брать для анализа соседние максимумы или минимумы, будут практически во всех событиях близки измеренным нами.
На рис. 2 представлены азимутальные профили H-компоненты поля на магнитных широтах 65‒66° в рассматриваемых событиях. На нем станции расставлены по степени уменьшения геомагнитной долготы с востока на запад (в верхней части рисунка приведена станция с наибольшей долготой), номер события из табл. 3 показан на каждом профиле. Подобно рис. 1, выбранные максимумы обозначены звездочками, рядом с которыми приведены значения фазовых задержек в секундах. Как видно из рис. 2, распространение в событиях происходит в основном на запад (события 1, 3, 5, 7, 8), но в ряде событий распространение происходит на восток (события 2, 4, 6). В событии 2 распространение происходит в восточном направлении, что согласуется с временем начала этого события 15:15 UT (в этот момент времени станции наблюдения находились в послеполуденном секторе). Заметим, что рис. 1 и рис. 2 приведены для наглядного объяснения характера распространения пульсаций. Для анализа фазовых задержек выбирались максимумы (минимумы) явно выраженные на всех станциях.
Рис. 2. Азимутальные профили H-компоненты поля на магнитных широтах 65‒66° в рассматриваемых событиях, станции расставлены по магнитной долготе с востока на запад (в верхней части рисунка приводится станция с наибольшей долготой).
На рис. 3 показаны распределения эквивалентных ионосферных токов вдоль меридиональных сетей GREENLAND COAST CHAIN и IMAGE, черной сплошной линией схематично показан контур вихря в начальный момент времени. Из рис. 3 видно, что вихри перемещались в разных направлениях: в северо-западном (а), в северо-восточном (б, д), в юго-восточном (в), на север (г, е). Величина смещения вихря составляла до 6° по широте и до 10° по долготе. Следует отметить, что на широтах выше 68° сети IMAGE, где расположение станций близко к меридиональной цепочке (от BJN до NAL) неопределенность траектории вихря выше по сравнению с другими участками цепочки вследствие отсутствия двумерного покрытия при определении проекции ротора.
Рис. 3. Распределения эквивалентных ионосферных токов вдоль меридиональных сетей GREENLAND COAST CHAIN (левая панель) и IMAGE (правая панель). Чёрной сплошной линией схематично показан контур вихря в начальный момент времени. Белыми линиями на каждой панели показана траектория смещения центра вихря в интервалы времени UT, показанные на рисунке.
