Forbush decreases and geomagnetic disturbances: 2. Comparison of solar cycles 23–24 and events with sudden and gradual onset
- Authors: Melkumyan A.A.1, Belov A.V.1, Shlyk N.S.1, Abunina M.A.1, Abunin A.A.1, Oleneva V.A.1, Yanke V.G.1
-
Affiliations:
- Pushkov Institute of Terrestrial Magnetism, Ionosphere and Radio Wave Propagation of Russian Academy of Sciences (IZMIRAN)
- Issue: Vol 64, No 1 (2024)
- Pages: 39-54
- Section: Articles
- URL: https://ogarev-online.ru/0016-7940/article/view/260742
- DOI: https://doi.org/10.31857/S0016794024010057
- EDN: https://elibrary.ru/GQPZCU
- ID: 260742
Cite item
Full Text
Abstract
Statistical relationships between the values of geomagnetic indices and the characteristics of cosmic rays and interplanetary disturbances are studied for Forbush decreases with sudden and gradual onset associated with different types of solar sources: a) coronal mass ejections from active regions accompanied by solar flares; b) filament eruptions outside active regions; c) high-speed streams from coronal holes; d) several sources. Using statistical methods, the dependence of geomagnetic indices on cosmic ray and solar wind parameters for Forbush decreases in solar cycles 23 and 24 is also compared. The results obtained showed: a) interplanetary disturbances associated with coronal mass ejections from active regions cause mainly magnetic storms with a sudden onset; b) interplanetary disturbances associated with high-speed streams from coronal holes cause mainly storms with a gradual onset; c) interplanetary disturbances associated with filament eruptions outside active regions cause equally probable storms with a sudden and gradual onset. For sporadic Forbush decreases the values of cosmic ray and geomagnetic activity parameters are, on average, higher for events with a sudden onset; for recurrent Forbush decreases, the nature of the event onset does not affect the value of these parameters. For all types of solar sources the parameters of the disturbed solar wind are, on average, higher in events with a sudden onset. The geoefficiency of interplanetary disturbances is much higher in the 23rd cycle for events associated with ejections from active regions; for other types of disturbances, the difference between the cycles is weak.
Full Text
1. Введение
Форбуш-понижением (ФП) называют изменение плотности галактических космических лучей (КЛ) в крупномасштабных возмущениях солнечного ветра (СВ), проявляющееся в относительно быстром понижении интенсивности КЛ, за которым следует более медленное (в масштабе нескольких дней) восстановление [Forbush, 1937; Lockwood, 1971; Iucci et al., 1979]. Убывание плотности галактических КЛ во время ФП часто сопровождается повышенными значениями анизотропии КЛ [Belov, 2008]. ФП и геомагнитные бури могут быть откликом на одни и те же солнечные и гелиосферные возмущения, поэтому между параметрами, характеризующими эти явления, должна существовать связь, по крайней мере статистическая. В первой работе по этой теме [Мелкумян и др., 2023] подробно описаны результаты совместного статистического анализа параметров КЛ, СВ и геомагнитной активности (ГА) для ФП, связанных с разными типами солнечных источников: а) корональными выбросами массы (Coronal Mass Ejections –CMEs) из активных областей (АО), сопровождавшимися солнечными вспышками; б) волоконными выбросами вне АО; в) высокоскоростными потоками из корональных дыр (Coronal Holes – CHs); г) несколькими источниками. В данной работе для тех же типов солнечных источников исследуются статистические связи между характеристиками КЛ, СВ и ГА: а) для ФП с внезапным началом (Sudden Storm Commencement –SSC) и с постепенным началом (Gradual Storm Commencement –GSC); б) для ФП в солнечных циклах (Solar Cycles –SCs) 23 и 24. Известно, что основным источником магнитосферных возмущений является отрицательная (южная) Bz-компонента межпланетного магнитного поля (ММП). Среди межпланетных возмущений, вызывающих ФП и имеющих длительную значительную южную Bz-компоненту, представлены в большей степени спорадические возмущения (Interplanetary Coronal Mass Ejections –ICMEs) и в меньшей степени рекуррентные возмущения (Corotating Interaction Regions –CIRs), связанные с высокоскоростными потоками из корональных дыр. Исследование геоэффективности межпланетных возмущений разного типа проводилось во многих работах, например, [Alves, 2006; Yermolaev et al., 2012; Дремухина и др., 2019] (под геоэффективностью понимается вероятность возникновения геомагнитной бури или эффективность процесса генерации бурь). Многие авторы исследовали также связь параметров ГА и ФП [например, Belov, 2008; Badruddin and Kumar, 2015; Шлык и др., 2021]. Более подробный обзор литературы представлен в первой работе по этой теме [Мелкумян и др., 2023].
Известно, что SSC является надежным признаком больших геомагнитных бурь [например, Park et al., 2002], и маркером межпланетных ударных волн, c приходом которых часто начинаются Форбуш-понижения [Belov, 2008]. В предыдущей статье мы исследовали связь геомагнитных возмущений с ФП, разделив последние на группы по типу солнечных источников, с которыми они связаны. Можно также разделить ФП по особенностям их начала, объединив в одну группу события, начавшиеся с прихода к Земле межпланетной ударной волны (ФП с внезапным началом), а в другую – события без ударной волны (ФП с постепенным началом). Ударные волны более характерны для событий, обусловленных корональными выбросами, и не типичны для событий, связанных с CHs, хотя множество возмущений, созданных ICМЕs, приходят к Земле без ударной волны, а ударные волны у Земли иногда наблюдаются и на фронтах высокоскоростных потоков из CHs. Различие в поведении характеристик ФП в событиях с внезапным и постепенным началом исследовали, например, [Абунин и др. [2012]. Полученные результаты показали: а) выборки событий с внезапным (группа S) и постепенным (группа NS) началом существенно различаются между собой; б) в S-группе оказались в среднем более мощные события; в) при одном и том же уровне ГА в S-группе наблюдаются ФП большей величины, чем в группе NS; г) ФП в S-группе в большей мере обусловлены спорадическими возмущениями СВ, в то время как значительная часть событий группы NS связана с рекуррентными возмущениями.
