Сезонно-суточные особенности характеристик среднемасштабных перемещающихся ионосферных возмущений в азиатском регионе России в годы умеренной солнечной активности
- Авторы: Куркин В.И.1,2, Подлесный А.В.1, Цедрик М.В.1, Софьин А.В.1,2
-
Учреждения:
- Институт солнечно-земной физики СО РАН
- Российский новый университет
- Выпуск: Том 64, № 3 (2024)
- Страницы: 400-407
- Раздел: Статьи
- URL: https://ogarev-online.ru/0016-7940/article/view/274418
- DOI: https://doi.org/10.31857/S0016794024030065
- EDN: https://elibrary.ru/SMRMAS
- ID: 274418
Цитировать
Полный текст
Аннотация
На основе данных системы радиотрасс наклонного зондирования на средних широтах азиатского региона России выявлена высокая (до 40–50%) среднесуточная вероятность появления среднемасштабных перемещающихся ионосферных возмущений в годы умеренной солнечной активности. Суточный ход вероятности регистрации этих возмущений имеет ярко выраженную сезонную зависимость. Для зимнего сезона наблюдается дневной максимум вероятности, достигающий в отдельные дни 100%. В летний сезон максимум вероятности приходится на ночные часы местного времени в средней точке соответствующей трассы. Возможной причиной этого является переход от зимней к летней системе атмосферной циркуляции.
Полный текст
1. ВВЕДЕНИЕ
Исследования среднемасштабных перемещающихся ионосферных возмущений (СМ ПИВ) с помощью ионозондов вертикального и наклонного зондирования имеют длительную историю (см., например, [Wells et al.,1946; Munro, 1950]). Ввиду существенного влияния СМ ПИВ на многолучевость КВ ионосферного радиоканала и трудности прогнозирования их появления, реализуются многолетние национальные и международные программы исследования СМ ПИВ с использованием систем радиотрасс наклонного зондирования (НЗ) [Zolesi et al., 2008; Verhulst et al., 2017; Heitmann et al., 2018]. В России аналогичные многолетние исследования активно ведутся в ее европейской части [Вертоградов и др., 2008; Vybornov et al., 2022]. В азиатском регионе России СМ ПИВ исследуются как с использованием многопозиционных измерений на Иркутском радаре некогерентного рассеяния и дигизонде DPS-4 [Medvedev et al., 2013], так и на системе радиотрасс наклонного ЛЧМ зондирования ионосферы [Софьин и Куркин, 2021]. Однако многообразие потенциальных источников СМ ПИВ и широкий диапазон их собственных характеристик оставляет еще много неясных вопросов в их прогнозировании и возможном использовании для диагностики динамических характеристик нейтральной атмосферы. В данной статье приведены результаты анализа сезонно-суточных зависимостей характеристик СМ ПИВ на основе двухлетнего эксперимента по наклонному зондированию ионосферы азиатского региона России в годы умеренной солнечной активности (2015–2016 гг.).
2. ЭКСПЕРИМЕНТАЛЬНЫЕ ДАННЫЕ
Мы проанализировали данные наклонного зондирования ионосферы непрерывным сигналом с линейной модуляцией частоты (ЛЧМ-сигнал) в диапазоне 6–30 МГц со скоростью перестройки 500 кГц/с на системе из пяти радиотрасс с использованием аппаратуры, разработанной в ИСЗФ СО РАН и послужившей основой для многофункционального ЛЧМ-ионозонда для мониторинга ионосферы [Подлесный и др., 2013]. Три ЛЧМ-передатчика, расположенные в обсерваториях ИСЗФ СО РАН в Норильске (координаты 70.1° N, 88.1° E; мощность 150 Вт) и ИКИР ДВО РАН вблизи Магадана (60° N, 150.7° E; 150 Вт) и Хабаровска (47.6° N, 134.7° E; 15 Вт), излучали круглосуточно с интервалом 5 минут. В Норильске и Магадане передача велась на логопериодические антенны, в Хабаровске – на горизонтальный ромб. Два приемных пункта расположены в п. Торы вблизи Иркутска (координаты 51.8° N, 103.1° E) и вблизи Норильска (рис. 1).
Рис. 1. Система радиотрасс наклонного ЛЧМ-зондирования ионосферы в азиатском регионе России.