Рассчитанные нами количественные характеристики вихрей во всех событиях представлены в табл. 3, в колонках которой приведена информация о цепочке станций, начальном времени события, геомагнитной широте, долготе вихря, направлении вращения, меридиональной и азимутальной скоростях перемещения вихря. Здесь положительные значения меридиональной скорости соответствуют распространению к югу, положительные значения азимутальной скорости соответствуют распространению на запад. Из табл. 3 следует, что вихри перемещались преимущественно в северо-западном направлении на широтах 69‒73° со скоростями, типичными для магнитных импульсных событий: внезапных геомагнитных импульсов, TCV [Макаров и др., 2001; Makarov et al., 2002; Zesta et al., 2002; Kataoka et al., 2002; Zhao et al., 2023].
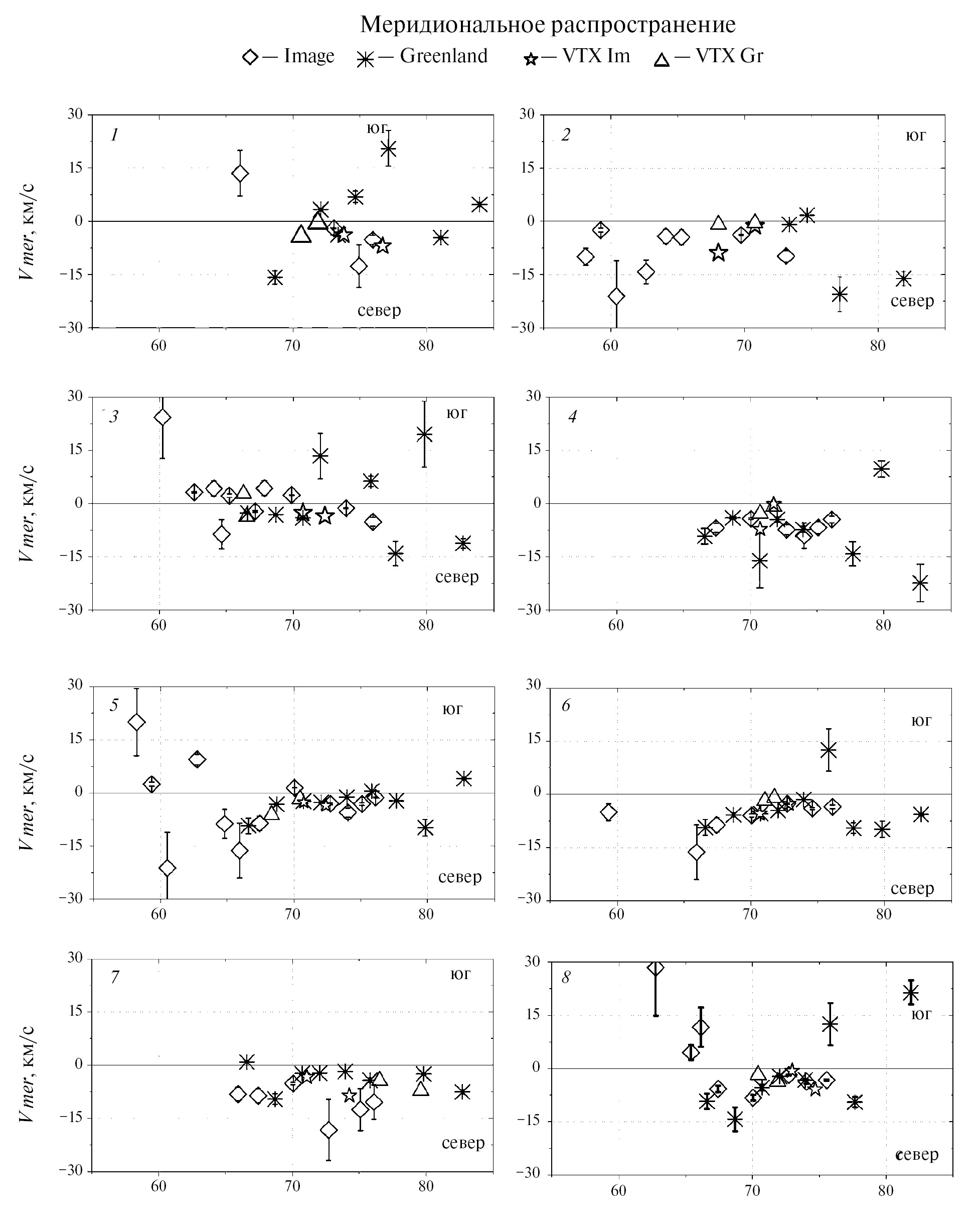
На рис. 4 приведено распределение меридиональных скоростей распространения Pc5 пульсаций относительно геомагнитной широты. Здесь положительные значения скоростей соответствуют распространению к югу, отрицательные – к северу. На рис. 4 звездами и треугольниками показаны скорости перемещения центров вихрей, ошибки измерений, – вертикальными линиями. На рис. 4 также приведены ошибки измерений. Абсолютные погрешности единичных косвенных измерений были рассчитаны на основе инструментальных погрешностей измерений используемых физических параметров с уровнем достоверности 95%. Из рис. 4 видно, что наряду с северным также наблюдалось и южное распространение. Однако, во всех событиях за исключением события 3 преобладало северное распространение. Отмечалось увеличение скорости распространения к северу по направлению к более низким широтам начиная с широты 70°, скорость возрастала от нескольких км/с до 10‒15 км/с. На широтах выше 75° очевидно увеличение скорости до 10‒15 км/с. Во всех событиях, за исключением события 7, значения скоростей, измеренные на обеих цепочках, удовлетворительно согласуются.
Рис. 4. Распределение меридиональных скоростей распространения геомагнитных пульсаций и вихрей эквивалентных ионосферных токов относительно геомагнитной широты во всех событиях, положительные значения скоростей соответствуют распространению к югу, отрицательные – к северу. В верхней части рисунка приведена легенда, на которой показаны символы обозначающие скорости распространения магнитных пульсаций и вихрей вдоль меридиональных сетей станций.
Однако, в событии 7 значения скоростей на цепочке IMAGE в 10‒15 раз больше. Возможно, в отличие от остальных, в этом событии вихрь имеет более локальные масштабы. Скорости вихрей, в рассматриваемых событиях, хорошо согласуются со скоростями Pc5 пульсаций по направлению.