Известно, что 24-й солнечный цикл слабее и мощность межпланетных возмущений в нем меньше, чем в цикле 23 и в предыдущих солнечных циклах [например, Gopalswamy et al., 2020]. Сравнение геоэффективности межпланетных возмущений и значений параметров КЛ, СВ и ГА в солнечных циклах 23 и 24 проводилось разными авторами. Oh and Kim [2013] исследовали вариации параметров солнечной активности (СА), а также межпланетных (величина ММП и интенсивность КЛ) и геомагнитных (Ap-индекс) характеристик в солнечных циклах 21–24. Все параметры, и особенно величина ММП, характеризовались очень малыми значениями в период минимума между циклами 23 и 24 (Min 23–24), что могло быть результатом слабых солнечных магнитных полей. Gopalswamy et al. [2015], сравнивая характеристики транзиентных возмущений и ГА в максимумах циклов 23 (Max 23) и 24 (Max 24), показали, что, хотя количество магнитных облаков в Max 24 не уменьшилось, абсолютные значения почти всех параметров стали существенно меньше. Самые большие изменения наблюдались для значений Dst-индекса: средние значения для области взаимодействия (Sheath) и для магнитного облака составили соответственно –66 нТл и –55 нТл в Max 23 и –33 нТл и –23 нТл в Max 24. Уменьшение интенсивности геомагнитных бурь было прямым следствием уменьшения параметра VBz (произведение скорости магнитного облака на Bz-компоненту магнитного поля). Yermolaev et al. [2022] сравнивали поведение геомагнитных индексов и параметров межпланетных возмущений в солнечных циклах 21–22 и 23–24. Было показано, что с началом 23-го цикла доля магнитных бурь, инициированных CIRs, возросла по сравнению с двумя предыдущими циклами, так как количество ICMEs значительно уменьшилось, в то время как количество рекуррентных событий мало изменилось. Произошли также изменения в характере взаимодействия СВ с магнитосферой Земли, связанные со значительным уменьшением напряженности ММП, плотности и температуры СВ в солнечных циклах 23–24 по сравнению с циклами 21–22.
Цель настоящей работы –сравнение геоэффективности межпланетных возмущений, а также статистических характеристик и связей параметров КЛ, СВ и ГА для ФП, связанных с разными типами солнечных источников: а) в событиях с внезапным и постепенным началом; б) в солнечных циклах 23 и 24.
2. Данные и методы
В работе использовались данные с января 1997 по декабрь 2021 г. из созданной и поддерживаемой в ИЗМИРАН базы данных Форбуш-эффектов и межпланетных возмущений (Forbush Effects and Interplanetary Disturbances –FEID) [Белов и др., 2018; https://tools.izmiran.ru/feid]. В базе данных FEID с 1997 по 2021 г. содержится 1637 событий, надежно привязанных к солнечным источникам разного типа. После выбора по критерию Bzmin < –5 нТл осталось 944 события (группа FULL). По типу солнечных источников эти ФП были разделены на группы: а) СМЕ1 (N = 209 событий) –ФП, связанные с CMEs из АО; б) СМЕ2 (N = 145) –ФП, связанные с волоконными выбросами вне АО; в) CH (N = 160) –ФП, связанные с высокоскоростными потоками из корональных дыр; г) MIX (N = 430) –ФП, связанные с двумя и более источниками. Каждое ФП описывается несколькими параметрами: AF (амплитуда ФП), Axymax (максимальная в течение ФП экваториальная анизотропия КЛ), Azrange (размах северо-южной анизотропии КЛ); Bzmin (минимальное в течение ФП отрицательное значение Bz-компоненты ММП); Vmax и Bmax (максимальные в течение ФП скорость СВ и индукция ММП); Vb и Bb (значения скорости СВ и индукции ММП за час до начала ФП). В качестве характеристик межпланетных возмущений используются также параметры dB = Bmax –Bb и dV = Vmax –Vb и параметр KTmin –минимальное в течение ФП значение температурного индекса [Мелкумян и др., 2020]. Для характеристики ГА используются параметры: Dstmin (минимальное в течение ФП отрицательное значение Dst-индекса), Apmax и Kpmax (максимальные в течение ФП значения Ap–и Kp-индекса). Солнечная активность характеризуется параметром SSN (Solar Spot Numbers), равным количеству солнечных пятен в день начала ФП. Для описания временного развития событий используются временные параметры: Tmin (время спада), TDstmin, TVmax, TBmax [Мелкумян и др., 2022]. В целях сравнения геоэффективности межпланетных возмущений, а также статистических свойств параметров и их взаимосвязей для разных групп событий строились гистограммы и круговые диаграммы, вычислялись квартили распределений, средние значения, коэффициенты корреляции и стандартизированные коэффициенты множественной линейной регрессии (Standardized Regression Coefficient –SRC).
3. Результаты и обсуждение
3.1. ФП с внезапным и постепенным началом
В настоящей работе сравниваются статистические характеристики геомагнитных индексов и параметров КЛ и СВ для ФП с внезапным началом (группа FULL, SSC-события, N = 298 событий) и с постепенным началом (группа FULL, GSC-события, N = 646 событий) при Bzmin < –5 нТл. Количество ФП, сопровождавшихся магнитными бурями (Kpmax ≥ 5–), в группе FULL составило 224 ФП (75%) для SSC-событий и 284 ФП (44%) для GSC-событий, что указывает на существенно большую геоэффективность событий с внезапным началом. На рис. 1 представлены круговые диаграммы параметра Kpmax (Kpmax ≥ 5–), показывающие относительное количество магнитных бурь разной интенсивности в группах ФП с разными типами солнечных источников для событий с внезапным и постепенным началом. Из рисунка видно, что в группе FULL для SSC-событий наблюдаются магнитные бури от слабых (Kp = 5) до экстремальных (Kp = 9), для GSC-событий –от слабых до очень сильных (Kp = 8). Разница в геоэффективности SSC–и GSC-событий обусловлена, вероятно, тем, что большая часть (N = 145) ФП, связанных с выбросами массы из АО, относится к группе SSC, в то время как ФП, связанные с волоконными выбросами вне АО, распределяются между группами SSC (N = 76) и GSC (N = 69) примерно поровну, а рекуррентные ФП в большинстве (N = 140) относятся к группе GSC. Полученные результаты показывают, что: а) для магнитных бурь, вызванных межпланетными возмущениями, связанными с выбросами массы из АО, характерно в основном внезапное начало; б) для бурь, вызванных рекуррентными возмущениями, более характерно постепенное начало; в) межпланетные возмущения, связанные с волоконными выбросами вне АО, с одинаковой вероятностью вызывают бури с внезапным и постепенным началом. Таким образом, можно связать SSC-события преимущественно с CMEs/ICMEs, но нельзя однозначно утверждать, что GSC-события связаны в основном с CIRs; они могут быть связаны с разными типами солнечных источников.