В Иркутске прием проводился на дельтаобразную антенну размахом 36 м на мачте высотой 10 м, в Норильске – на активную рамочную антенну диаметром 1 м. Буквами A, B, C, D и E на рис. 1 обозначены средние точки односкачковых радиотрасс, анализируемых в данной работе. Непрерывный мониторинг в режиме наклонного зондирования осуществлялся на 5 трассах: Хабаровск−Иркутск (2300 км), Магадан−Иркутск (3000 км), Норильск−Иркутск (2100 км), Хабаровск−Норильск (3500 км) и Магадан−Норильск (3000 км). Эксперимент проводился в годы умеренной солнечной активности на спаде 24-го цикла, когда ежемесячное усредненное количество солнечных пятен уменьшалось от 90 до 30.
На рис. 2, в качестве иллюстрации, для трассы Хабаровск−Иркутск показаны характерные возмущения (Z-типа) на ионограммах наклонного зондирования, возникающие за счет дополнительной многолучевости принимаемого сигнала при пересечении СМ ПИВ области в окрестности точки отражения односкачкового сигнала. Область эффективного воздействия СМ ПИВ на регистрируемые ионограммы составляет несколько сотен км в окрестности средней точки трассы [Софьин и Куркин, 2021]. Следует отметить, что в отличие от вертикального и слабонаклонного зондирования возмущенная область на ионограммах НЗ (Z-типа) всегда спускается вдоль трека верхнего луча вниз, переходя, как правило, со временем на нижний луч и продолжая движение в область меньших задержек.
Рис. 2. Примеры ионограмм НЗ с возмущениями Z-типа для трассы Хабаровск−Иркутск с интервалом 5 мин.
Указанная система радиотрасс позволила провести сопоставление влияния СМ ПИВ на ионограммы наклонного зондирования для односкачковых радиотрасс азиатского региона России при различной их ориентации и при расположении области отражения сигналов в средних и субполярных широтах. В качестве характеристик возмущений ионограмм в дальнейшем будут использоваться:
Pt – вероятность регистрации СМ ПИВ, определяемая отношением числа ионограмм с возмущениями Z-типа к общему числу зарегистрированных ионограмм в течение часового интервала наблюдений;
Pd – среднесуточная вероятность регистрации СМ ПИВ, определяемая отношением возмущенных ионограмм для какого-либо числа выбранного месяца к общему числу зарегистрированных ионограмм в этот день;
Tn – длительность регистрации конкретного СМ ПИВ определяемая произведением числа возмущенных ионограмм, где он присутствует, на пятиминутный интервал регистрации.
3. ОБСУЖДЕНИЕ РЕЗУЛЬТАТОВ НАБЛЮДЕНИЯ
Передающие пункты рассматриваемой системы радиотрасс работали стабильно в течении всего анализируемого периода наблюдений, обеспечивая излучение в более 95% всех планируемых сеансов. Исключение составляют сентябрь 2015 г. для Магаданского пункта (65%) и август 2015 г. для Норильского передатчика (75%). Приемный пункт в п. Торы вблизи Иркутска работал без сбоев. Норильский приемный пункт, расположенный на выносном пункте “Исток” Норильской комплексной магнитно-ионосферной станции (КМИС) в тундре в 100 км от Норильска, обеспечил регистрацию ионограмм в более 80% случаев, когда излучали передатчики в Хабаровске и в Магадане. Исключение составил март 2016 г., когда было зарегистрировано около 50% излученных сигналов.
Для среднеширотных трасс Хабаровск−Иркутск, Магадан−Иркутск и Норильск−Иркутск суточный ход вероятности регистрации СМ ПИВ (Pt) в зимние месяцы имеет ярко выраженный максимум в дневные часы местного времени в средних точках указанных радиотрасс.