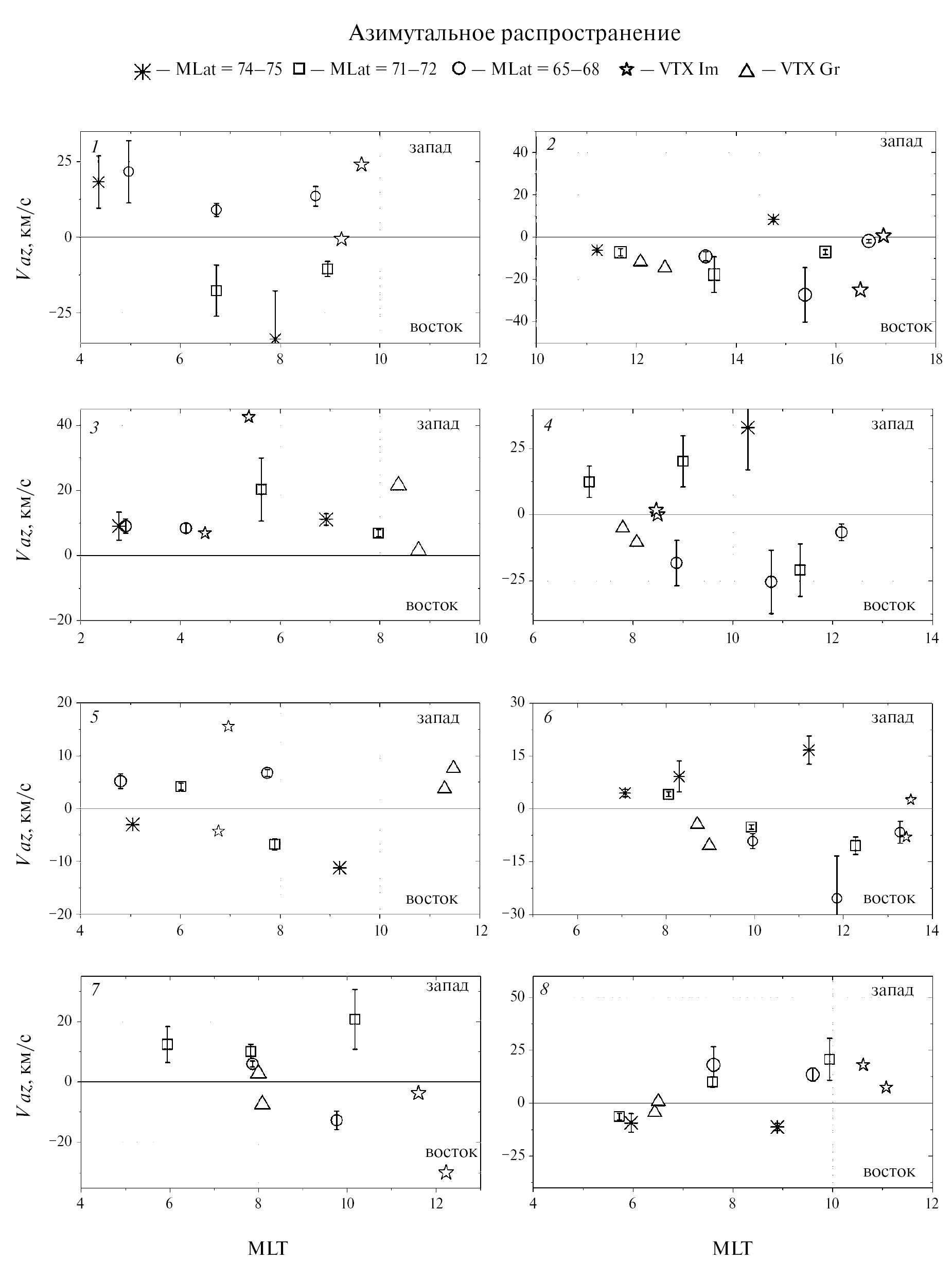
На рис. 5 показано распределение азимутальных скоростей распространения геомагнитных пульсаций и центров эквивалентных токовых вихрей по времени MLT (геомагнитной долготе) во всех событиях. Распространение пульсаций изучалось вдоль 3-х диапазонов широт: 74‒75°, 71‒72°, 65‒68°. При этом распространение вихрей рассматривалось относительно станций сетей IMAGE, GREENLAND COAST CHAIN. Ошибки оценки азимутальных скоростей распространения рассчитаны таким же образом, как и для меридиональных скоростей. Положительные значения скоростей соответствуют распространению на запад, отрицательные – на восток. Из рис. 5 видно, что кроме западного распространения наблюдалось также и восточное распространение пульсаций. Отмечалось уменьшение скорости распространения по направлению к ранним часам MLT, что можно интерпретировать как затухание волны при удалении от сектора первоначального контакта неоднородности солнечного ветра с магнитосферой.