Рис. 1. Круговые диаграммы параметра Kpmax в группах FULL, СМE1, СМЕ2, СН для событий с внезапным (SSC) и постепенным (GSC) началом (Kpmax ≥ 5—).
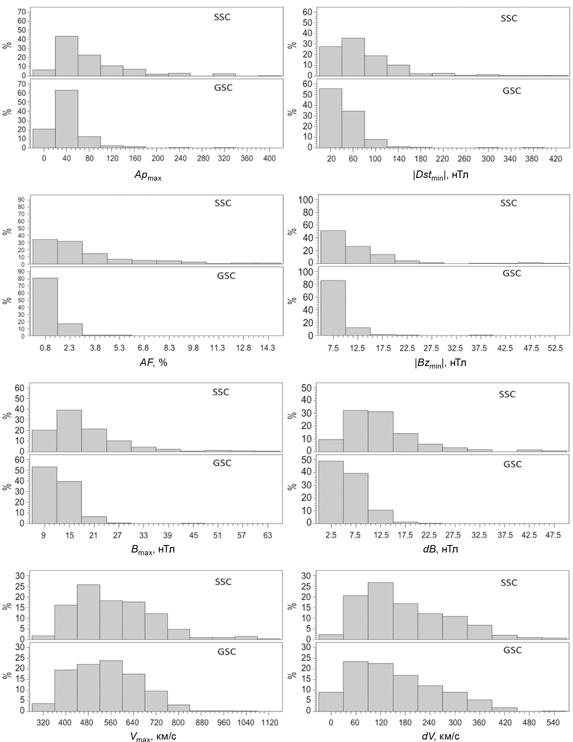
В табл. 1 для событий с внезапным и постепенным началом представлены медианы распределений: а) параметров геомагнитной и солнечной активности; б) параметров КЛ и межпланетных возмущений; в) параметров dB и dV, показывающих разницу между характеристиками возмущенного и спокойного СВ. На рис. 2 показаны гистограммы параметров Apmax, |Dstmin|, AF, |Bzmin|, Bmax, Vmax, dB, dV в группе FULL для событий с внезапным (SSC) и постепенным (GSC) началом. Из соображений масштаба для SSC-событий не показаны Форбуш-понижения: 2003.10.29 (AF = 28.0%, Vmax = 1800 км/c); 2003.10.30 (Vmax = 1876 км/c). Из рисунка видно, что распределения всех параметров (кроме Vmax и dV) характеризуются значительной положительной асимметрией независимо от характера начала события, а для SSC-событий имеют длинные “хвосты” в области бо́льших значений. Распределения Vmax и dV ближе к симметричным, что вообще характерно для скорости СВ [Мелкумян и др., 2018], и слабее отличаются между SSC- и GSC-событиями. Из табл. 1 видно, что |Dstmin| для спорадических ФП с внезапным началом (медиана = 78 нТл для СМЕ1 и 72 нТл для СМЕ2) существенно больше, чем для спорадических событий с постепенным началом (соответственно 37 и 34 нТл). В то же время для рекуррентных ФП характер начала события на величину |Dstmin| практически не влияет (медиана = 38 нТл для SSC и 33 нТл для GSC). Такое же поведение характерно для параметров КЛ (AF, Axymax, Azrange) и параметра |Bzmin|. У остальных параметров СВ как для спорадических, так и для рекуррентных ФП медианы распределений больше для SSC-, чем GSC-событий. Особенно большое отличие наблюдается для параметров dB и dV, показывающих разницу между характеристиками возмущенного и спокойного СВ. Таким образом, полученные результаты показывают: а) у большинства параметров распределения для SSC- и GSC-событий отличаются наличием “хвоста” в области бо́льших значений у ФП с внезапным началом; б) для спорадических ФП, медианы параметров КЛ, |Dstmin| и |Bzmin| больше для событий с внезапным началом; в) для рекуррентных ФП характер начала события на величину этих параметров практически не влияет; г) параметры Bmax, Vmax и особенно dB, dV больше для событий с внезапным началом для всех типов солнечных источников.
Рис. 2. Гистограммы параметров Apmax, |Dstmin|, AF, |Bzmin|, Bmax, dB, Vmax, dV в группах FULL, CME1, CME2, CH для событий с внезапным (SSC) и постепенным (GSC) началом (Bzmin < –5 нТл). В группах FULL и СМЕ1 для событий с SSC не показаны Форбуш-понижения: 2003.10.29 (AF = 28.0%, Vmax = 1800 км/c), 2003.10.30 (Vmax = 1876 км/c).