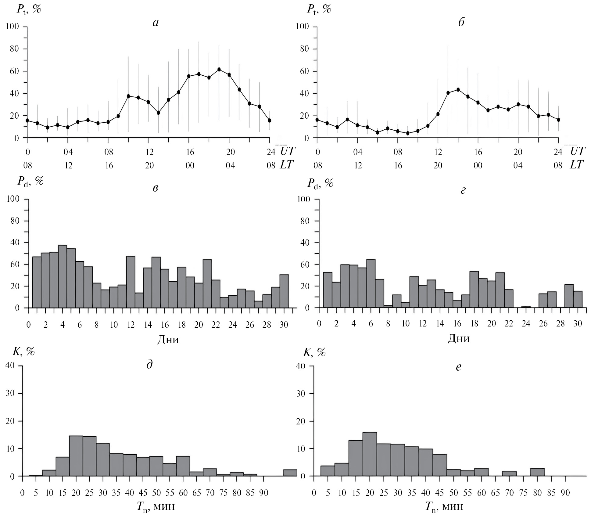
На рис. 3 (а и б) вертикальными линиями указан диапазон значений Pt ото дня ко дню для каждого часа суток в декабре 2015 г. для трасс Хабаровск−Иркутск и Магадан−Иркутск. Среднемесячные значения Pt, указанные здесь точками, в дневные часы превышали 70%. Среднесуточная вероятность регистрации СМ ПИВ (Pd) была максимальной на трассе Хабаровск−Иркутск (в среднем более 40%), достигая в отдельные дни 60% (рис. 3в). Вероятность регистрации СМ ПИВ длительностью от 30 до 70 мин превышала 60%. При этом интервал минимальной вероятности регистрации возмущенных ионограмм в суточном ходе (12–20 UT) для трассы Хабаровск−Иркутск хорошо коррелирует с данными многолетних наблюдений временной зависимости интенсивности ВГВ вблизи средней точки радиотрассы (ст. Мохэ) с использованием метеорного радара [Long et al., 2023]. На трассах Магадан−Иркутск и Норильск−Иркутск в освещенное время суток (00–09 UT) среднемесячные значения вероятности регистрации возмущений Pt превышали 60%, достигая в отдельные дни 100% так же, как и для трассы Хабаровск−Иркутск. В ночные часы частота появления СМ ПИВ на этих трассах мала, хотя критические частоты в средних точках трасс незначительно ниже, чем для трассы Хабаровск−Иркутск. Среднесуточная вероятность регистрации СМ ПИВ (Pd) в декабре 2015 г. на трассе Магадан−Иркутск варьировалась от 10% до 40% (рис. 3г). Длительность регистрации каждого СМ ПИВ (Tn) для этих трех радиотрасс варьировалась от 15 до 90 минут. При этом, значения Tn, равные 30 мин и более, зарегистрированы приблизительно в 70% случаев. Указанные особенности вероятностных характеристик СМ ПИВ на среднеширотных односкачковых радиотрассах азиатского региона России характерны как для остальных месяцев зимнего сезона 2015–2016 гг. [Kurkin et al., 2023], так и для зимнего сезона 2014–2015 гг.
Рис. 3. Характеристики СМ ПИВ (Pt, Pd, Tn) в декабре 2015 г. для радиотрасс Хабаровск−Иркутск (а, в, д) и Магадан−Иркутск (б, г, е).