Рис. 5. Распределение азимутальных скоростей распространения геомагнитных пульсаций и центров вихрей эквивалентных ионосферных токов относительно времени MLT (магнитной долготы) во всех событиях, приведены значения для 3-х диапазонов широт, вдоль которых изучалось распространение: 74‒75°, 71‒72°, 65‒68°. Положительные значения скоростей соответствуют распространению на запад, отрицательные – на восток.
Проведенный нами анализ показывает, что азимутальные скорости перемещения центров вихрей также согласуются со скоростями перемещения геомагнитных пульсаций. В отличие от рис. 4 для скоростей, на рис. 5 отсутствует зависимость от широты, т.е. скорость распространения пульсаций вдоль всех широт имеет примерно одинаковое значение.
Азимутальное распространение с ночной на дневную сторону, можно объяснить следующим образом: в работе [Клибанова и др., 2016] установлено, что Pс5 пульсации в основном распространялись с дневной на ночную сторону, но при этом регистрировалось и их противоположное распространение. Авторы связали это с возбуждением встречных волн пересоединением на ночной стороне магнитосферы. Рассматриваемые нами события происходили на спокойном фоне, на котором суббурь не наблюдалось, поэтому можно предположить, что возбуждение встречных волн происходит за счёт отражения от внутренней поверхности резонатора, в котором и происходит возбуждение пульсаций. Заметим, что о существовании такого резонатора сообщалось в работе [Mazur and Leonovich, 2006]. Если сравнить направление распространения вихрей с распространением пульсаций, то очевидно, что вихри имеют направление распространения с ночной на дневную (кроме события 2) в событии 6 и смешанное направление распространения в событиях 4 и 7.
Количественные характеристики скоростей распространения Pc5 пульсаций и вихрей на рис. 4 и рис. 5 приведены на рис. 6 как гистограммы распределения значений скоростей распространения геомагнитных пульсаций и эквивалентных токовых вихрей. На рис. 6а, б показаны гистограммы распределения меридиональных скоростей, на рисунке 6в, г – азимутальных. По оси ординат рис. 6а, в отложено число измерений скоростей Pc5 пульсаций по обеим сетям станций и по всем диапазонам широт, по оси ординат рис. 6б, г отложено число измерений скоростей распространения вихрей по обеим сетям станций. На гистограммах показана сглаживающая линия ‒ результат непараметрического способа оценки плотности случайной величины (Kernel Density Estimation). Из гистограмм видно, что распространение пульсаций и вихрей имеет сходный характер: по меридиану пульсации и вихри преимущественно распространяются к северу. В большинстве случаев скорость распространения пульсаций была примерно 5 км/с, а вихрей – 2 км/с, при этом по азимуту пульсации и вихри распространяются к западу, а скорость распространения пульсаций составляет около 10 км/с, а вихрей 3 км/с. Однако в распределении азимутальных скоростей как пульсаций, так и вихрей есть сравнимые по величине максимумы, соответствующие восточному распространению: скорость пульсаций составляет 10 км/с, вихрей ‒ 5 км/с.
Рис. 6. Гистограммы значений скоростей распространения геомагнитных пульсаций и эквивалентных токовых вихрей. (а, б) ‒ меридиональные скорости, (в, г) – азимутальные скорости.
Отсутствие станций, расположенных вдоль единого геомагнитного меридиана, может привести к формированию ложной фазовой задержки из-за прихода фронта УНЧ-волны с западного или восточного направления. Однако вследствие малости расстояний между станциями по широте (менее 500 км, что значительно меньше пространственного размера фронта волны) эти задержки несущественны, например, задержка между станциями NOR и SOR (рис. 1, события 1, 3), разнесенных по долготе на 3° равна 0 с в событии 1 и 10 с в событии 3, что сопоставимо с временным разрешением данных. Вследствие этого мы можем заключить, что ошибка не существенна.
В случае азимутального распространения расстояние между станциями составляет более 500 км и подобные рассуждения для меридионального распространения здесь неприменимы. Например, расстояние между станциями TRO и LRV расположенными вдоль параллели 65‒66° с учётом их разности по широте, составляющей около 2° (рис. 2, события 1, 2, 8) равно 1643 км. Расстояние же между станциями без учета разности по широте равно 1627 км. Средняя величина временной задержки между этими станциями составляет 100 с. Оценки азимутальных скоростей распространения показывают, что скорость без учета разности широт составляет 16.3 км/с, скорость с учeтом разности широт ‒ 16.4 км/с, их разность не превышает 0.1 км/с, т.е. меньше 1%. Поэтому мы считаем, что ошибка не существенна.