Таблица 1. Медианы распределений Dstmin, Apmax, SSN, параметров КЛ и межпланетных возмущений в разных группах событий при наличии или отсутствии SSC (Bzmin < –5 нТл)
SSC | GSC | |||||||||
FULL | CME1 | CME2 | CH | MIX | FULL | CME1 | CME2 | CH | MIX | |
N | 298 | 145 | 76 | 20 | 57 | 646 | 64 | 69 | 140 | 373 |
Dstmin | –65 | –78 | –71.5 | –38 | –50 | –36 | –37 | –34 | –33 | –38 |
Apmax | 61.5 | 80 | 56 | 39 | 48 | 32 | 27 | 27 | 32 | 32 |
AF | 2.1 | 3.3 | 1.75 | 1.05 | 1.4 | 1.0 | 1.1 | 0.9 | 0.9 | 1.0 |
Axymax | 1.57 | 1.90 | 1.57 | 0.91 | 1.12 | 1.07 | 1.29 | 1.14 | 0.95 | 1.08 |
Azrange | 1.22 | 1.55 | 1.12 | 0.87 | 0.98 | 0.92 | 1.04 | 0.92 | 0.85 | 0.94 |
Vmax | 544.5 | 579 | 453.5 | 653.5 | 555 | 542.5 | 448.5 | 424 | 591 | 554 |
Bmax | 16.3 | 19.3 | 15.8 | 14.35 | 14.6 | 11.6 | 11.65 | 11.2 | 11.25 | 12 |
Bzmin | –9.85 | –10.5 | –11.15 | –7.5 | –7.8 | –6.8 | –6.8 | –7.2 | –6.5 | –7.0 |
KTmin | 0.30 | 0.20 | 0.23 | 0.59 | 0.54 | 0.56 | 0.29 | 0.41 | 0.62 | 0.56 |
dV | 155.5 | 163 | 92 | 305 | 187 | 133.5 | 46 | 43 | 221 | 148 |
dB | 11.15 | 12.3 | 11.05 | 10.95 | 8.7 | 5.1 | 4.75 | 5.4 | 6.45 | 4.6 |
SSN | 89 | 112 | 78 | 13 | 56.5 | 57 | 97 | 75 | 16 | 62 |
В табл. 2 представлены парные коэффициенты корреляции параметра |Dstmin| с параметрами КЛ и СВ для SSC- и GSC-событий в группах FULL, CME1, CME2, CH, MIX.
Таблица 2. Коэффициенты корреляции |Dstmin| с SSN, параметрами КЛ и межпланетных возмущений в разных группах событий при наличии или отсутствии SSC (Bzmin < –5 нТл)
SSC | GSC | |||||||||
FULL | CME1 | CME2 | CH | MIX | FULL | CME1 | CME2 | CH | MIX | |
N | 298 | 145 | 76 | 20 | 57 | 646 | 64 | 69 | 140 | 373 |
AF | 0.67 | 0.65 | 0.54 | — | 0.36 | 0.27 | — | 0.43 | 0.38 | 0.23 |
Axymax | 0.48 | 0.43 | 0.39 | — | — | 0.27 | 0.36 | 0.29 | — | 0.18 |
Azrange | 0.49 | 0.48 | 0.34 | — | — | 0.30 | 0.26 | 0.38 | — | 0.31 |
Vmax | 0.54 | 0.60 | 0.52 | 0.54 | — | 0.29 | 0.47 | 0.33 | 0.42 | 0.30 |
Bmax | 0.76 | 0.78 | 0.69 | — | 0.29 | 0.55 | 0.83 | 0.60 | 0.36 | 0.38 |
Bzmin | 0.83 | 0.84 | 0.75 | — | 0.58 | 0.67 | 0.89 | 0.78 | 0.41 | 0.51 |
KTmin | –0.30 | –0.46 | –0.30 | — | — | –0.20 | –0.32 | –0.37 | — | — |
Vb | 0.46 | 0.43 | — | — | 0.32 | 0.35 | 0.48 | 0.29 | 0.27 | 0.27 |
Bb | 0.38 | 0.40 | 0.26 | — | 0.28 | 0.55 | 0.80 | 0.46 | 0.32 | 0.44 |
SSN | 0.27 | 0.18 | — | — | — | 0.22 | — | — | 0.31 | 0.22 |
В группе FULL корреляция Dstmin с Bzmin для событий с внезапным началом (сильная) значимо больше, чем для событий с постепенным началом (умеренная). Если сравнивать группы, выделенные по типу солнечного источника, то для групп СМЕ1 и СМЕ2 эта корреляция (сильная) не зависит от характера начала события, так же как и корреляция в группе MIX (значительная). В группе СН для SSC-событий корреляция |Dstmin| с остальными параметрами статистически незначима (кроме Vmax), что может быть связано с малым объемом выборки (N = 20), а для GSC-событий наблюдается умеренная корреляция |Dstmin| с большинством параметров. Как будет показано ниже, статистическая связь Dstmin с большинством параметров ослабляется, если учитывать статистическую зависимость между всеми параметрами.
Для исследования статистических связей между Dst-индексом и характеристиками КЛ и СВ использовался также метод множественной регрессии, учитывающий взаимосвязи между параметрами. В табл. 3 представлены SRCs и коэффициенты детерминации (R2) для прогнозируемой переменной |Dstmin| и набора предикторов AF, Axymax, Azrange, Bmax, Vmax, Bzmin, Bb, Vb, KTmin для SSC- и GSC-событий в группах ФП, связанных с разными типами солнечных источников. Значение SRC показывает долю дисперсии прогнозируемой переменной, объясняемую данным предиктором; значение R2 показывает долю дисперсии, которую объясняют все используемые предикторы. В группе СМЕ1 параметр |Dstmin| зависит: а) от |Bzmin| немного сильнее для событий с постепенным (SRC = 0.87), чем с внезапным (0.68) началом; б) от Vmax (0.46) и Bb (0.22) для GSC-событий; в) от Vb (0.15) для SSC-событий. В группе СМЕ2 параметр |Dstmin| зависит: а) от |Bzmin| независимо от характера начала события (SRC = 0.63–0.67); б) от Vb (0.22) для GSC-событий; в) от AF (0.25) для SSC-событий. Высокие значения коэффициента детерминации для спорадических ФП (R2 от 0.76 до 0.88, множественный коэффициент корреляции — от 0.87 до 0.94) позволяют утверждать, что результаты получены с высокой степенью надежности. Для SSC-событий из группы СН (R2 = 0.17) низкое качество прогноза связано, очевидно, с малым объемом выборки и не позволяет обсуждать зависимость между |Dstmin| и параметрами КЛ и СВ. Для GSC-событий из группы СН (R2 = 0.47) зависимость |Dstmin| “размазана” по нескольким параметрам, при этом зависимость от |Bzmin| (SRC = 0.25) меньше, чем от Bmax (0.35) и Vb (0.36). Таким образом, для событий с постепенным началом: а) для спорадических ФП, независимо от типа солнечного источника, бо́льшая часть изменений Dst-индекса определяется южной компонентой ММП; б) для рекуррентных событий зависимость Dst-индекса от характеристик КЛ и СВ распределяется равномерно по нескольким параметрам; в) для спорадических событий наблюдается зависимость Dst-индекса от параметров спокойного СВ (от Bb в СМЕ1 и от Vb в СМЕ2); г) для рекуррентных событий зависимость Dst-индекса от южной компоненты ММП меньше, чем от Bmax и Vb. Для ФП с внезапным началом основная доля дисперсии Dst-индекса определяется южной компонентой ММП как для спорадических, так и для смешанных событий.