На субполярной радиотрассе Магадан−Норильск среднемесячные значения вероятности регистрации возмущений Pt в дневные часы были существенно ниже, не превышая 60%, а интервал времени регистрации ПИВ сократился (01–08 UT). В остальные часы вероятность регистрации СМ ПИВ очень мала, что связано с низкой концентрацией фоновой ионосферы в это время вдоль субполярной радиотрассы. Длительность регистрации отдельных СМ ПИВ, в основном, составляла 15–35 мин.
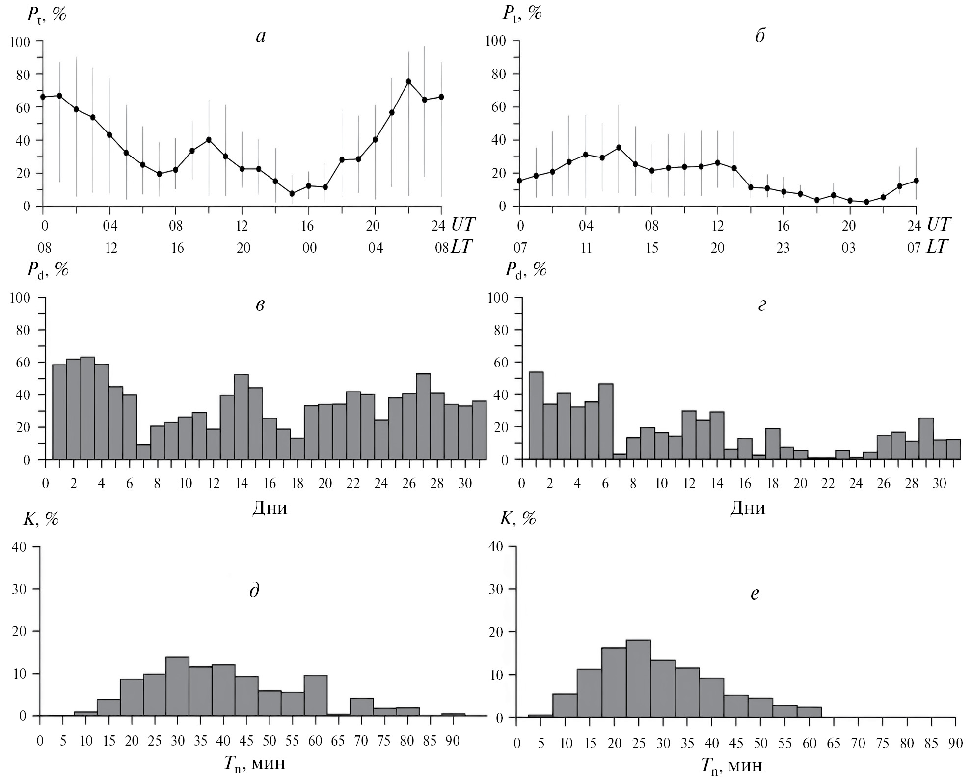
Для весеннего сезона характерно существенное падение вероятности регистрации СМ ПИВ (Pt) на трассах Хабаровск−Иркутск (рис. 4а) и Магадан−Иркутск в дневные часы местного времени и увеличение ее в утренние и вечерние часы. При этом среднесуточная вероятность регистрации СМ ПИВ (Pd) уменьшилась незначительно за счет расширения временного интервала регистрации СМ ПИВ. Незначительно изменились и гистограммы распределения времени регистрации отдельных СМ ПИВ (Tn) для этих радиотрасс.
Рис. 4. Характеристики СМ ПИВ (Pt, Pd, Tn) для радиотрасс Хабаровск−Иркутск (а, в, д) и Норильск−Иркутск (б, г, е) в марте 2016 г.
На трассе Норильск−Иркутск наряду с уменьшением дневного максимума Pt (рис. 4б) отмечается существенная изменчивость как вероятности регистрации СМ ПИВ ото дня ко дню в одни и те же часы, так и длительности регистрации отдельных СМ ПИВ в результате перестройки глобальной атмосферной циркуляции. Более 60% зарегистрированных СМ ПИВ имели длительность Tn менее 30 мин.
Для радиотрасс Хабаровск−Норильск и Магадан−Норильск дневной максимум вероятности регистрации СМ ПИВ увеличился по сравнению с зимним сезоном до 60% при незначительном росте вероятности регистрации СМ ПИВ в ночные часы.
Аналогичные особенности проявления СМ ПИВ на среднеширотных трассах азиатского региона России Хабаровск−Иркутск, Норильск−Иркутск и Магадан−Иркутск зарегистрированы в осенний сезон (рис. 5). Для радиотрасс Хабаровск−Норильск и Магадан−Норильск дневной максимум среднемесячных значений вероятности регистрации СМ ПИВ (Pt) осенью не превышал 30%.