На рис. 7 показано распределение амплитуды и разности фаз по широте во всех событиях вдоль обоих меридиональных сетей станций. Из рис. 7 следует, что пульсации имели хорошо выраженные максимумы амплитуды на обеих цепочках, совпадающие по широте практически во всех событиях. Вблизи широты этих максимумов наблюдалось изменение фазы на величину, достигавшую 180° в событиях 3, 5 ,6. Считается, что широтный максимум амплитуды пульсаций, сопровождаемый сдвигом фазы на 180°, соответствует резонансу силовых линий [Glassmeier et al., 1999]. При этом широтные максимумы в рассматриваемых нами событиях наблюдались на широте 69‒74°. В событии 2 широты максимума амплитуды и изменения фазы отличаются на разных сетях станций, скорее всего вследствие малого количества станций Гренландской сети (всего 6 станций), которые были доступны для анализа широтного хода амплитуды и фазы в этом событии.
Рис. 7. Распределение амплитуды и фазы УНЧ волн относительно геомагнитной широты во всех событиях вдоль обеих меридиональных сетей станций. Стрелками отмечена широта изменения направления поляризации Pc5-пульсаций.
Другим возможным источником наблюдаемых эффектов может являться ионосферный ток, поскольку фазовый скачок почти во всех представленных случаях в Скандинавии приходится на область, где отсутствуют станции между материковой и островной частями, что не позволяет изучить этот участок более подробно. Для проверки этой гипотезы мы проанализировали поляризацию, построенную по H- и D-компонентам поля сети IMAGE. Мы отметили на рис. 7 широты, на которых направление вращения горизонтального вектора изменяется на противоположное. Практически во всех событиях широта, на которой происходит изменение направления вращения, совпадает с максимумом амплитуды на обеих цепочках, указывая на общий магнитосферный источник наблюдаемых пульсаций на обеих сетях станций (IMAGE и GREENLAND COAST CHAIN).
Значения широт, соответствующих амплитуде и фазе, приведены в табл. 4, там же указаны усредненные (между начальным и конечным положением вихря) широты наблюдения вихрей эквивалентных ионосферных токов. Видно, что широты наблюдения резонансов силовых линий и центров вихрей хорошо согласуются между собой, максимальная разница составляет около 2° (за исключением событий 7 и 8, где разница составляет 4°), что свидетельствует о соответствии широт резонансов силовых линий и вихрей эквивалентных ионосферных токов расположению продольных токов.
Таблица 4. Геомагнитные широты резонансных колебаний силовых линий и центров вихрей эквивалентных ионосферных токов
№ | Событие | Магнитная широта | |
FLR | VTX | ||
1 | 12.01.2008 | 74 | 73 |
2 | 13.07.2008 | 73.5 | 71 |
3 | 15.02.2011 | 70 | 69 |
4 | 02.03.2011 | 69.5 | 70.5 |
5 | 12.03.2011 | 72.5 | 70 |
6 | 14.03.2011 | 72.5 | 71 |
7 | 17.03.2011 | 69 | 73 |
8 | 09.08.2011 | 69 | 73 |
Примечание. VTX – центр вихря эквивалентного тока.
5. ОБСУЖДЕНИЕ
5.1. Движущиеся вихри конвекции
Токовая система пульсаций, являющаяся вихрями холловского тока и показанная на рис. 3, позволяет отнести их к событиям TCV, представляющим собой изолированное импульсное возмущение в геомагнитном поле, состоящее из двух и большего количества импульсов противоположной полярности, наблюдающееся на дневной стороне в высоких широтах. Источником TCV считается локальное воздействие на дневную магнитопаузу за счёт импульсов Pd или импульсного пересоединения на магнитопаузе: событий Flux Transfer Event (FTE). TCV распространяются в основном на запад по азимуту в утреннем секторе, однако, как показано в статистическом исследовании [Zesta et al., 2002] могут распространяться и на восток. Про распространение TCV вдоль меридиана к полюсу упоминается в работе [Kataoka et al., 2002]. В исследовании [Zesta et al., 2002] отмечалось, что TCV также обладают резонансными характеристиками, подобно наблюдаемым нами пульсациям. По перечисленным признакам наблюдаемые нами пульсации можно отнести к TCV.