Таблица 3. Результаты множественной линейной регрессии для прогнозируемой переменной |Dstmin| в разных группах событий при наличии или отсутствии SSC (Bzmin < –5 нТл)
SSC | GSC | |||||||||
FULL | CME1 | CME2 | CH | MIX | FULL | CME1 | CME2 | CH | MIX | |
N | 298 | 145 | 76 | 20 | 57 | 646 | 64 | 69 | 140 | 373 |
R2 | 0.81 | 0.82 | 0.73 | 0.17 | 0.49 | 0.62 | 0.88 | 0.76 | 0.47 | 0.46 |
Стандартизированные коэффициенты регрессии | ||||||||||
AF | 0.09 | — | 0.25 | — | 0.37 | — | — | — | 0.21 | — |
Axymax | — | — | — | — | –0.31 | — | — | — | –0.15 | — |
Azrange | — | — | — | — | — | 0.08 | — | — | — | 0.15 |
Vmax | — | — | — | — | — | — | 0.46 | — | — | — |
Bmax | — | — | — | — | — | 0.12 | — | — | 0.35 | — |
Bzmin | 0.65 | 0.68 | 0.63 | — | 0.68 | 0.50 | 0.87 | 0.67 | 0.25 | 0.40 |
KTmin | — | — | — | — | — | –0.07 | — | — | — | — |
Vb | 0.20 | 0.15 | — | — | 0.34 | 0.24 | — | 0.22 | 0.36 | 0.25 |
Bb | — | — | — | — | — | 0.17 | 0.22 | — | — | 0.19 |
В табл. 4 представлены характеристики распределений параметров временного развития ФП и коэффициенты корреляции между TDstmin и Tmin, TBmax, TVmax для ФП с внезапным и постепенным началом в группах, связанных с разными типами солнечных источников. Из таблицы видно, что: а) независимо от характера начала событий, во всех группах (кроме SSC-событий в группе СН) Dst-индекс достигает экстремального значения в конце фазы спада ФП, что подтверждается умеренной или сильной корреляцией TDstmin – Tmin; б) независимо от типа солнечного источника, для SSC-событий величина ММП достигает максимума в начале фазы спада (кроме группы СМЕ2, где максимальное поле достигается в середине фазы спада), для GSC-событий –в ее середине; в) для спорадических ФП максимум скорости СВ регистрируется в середине фазы спада, независимо от характера начала события; г) для рекуррентных и смешанных источников максимум скорости СВ регистрируется в конце фазы спада для SSC-событий и в начале фазы восстановления для GSC-событий. Последние три утверждения частично совпадают с результатами, полученными ранее для рекуррентных и спорадических ФП [Мелкумян и др., 2022].
Таблица 4. Статистические характеристики параметров TDstmin, Tmin, TBmax, TVmax и коэффициенты корреляции TDstmin с остальными параметрами для разных групп событий
Группа | N | Параметр | Среднее | Медиана | IQR | 95% | r | |
SSC | FULL | 279 | TDstmin | 17.3 ± 0.6 | 14 | 10—24 | 36 | 1.00 |
Tmin | 17.9 ± 0.6 | 17 | 9—24 | 41 | 0.40 | |||
TVmax | 14.5 ± 0.9 | 10 | 4—20 | 45 | 0.23 | |||
TBmax | 9.3 ± 0.5 | 6 | 3—13 | 25 | 0.41 | |||
CME1 | 137 | TDstmin | 15.3 ± 0.7 | 13 | 9—19 | 33 | 1.00 | |
Tmin | 15.2 ± 0.7 | 13 | 8—21 | 31 | 0.50 | |||
TVmax | 9.6 ± 0.8 | 7 | 3—12 | 27 | 0.21 | |||
TBmax | 7.5 ± 0.6 | 5 | 3—9 | 21 | 0.24 | |||
CME2 | 71 | TDstmin | 19.7 ± 1.3 | 17 | 12—26 | 43 | 1.00 | |
Tmin | 17.1 ± 1.0 | 17 | 10—23 | 32 | 0.35 | |||
TVmax | 10.6 ± 1.1 | 8 | 4—14 | 31 | — | |||
TBmax | 13.8 ± 1.3 | 11 | 5—22 | 33 | 0.54 | |||
CH | 18 | TDstmin | 18.4 ± 2.5 | 15.5 | 10—29 | 39 | 1.00 | |
Tmin | 29.5 ± 2.8 | 31 | 19—41 | 46 | — | |||
TVmax | 35.6 ± 3.9 | 31.5 | 22—48 | 67 | — | |||
TBmax | 6.9 ± 1.0 | 6 | 3—9 | 19 | 0.40 | |||
MIX | 53 | TDstmin | 18.9 ± 1.5 | 15 | 11—25 | 43 | 1.00 | |
Tmin | 22.0 ± 1.7 | 19 | 11—30 | 45 | 0.34 | |||
TVmax | 25.4 ± 2.5 | 21 | 12—38 | 68 | 0.33 | |||