Рис. 5. То же, что на рис. 4, для сентября 2015 г.
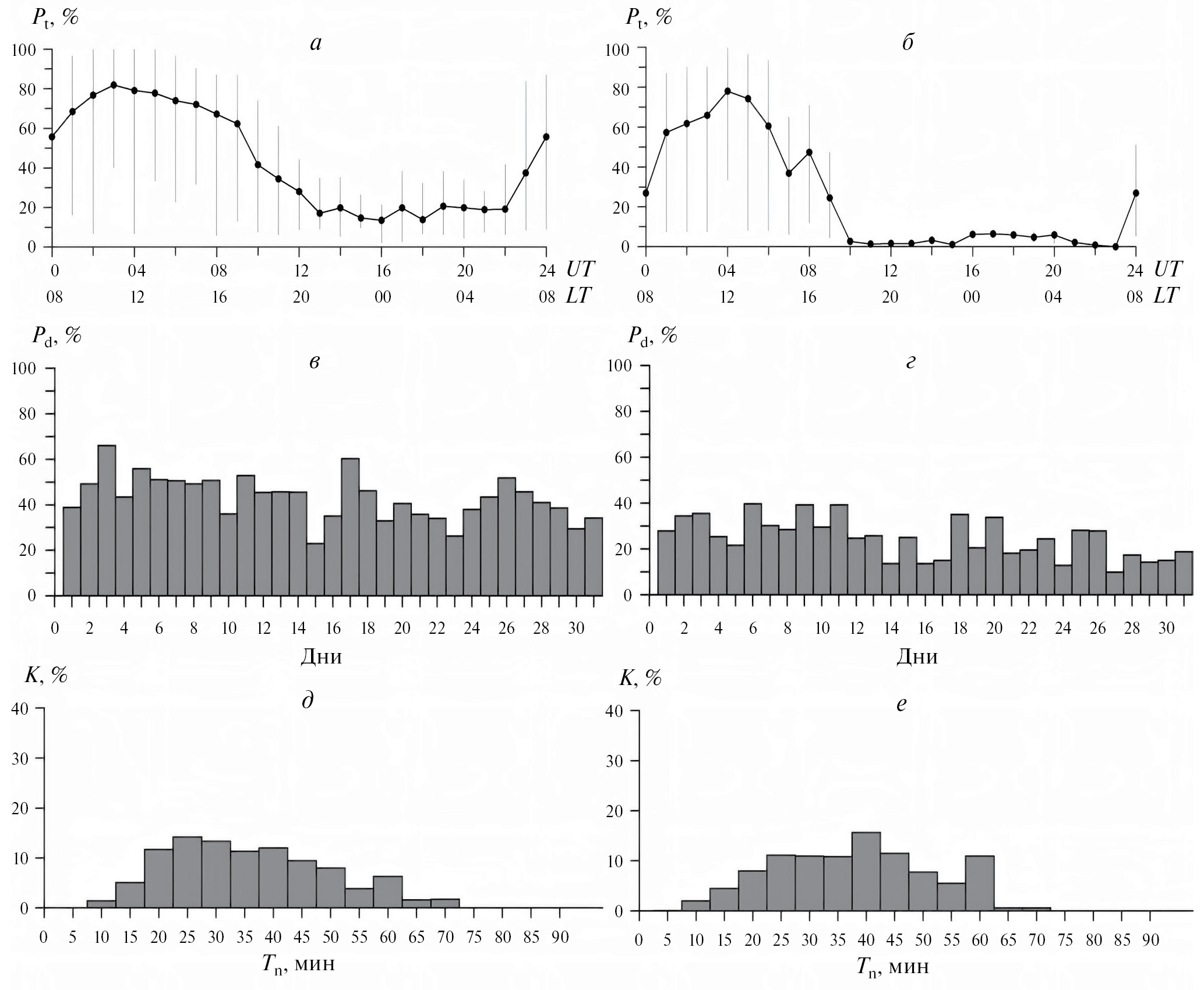
В летние месяцы на всех трассах в дневные часы местного времени регистрировалось минимальное количество СМ ПИВ (не более 20%) с выраженным максимумом среднемесячной вероятности (около 60%) в ночные часы. Наряду с большими длительностями (40 мин и более) в эти дни наблюдались многочисленные СМ ПИВ с длительностями 30 минут и менее. В качестве иллюстрации на рис. 6 приведены характеристики СМ ПИВ на трассах Хабаровск−Иркутск и Норильск−Иркутск в июне 2015 г. Существенные вариации среднесуточных вероятностей регистрации СМ ПИВ (Pt) в периоды 8–10 и 22–28 июня объясняются влиянием умеренной и мощной геомагнитных бурь.
Рис. 6. Характеристики СМ ПИВ (Pt, Pd, Tn) для радиотрасс Хабаровск−Иркутск (а, в, д) и Норильск−Иркутск (б, г, е) в июне 2015 г.
4. ЗАКЛЮЧЕНИЕ
Суточный ход вероятности регистрации СМ ПИВ на односкачковых радиотрассах в азиатском регионе России в годы умеренной солнечной активности имеет ярко выраженную сезонную зависимость. Для зимнего сезона на всех рассмотренных трассах наблюдается дневной максимум Pt, достигающий на среднеширотных радиотрассах в отдельные дни 100%. В летний сезон максимум Pt приходится на ночные часы местного времени в средней точке соответствующей трассы. Наиболее вероятной причиной этого является переход от зимней к летней системе атмосферной циркуляции. Поэтому в весенний и осенний сезоны отмечены существенные изменения как вероятности регистрации СМ ПИВ ото дня ко дню, так и длительности регистрации отдельных СМ ПИВ в течение суток.
ФИНАНСИРОВАНИЕ РАБОТЫ
Работа выполнена при финансовой поддержке Российского научного фонда (проект № 20-12-00299-П), использованы экспериментальные данные и результаты первичной обработки, полученные при финансовой поддержке Минобрнауки (субсидия № 075-ГЗ/Ц3569/278) с помощью оборудования Центра коллективного пользования “Ангара” (http://ckp-angara.iszf.irk.ru/).