5.2. Разный характер меридионального и азимутального распространения Pc5-пульсаций
Различное поведение меридиональных и азимутальных скоростей (зависимость первых от геомагнитной широты и независимость от нее последних) позволяет предположить, что эти скорости являются не просто разными составляющими скорости распространения УНЧ-волн в магнитосфере. Азимутальная скорость отражает распространение волны в магнитосфере, а меридиональная скорость соответствует процессу трансформации быстрой магнитозвуковой волны в альвеновскую, посредством резонанса силовых линий в волноводе в хвосте магнитосферы [Samson et al., 1992]. Возникающая при этом разность фаз [Glassmeier et al., 1992] и определяет направление распространения. В работе [Mazur and Leonovich, 2006] были теоретически исследованы причины формирования дискретного спектра УНЧ-волн в околоземном плазменном слое. Авторы предположили, что УНЧ-волны, в данном случае являются собственными модами резонатора в околоземном плазменном слое. Небольшое значение альвеновской скорости в этой области определяет низкую частоту собственных колебаний резонатора.
Подобие распределений меридиональных скоростей в рассматриваемых нами событиях (рис. 4) и в событии внезапного геомагнитного импульса в статье [Макаров и др., 2001] (см. рис. 4, стр. 607) служит подтверждением правильности этого предположения. Можно заключить, что несмотря на различие рассматриваемых нами пульсаций и геомагнитного импульса, в обоих типах событий происходит трансформация БМЗ волны в альвеновскую, что и определяет сходный вид широтного профиля меридиональной скорости.
5.3. Динамика геомагнитных пульсаций и вихрей
В недавней работе [Zhao et al., 2023] исследовалась синхронная динамика Pc5-пульсаций и так называемых “чёрных сияний”. Считается, что такие сияния наблюдаются в основании втекающих в ионосферу продольных токов. Пульсации имели резонансное происхождение и наблюдались в утреннем секторе в области регистрации “чёрных сияний”. Как пульсации, так и сияния, а также продольные токи перемещались к северу со скоростями 2.1, 1.18 и 1.4 км/с, соответственно. Кроме того, пульсации распространялись на запад по азимуту со скоростью большей по величине меридиональной скорости.
Пульсации в рассмотренных нами событиях также распространялись к северу в большинстве случаев со скоростями в несколько км/с, а скорости азимутального распространения примерно в 2 раза превышали меридиональные скорости и в основном составляли величину около 10 км/с. Что касается направления вращения вихрей, то только в 4-х случаях из 16 (см. рис. 3 и табл. 3) они имели направление по часовой стрелке, из чего следует, что большинство событий регистрируется в основании вытекающих из ионосферы продольных токов. Однако для ряда событий распространение к северу наблюдалось для вихрей с направлением вращения как против часовой, так и по часовой стрелке. В работе [Zhao et al., 2023] предполагается, что продольные токи противоположного направления во время пульсаций чередуются с периодом в несколько минут. Возможно, это имеет место и в событиях, рассмотренных нами. Направление распространения вихрей по азимуту, и их скорость в наших событиях согласуются с оценками, сделанными в работе [Chinkin et al., 2020]. В событии 3 вихри эквивалентных токов перемещались южном направлении, кроме того, в этом событии и в событиях 1, 5, 8 к югу перемещались и геомагнитные пульсации. Мы планируем изучить эти особенности распространения в будущем.
ЗАКЛЮЧЕНИЕ
На основе проведенного нами анализа 8 событий можно сделать следующие выводы. Установлено, что фазовые скорости распространения Pс5 геомагнитных пульсаций совпадают по направлению с групповыми скоростями вихрей, однако примерно в 2 раза превышают их по величине. Распространение вихрей происходит в более ограниченном секторе по широте и долготе по сравнению с геомагнитными пульсациями. Принимая во внимание, что азимутальное распространение и пульсаций, и вихрей происходит как с дневной на ночную сторону, так и в противоположном направлении, мы считаем, что наблюдаемая динамика в большей степени отражает характер распространения МГД-волн в магнитосфере.
БЛАГОДАРНОСТИ
Мы благодарим руководителей следующих проектов за предоставление доступа к данным: проект SUPERMAG (http://supermag.jhuapl.edu/mag), в том числе сеть IMAGE (https://space.fmi.fi/image/www/index.php?), GREENLAND COAST CHAIN (https://www.space.dtu.dk/english/research/scientific-data-and-models/magnetic_ground_stations), CANMOS (https://geomag.nrcan.gc.ca/obs/canmos-en.php), GIMA (https://www.gi.alaska.edu/monitors/magnetometer), INTERMAGNET (https://intermagnet.org/), USGS (https://www.usgs.gov/programs/geomagnetism/science/observatories), а также набор данных спутниковых наблюдений из CDAWEB (https://cdaweb.gsfc.nasa.gov/).
ФИНАНСИРОВАНИЕ РАБОТЫ
Работа выполнена при поддержке Министерства науки и высшего образования Российской Федерации.
КОНФЛИКТ ИНТЕРЕСОВ
Авторы заявляют об отсутствии конфликта интересов.