TBmax | 9.0 ± 0.8 | 7 | 4—12 | 23 | 0.45 | |||
GSC | FULL | 520 | TDstmin | 19.9 ± 0.5 | 17 | 11—27 | 44 | 1.00 |
Tmin | 22.5 ± 0.6 | 21 | 11—33 | 45 | 0.38 | |||
TVmax | 25.9 ± 0.7 | 24 | 14—35 | 55 | 0.30 | |||
TBmax | 13.1 ± 0.5 | 10 | 6—17 | 34 | 0.37 | |||
CME1 | 50 | TDstmin | 20.3 ± 1.8 | 17 | 11—30 | 46 | 1.00 | |
Tmin | 20.7 ± 1.7 | 18 | 10—28 | 44 | 0.52 | |||
TVmax | 12.0 ± 1.4 | 8.5 | 4—16 | 29 | 0.31 | |||
TBmax | 13.5 ± 1.6 | 10 | 3—21 | 32 | — | |||
Группа | N | Параметр | Среднее | Медиана | IQR | 95% | r | |
GSC | CME2 | 60 | TDstmin | 18.3 ± 1.5 | 16.5 | 9.5—24.5 | 48 | 1.00 |
Tmin | 17.9 ± 1.3 | 18 | 10.5—22 | 38 | 0.38 | |||
TVmax | 13.5 ± 1.6 | 9 | 4—20.5 | 40 | — | |||
TBmax | 15.1 ± 1.2 | 12.5 | 9—19/5 | 35.5 | 0.35 | |||
CH | 126 | TDstmin | 23.7 ± 1.1 | 22.5 | 14—33 | 45 | 1.00 | |
Tmin | 26.0 ± 1.2 | 26 | 14—38 | 46 | 0.28 | |||
TVmax | 33.1 ± 1.4 | 31 | 21—45 | 60 | 0/35 | |||
TBmax | 12.9 ± 0.8 | 10 | 6—17 | 29 | 0.45 | |||
MIX | 284 | TDstmin | 18.4 ± 0.7 | 16 | 10—24 | 40 | 1.00 | |
Tmin | 22.3 ± 0.8 | 20 | 11—33 | 45 | 0.38 | |||
TVmax | 27.7 ± 0.9 | 26 | 17—36 | 54 | 0.33 | |||
TBmax | 12.9 ± 0.7 | 10 | 5—17 | 38 | 0.38 | |||
SC 23 | FULL | 411 | TDstmin | 19.2 ± 0.6 | 17 | 11—26 | 43 | 1.00 |
Tmin | 21.0 ± 0.6 | 18 | 10—30 | 45 | 0.35 | |||
TVmax | 21.6 ± 0.8 | 18 | 7—33 | 54 | 0.30 | |||
TBmax | 11.6 ± 0.5 | 8 | 4—16 | 30 | 0.32 | |||
SC 24 | FULL | 388 | TDstmin | 18.7 ± 0.6 | 16 | 10—25 | 41 | 1.00 |
Tmin | 20.8 ± 0.6 | 19 | 10—30 | 45 | 0.45 | |||
TVmax | 22.4 ± 0.8 | 20 | 10—31 | 53 | 0.30 | |||
TBmax | 12.0 ± 0.5 | 9 | 5—16 | 32 | 0.47 |
3.2. ФП и геомагнитные возмущения в солнечных циклах 23–24
В данной работе сравниваются распределения и статистические связи параметров КЛ, СВ и ГА в солнечных циклах 23 (1997–2008 гг.) и 24 (2009–2019 гг.). При Bzmin < –5 нТл, количество ФП в группе FULL составило: N = 488 в SC 23 и N = 406 в SC 24. Количество ФП, сопровождавшихся магнитными бурями (Kpmax ≥ 5–), для группы FULL равно 299 событий в SC 23 (61%) и 189 событий в SC 24 (47%), что указывает на бо́льшую геоэффективность межпланетных возмущений в 23-м солнечном цикле.
На рис. 3 представлены круговые диаграммы параметра Kpmax, показывающие относительное количество магнитных бурь разной интенсивности в солнечных циклах 23 и 24 в разных группах событий. Из рисунка видно, что: a) в группе СМЕ1 доля больших бурь (от сильных до экстремальных) существенно выше в SC 23 (56%), чем в SC 24 (24%); б) в группе СМЕ2 доля сильных и очень сильных бурь также больше в SC 23 (27%), чем в SC 24 (20%), но разница между циклами небольшая; в) в группе СН разница между циклами незначимая; г) в обоих циклах геоэффективность рекуррентных событий много меньше, чем спорадических. Известно [например, Gopalswamy et al., 2020], что 24-й солнечный цикл слабее и мощность возмущений СВ в нем меньше, чем в цикле 23, так что полученные результаты соответствуют общей характеристике этих циклов. Уменьшение геоэффективности спорадических событий в цикле 24 может быть вызвано изменениями в характере взаимодействия СВ с магнитосферой Земли, связанными со значительным уменьшением напряженности ММП, плотности и температуры СВ в солнечном цикле 24 [Yermolaev et al., 2022].
Рис. 3. Круговые диаграммы параметра Kpmax в группах FULL, CME1, CME2, CH для солнечных циклов 23 и 24 (Kpmax ≥ 5–).