Об авторах
В. И. Куркин
Институт солнечно-земной физики СО РАН; Российский новый университет
Автор, ответственный за переписку.
Email: vikurkin@yandex.ru
Россия, Иркутск; Москва
А. В. Подлесный
Институт солнечно-земной физики СО РАН
Email: pav1986@rambler.ru
Россия, Иркутск
М. В. Цедрик
Институт солнечно-земной физики СО РАН
Email: mark7cedrick@gmail.com
Россия, Иркутск
А. В. Софьин
Институт солнечно-земной физики СО РАН; Российский новый университет
Email: sof@rambler.ru
Россия, Иркутск; Москва
Список литературы
- Вертоградов Г.Г., Денисенко П.Ф., Вертоградова Е.Г., Урядов В.П. Мониторинг среднемасштабных перемещающихся ионосферных возмущений по результатам наклонного ЛЧМ-зондирования ионосферы // Электромагнитные волны и электронные системы. Т. 13. № 5. С. 35–44. 2008.
- Подлесный А.В., Брынько И.Г., Куркин В.И., Березовский В.А., Киселев А.М., Петухов Е.В. Многофункциональный ЛЧМ ионозонд для мониторинга ионосферы // Гелиогеофизические исследования. Вып. 4. С. 24–31. 2013.
- Софьин А.В., Куркин В.И. Исследование пространственных областей влияния ПИВ на ионограммы наклонного зондирования ионосферы // Труды XXVII Всероссийской открытой научной конференции “Распространение радиоволн” [Электронный ресурс]: научное электронное издание. Калининград: Издательство БФУ им. И. Канта. С. 358–363. 2021.
- Heitmann A.J., Cervera M.A., Gardiner-Garden R.S., Holdsworth D.A., MacKinnon A.D., Reid I.M., Ward B.D. Observations and modelling of travelling ionospheric disturbance signatures from an Australian network of oblique angle-of-arrival sounders // Radio Sci. V. 53. № 9. P. 1089–1107. 2018. https://doi.org/10.1029/2018RS006613
- Kurkin V.I., Medvedeva I.V., Podlesnyi A.V. Effect of sudden stratosphere warming on characteristics of medium-scale traveling ionospheric disturbances in the Asian region of Russia // Adv. Space Res. 2023. https://doi.org/10.1016/j.asr.2023.09.020
- Long C., Yu T., Sun Y.-Y., Yan X., Zhang J., Yang N., Wang J., Xia C., Liang Y., Ye H. Atmospheric gravity wave derived from the neutral wind with 5-minute resolution routinely retrieved by meteor radar at Mohe // Remote Sensing. V. 15. № 2. ID 296. 2023. https://doi.org/10.3390/rs15020296
- Medvedev A.V., Ratovsky K.G., Tolstikov M.V., Alsatkin S.S., Scherbakov A.A. Studying of the spatial-temporal structure of wavelike ionospheric disturbances on the base of Irkutsk incoherent scatter radar and Digisonde data // J. Atmos. Sol.-Terr. Phy. V. 105–106. P. 350–357. 2013. https://doi.org/10.1016/j.jastp.2013.09.001
- Munro G.H. Travelling disturbances in the ionosphere // P. Roy. Soc. Lond. A Mat. V. 202. № 1069. P. 208–223. 1950. https://doi.org/10.1098/rspa.1950.0095
- Verhulst T., Altadill D., Mielich J. et al. Vertical and oblique HF sounding with a network of synchronised ionosondes // Adv. Space Res. V. 60. № 8. P. 1644–1656. 2017. https://doi.org/10.1016/j.asr.2017.06.033
- Vybornov F., Sheiner O., Kolchev A., Zykov E., Chernov A., Shumaev V., Pershin A. On the results of a special experiment on the registration of traveling ionospheric disturbances by a system of synchronously operating chirp ionosondes // Atmosphere. V. 13. № 1. P. 84–98. 2022. https://doi.org/10.3390/atmos13010084
- Wells H.W., Watts J.M., George D.E. Detection of rapidly moving ionospheric clouds // Phys. Rev. V. 69. № 9–10. P. 540–541. 1946. https://doi.org/10.1103/PhysRev.69.540
- Zolesi B., Fontana G., Perrone L.et al. A new campaign for oblique incidence ionospheric sounding over Europe and its data application // J. Atmos. Sol.-Terr. Phy. V. 70. № 6. P. 854–869. 2008. https://doi.org/10.1016/j.jastp.2007.02.015
Дополнительные файлы