Об авторах
А. В. Моисеев
Институт космофизических исследований и аэрономии им. Ю.Г. Шафера СО РАН (ИКФИА СО РАН)
Автор, ответственный за переписку.
Email: moiseev@ikfia.ysn.ru
Россия, Якутск
В. И. Попов
Институт космофизических исследований и аэрономии им. Ю.Г. Шафера СО РАН (ИКФИА СО РАН)
Email: volts@mail.ru
Россия, Якутск
С. А. Стародубцев
Институт космофизических исследований и аэрономии им. Ю.Г. Шафера СО РАН (ИКФИА СО РАН)
Email: starodub@ikfia.ysn.ru
Россия, Якутск
Список литературы
- Клибанова Ю.Ю., Мишин В.В., Цэгмэд Б., Моисеев А.В. Свойства дневных длиннопериодных пульсаций во время начала магнитной бури // Геомагнетизм и аэрономия Т. 56. № 4. C. 457‒471. 2016.
- Макаров Г.А., Баишев Д.Г., Соловьев С.И., Пилипенко В.А., Енгебретсон М., Юмото К. Меридиональная скорость распространения магнитного SI в высокоширотной области // Геомагнетизм и аэрономия Т. 41. № 5. С. 604‒609. 2001.
- Мишин В. В., Матюхин Ю.Г. Неустойчивость Кельвина-Гельмгольца на магнитопаузе как возможный источник волновой энергии в магнитосфере Земли // Геомагнетизм и аэрономия. Т. 26. № 6. С. 952‒957. 1986.
- Хемминг Р.В. Цифровые фильтры. М.: Сов.радио. 224 с. 1980.
- Allan W., White S.P., and Poulter E.M. Impulse-excited hydromagnetic cavity and field-line resonances in the magnetosphere // Planet. Space Sci. V. 34. P. 371‒385. 1986. https://doi.org/10.1016/0032-0633(86)90144-3
- Chen L., Hasegawa A. A theory of long-period magnetic pulsations: 1. Steady state excitation of field line resonance // J. Geophys. Res. V. 79(7). P. 1024‒1032. 1974. https://doi.org/10.1029/JA079i007p01024
- Chinkin V.E., Soloviev A.A., Pilipenko V.A. Identification of Vortex Currents in the Ionosphere and Estimation of Their Parameters Based on Ground Magnetic Data // Geomagnetism and Aeronomy. V. 60(5). P. 559‒569. 2020. https://doi.org/10.1134/S0016793220050035
- Friis-Christensen E., Vennerstrom S., McHenry M.A., Clauer C.R. Ionospheric traveling convection vortices observed near the polar cleft-A triggered response to sudden changes in the solar wind // Geophys. Res. Lett. V. 15. P. 253–256. 1988. https://doi.org/10.1029/GL015i003p00253
- Gjerloev J.W. The SuperMAG data processing technique // J. Geophys. Res. V. 117. A09213.2012. https://doi.org/10.1029/2012JA017683
- Hughes W.J., Southwood D.J., Mauk B., McPherron R.L. and Barfield J.N. Alfvén waves generated by an inverted plasma energy distribution // Nature. V. 275. P. 43–45. 1978. https://doi.org/10.1038/275043a0
- Kataoka R., Fukunishi H., Lanzerott L.J., Rosenberg T.J., Weatherwax A.T., Engebretson M.J., Watermann J. Traveling convection vortices induced by solar wind tangential discontinuities // J. Geophys. Res. Space Physics. V. 107 (A12). SMP 22-1-SMP 22-12. 2002. https://doi.org/10.1029/2002JA009459
- Korotova G., Sibeck D., Engebretson M., Balikhin M., Thaller S., Kletzing C., Spence H., and Redmon R. Multipoint observations of compressional Pc 5 pulsations in the dayside magnetosphere and corresponding particle signatures // Ann. Geophys. V. 38. P. 1267–1281. 2020. https://doi.org/10.5194/angeo-38-1267-2020
- Leonovich A.S., Mishin V.V., and Cao J.B. Penetration of magnetosonic waves into the magnetosphere: influence of a transition layer // Ann. Geophys. V. 21. P. 1083–1093. 2003. https://doi.org/10.5194/angeo-21-1083-2003
- Lühr H., Blawert W. Ground Signatures of Travelling Convection Vortices Solar Wind Sources of Magnetospheric ULF Waves. M.J. Engebretson, et al. (Eds.) // Geophys. Monogr. V. 81, AGU, Washington. P. 231‒251. 1994. https://doi.org/10.1029/GM081p0231
- Makarov G.A., Solovyev S.I., Engebretson M., Yumoto K. Azimuth propagation of geomagnetic sudden pulse in high latitudes at the December 15, 1995 sharp decrease in a solar wind density // Geomagnetism and Aeronomy. V. 42. 1. P. 42–50. 2002.