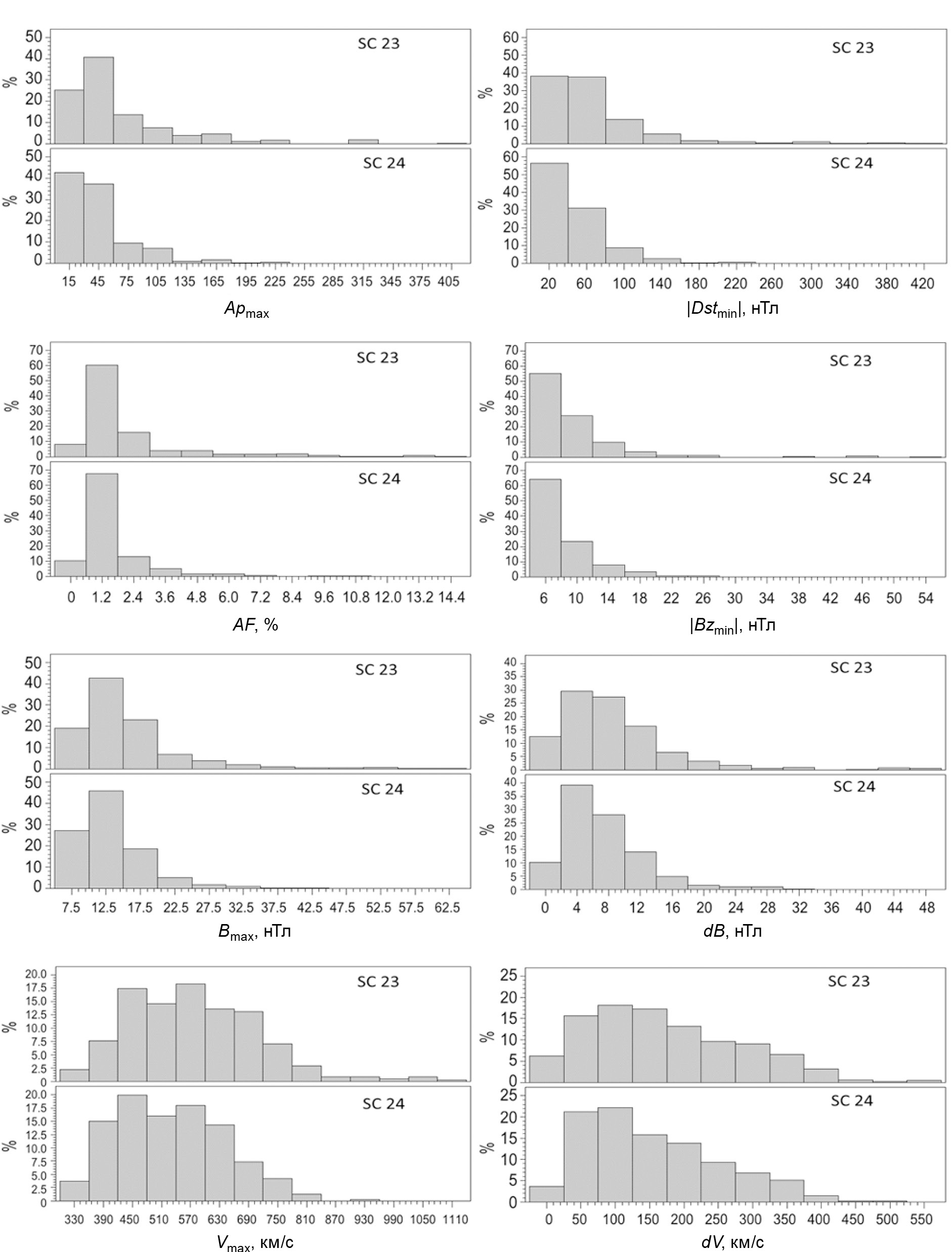
На рис. 4 показаны гистограммы параметров Apmax, |Dstmin|, AF, |Bzmin|, Bmax, Vmax, dB, dV для SC 23 и SC 24 в разных группах событий. Из соображений масштаба в группах FULL и CME1 в SC 23 не показаны события: 2003.10.29 (AF = 28.0%, Vmax = 1800 км/c), 2003.10.30 (Vmax = 1876 км/c). Из рисунка видно, что распределения всех параметров (кроме Vmax) характеризуются существенной положительной асимметрией в обоих солнечных циклах, а в SС 23 имеют длинные “хвосты” в области больших значений. Распределение Vmax близко к симметричному в обоих солнечных циклах, что характерно для максимальной скорости СВ [Мелкумян и др., 2018]. В табл. 5 представлены медианы распределений параметров солнечной и геомагнитной активности, СВ и КЛ в группах событий, связанных с разными типами солнечных источников, для солнечных циклов 23 и 24 (Bz < –5 нТл). Из таблицы видно, что медианы |Dstmin| и |Bzmin| для всех типов солнечных источников выше в SC 23, чем в SC 24, и в обоих циклах выше в группе СМЕ1, чем в группе СМЕ2 и тем более СН. В случаях, когда разница между медианами небольшая, мы проверили это соотношение, сравнив 95%-ные интервалы достоверности средних значений параметров. В SC 23 эти интервалы для |Bzmin| в группах СМЕ1 (11.05–14.21 нТл) и СМЕ2 (9.01–11.17 нТл) перекрываются, а для |Dstmin| интервал в группе СМЕ1 (86.7–117.1 нТл) лежит выше, чем в группе СМЕ2 (59.2–81.6 нТл). Таким образом, для спорадических событий в 23-м цикле значения |Bzmin| не зависят от типа солнечного источника (СМЕ1 или СМЕ2), а значения |Dstmin| выше для событий, связанных с выбросами массы из АО, т.е. ГА зависит не только от южной компоненты ММП, но и от других параметров СВ. В SC 24 интервалы достоверности в группах CМЕ1 и СМЕ2 перекрываются и для параметра |Bzmin| (CME1: 8.97–11.53нТл, СМЕ2: 8.39–10.23нТл), и для параметра |Dstmin| (CME1: 52.2–74.6нТл, СМЕ2: 41.5–60.7нТл). Так как общий уровень параметров межпланетных возмущений в цикле 24 существенно ниже [Gopalswamy et al., 2020], то, возможно, влияние остальных параметров CB (кроме Bzmin) в этом цикле ослабевает. Что касается рекуррентных ФП, то значения параметров |Dstmin| и |Bzmin| для этих событий в среднем меньше, чем для спорадических, в обоих солнечных циклах. Сравнивая интервалы достоверности параметров внутри каждой из групп спорадических событий между двумя циклами, получаем: а) разница между средними значениями |Bzmin| в SC 23 и в SC 24 статистически незначима; б) для событий, связанных с выбросами массы из АО, средние значения |Dstmin| выше в SC 23; в) для событий, связанных с волоконными выбросами вне АО, средние значения |Dstmin| одинаковы в обоих циклах.
Рис. 4. Гистограммы параметров Apmax, |Dstmin|, AF, |Bzmin|, Bmax, dB, Vmax, dV в группах FULL, CME1, CME2, CH для солнечных циклов SC 23 и SC 24 (Bzmin < –5 нТл). В группах FULL и CME1 для солнечного цикла 23 не показаны ФП: 2003.10.29 (AF = 28.0%, Vmax = 1800 км/c), 2003.10.30 (Vmax = 1876 км/c).