- Mishin V.V. Accelerated motions of the magnetopause as a trigger of the Kelvin Helmholtz instability // J. Geophys. Res. V. 98. № 12. P. 21365–21372. 1993. https://doi.org/10.1029/93JA00417
- Motoba T., Kikuchi T., Lühr H., Tachihara H., Kitamura T.I., Hayash K, et al. Global Pc 5 caused by a DP2-type ionospheric current system // J. Geophys. Res. V. 107. P. 1032–1047. 2002. https://doi.org/10.1029/2001JA900156
- Mann I.R., Voronkov I., Dunlop M., Donovan E., Yeoman T.K., Milling D.K., Wild J., Kauristie K., Amm O., Bale S.D., Balogh A., Viljanen A., Opgenoorth H.J. Coordinated ground-based and Cluster observations of large amplitude global magnetospheric oscillations during a fast solar wind speed interval // Ann. Geophys.V.20. P. 405‒426. 2002. https://doi.org/10.5194/angeo-20-405-2002
- Pronin V.E., Zakharov V.I., Pilipenko V.A., Martines-Bedenko V.A., Murr D.L. Response of ionospheric total electron content to convective vortices // Cosmic Res. V. 57. 2. P. 69–78. 2019.
- Pulkkinen A., Amm O., Viljanen A., and BEAR working group. Separation of the geomagnetic variation field on the ground into external and internal parts using the spherical elementary current system method // Earth Planets Space. V. 55. P. 117–129. 2003. https://doi.org/10.1186/BF03351739
- Saito T. Long-period irregular magnetic pulsation Pi3 // Space Sci. Rev. V. 21. P. 427–467. 1978. https://doi.org/10.1007/BF00173068
- Samson J.C., Harrold B.G., Ruohoniemi J.M., Greenwald R.A, Walker A.D.M. Field line resonances associated with MHD waveguides in the magnetosphere // Geophys. Res. Let. V. 19. № 5. P. 441‒444. 1992. https://doi.org/10.1029/92GL00116
- Southwood D.J. Some features of field line resonances in the magnetosphere // Planet. Space Sci. V. 22. P. 483‒491. 1974.
- Southwood D.J., Dungey J.W., Etherington R.J. Bounce resonant interaction between pulsations and trapped particles // Planet. Space Sci. V. 17. P. 349‒361. 1969. https://doi.org/10.1016/0032-0633(69)90068-3
- Vanhamäki H., Juusola L. Introduction to Spherical Elementary Current Systems. // Ionospheric Multi-Spacecraft Analysis Tools. V. 17. P. 5–33. 2020. https://doi.org/10.1007/978-3-030-26732-2_13
- Vorobiev V.G. Dynamics of Hall vortices in the daytime high-latitude region // Geomagnetism and Aeronomy. V. 33. № 5. P. 58‒68. 1993.
- Wright A.N. Dispersion and wave coupling in inhomogeneous MHD waveguides // J. Geophys. Res. V. 99. P. 159‒167. 1994. https://doi.org/10.1029/93JA02206
- Yeoman T.K., Tian M., Lester M., Jones T.B. A study of Pc 5 hydromagnetic waves with equatorward phase propagation // Planet. Space Sci. V. 40. P. 797–810. 1992. https://doi.org/10.1016/0032-0633(92)90108-Z
- Zhao H., Liu Y., Zong Q., Yang H., Hu Z., Zhou X., Sun J. Poleward-Moving Black Aurora Associated with Impulse-Excited Field-Line Resonances in the Dawnside Sector: THEMIS and Ground Observations // Universe. 9(6), 250 2023. https://doi.org/10.3390/universe9060250
- Zesta E., Hughes W. J., Engebretson M. J. A statistical study of traveling convection vortices using the Magnetometer Array for Cusp and Cleft Studies // J. Geophys. Res. V. 107. P. 18.1‒18.21. 2002. https://doi.org/10.1029/1999JA000386
- SuperMAG Web Service API. http://supermag.jhuapl.edu/mag.
- Coordinated Data Analysis Web (CDAWeb). http://cdaweb.gsfc.nasa.gov.
- Vanhamäki and Juusola 2020.Program code as supplementary material to the paper https://link.springer.com/chapter/10.1007/978-3-030-26732-2_2#Sec18
Дополнительные файлы