Таблица 5. Медианы распределений Dstmin, Apmax, SSN, параметров КЛ и межпланетных возмущений в разных группах событий в SC 23 и SC 24 (Bzmin < –5 нТл)
SC 23 | SC 24 | |||||||||
FULL | CME1 | CME2 | CH | MIX | FULL | CME1 | CME2 | CH | MIX | |
N | 488 | 137 | 68 | 95 | 188 | 406 | 64 | 69 | 54 | 219 |
|Dstmin| | 48.5 | 73 | 61 | 36 | 43 | 36 | 57.5 | 39 | 29.5 | 36 |
Apmax | 48 | 80 | 48 | 32 | 39 | 32 | 56 | 39 | 29.5 | 32 |
AF | 1.2 | 2.5 | 1.35 | 1.0 | 1.1 | 1.1 | 2.1 | 1.2 | 0.9 | 1.0 |
Axymax | 1.23 | 1.82 | 1.47 | 0.96 | 1.12 | 1.12 | 1.51 | 1.25 | 0.93 | 1.07 |
Azrange | 0.94 | 1.41 | 0.84 | 0.84 | 0.89 | 1.00 | 1.39 | 1.13 | 0.86 | 0.96 |
Vmax | 569.5 | 568 | 462 | 615 | 584 | 513.5 | 505 | 423 | 585 | 544 |
Bmax | 13.5 | 17.7 | 13.5 | 12.0 | 12.65 | 12.0 | 14.4 | 12.8 | 11.3 | 11.7 |
|Bzmin| | 7.6 | 9.9 | 8.9 | 6.6 | 7.4 | 7.0 | 9.0 | 8.5 | 6.4 | 6.9 |
KTmin | 0.31 | 0.21 | 0.31 | 0.62 | 0.6 | 0.51 | 0.32 | 0.31 | 0.6 | 0.54 |
dV | 150 | 139 | 74 | 235 | 162 | 130.5 | 111 | 68 | 221.5 | 148 |
dB | 6.85 | 10.4 | 8.25 | 6.9 | 4.8 | 6 | 8.7 | 7.2 | 6.75 | 5.1 |
SSN | 75 | 131 | 97 | 19 | 68.6 | 56 | 92.5 | 65 | 13 | 57 |
Для рекуррентных возмущений разница между средними значениями |Bzmin| (а также между значениями |Dstmin|) в двух солнечных циклах статистически незначима. Что касается временного развития ФП и межпланетных и геомагнитных возмущений в солнечных циклах 23 и 24, то для каждого из параметров Tmin, TBmax, TVmax, TDstmin (группа FULL) распределения в этих циклах практически совпадают (табл. 4).
3. Выводы
В первой работе по этой теме [Мелкумян и др., 2023] представлены результаты совместного статистического анализа параметров КЛ, СВ и ГА для ФП, связанных с разными типами солнечных источников: а) выбросами массы из АО, сопровождавшимися солнечными вспышками (группа СМЕ1); б) волоконными выбросами вне АО (группа СМЕ2); в) высокоскоростными потоками из корональных дыр (группа СН); г) несколькими источниками (группа MIX). В данной работе для тех же типов солнечных источников исследуются статистические связи между характеристиками КЛ, СВ и ГА: а) для ФП с внезапным и постепенным началом; б) для ФП в солнечных циклах 23 и 24. Полученные результаты показали:
- ICMEs, связанные с выбросами из активных областей, вызывают преимущественно бури с внезапным началом, а CIRs –бури с постепенным началом. ICMEs, связанные с волоконными выбросами вне активных областей, равновероятно вызывают бури с SSC и GSC.
- Для спорадических ФП параметры КЛ, |Dstmin|, |Bzmin| в среднем больше для событий с внезапным началом. Параметры Bmax, Vmax и особенно dB, dV в среднем больше в событиях с внезапным началом для всех типов солнечных источников.
- Для ФП с внезапным началом основная доля дисперсии Dst-индекса определяется южной компонентой ММП как для спорадических, так и для смешанных событий.
- Для ФП с постепенным началом у спорадических событий изменения Dst-индекса в большей мере определяются южной компонентой ММП, а у рекуррентных событий Dst-индекс зависит от нескольких характеристик СВ.
- Для ФП с постепенным началом у спорадических событий наблюдается зависимость Dst-индекса от параметров спокойного СВ, а у рекуррентных событий зависимость Dst-индекса от южной компоненты ММП меньше, чем от Bmax и Vb.
- Dst-индекс достигает экстремального значения в конце фазы спада ФП для всех типов солнечных источников, независимо от характера начала события (кроме SSC-событий в группе СН, где малое количество ФП не позволяет сделать достоверный вывод).
- Геоэффективность межпланетных возмущений: а) существенно выше в 23-м, чем в 24-м солнечном цикле, для событий, связанных с выбросами массы из АО; б) немного выше в 23-м цикле для событий, связанных с волоконными выбросами вне АО; в) практически одинакова в обоих циклах для рекуррентных событий.
- Внутри групп СМЕ1, СМЕ2, СН значения |Bzmin| в среднем одинаковы в SC 23 и SC 24; в группе СМЕ1 значения |Dstmin| выше в SC 23. ГА зависит не только от южной компоненты ММП, но и от других параметров СВ, и эта зависимость усиливается с ростом мощности межпланетных возмущений.
- Распределения временных параметров, в том числе TDstmin, внутри групп СМЕ1 и СМЕ2 не отличаются в SC 23 и SC 24.
Полученные закономерности могут быть использованы для изучения физической природы ФП и геомагнитных возмущений, а также при решении задач прогнозирования.
About the authors
A. A. Melkumyan
Pushkov Institute of Terrestrial Magnetism, Ionosphere and Radio Wave Propagation of Russian Academy of Sciences (IZMIRAN)
Author for correspondence.
Email: amelkum@izmiran.ru
Russian Federation, Moscow, Troitsk
A. V. Belov
Pushkov Institute of Terrestrial Magnetism, Ionosphere and Radio Wave Propagation of Russian Academy of Sciences (IZMIRAN)
Email: amelkum@izmiran.ru
Russian Federation, Moscow, Troitsk
N. S. Shlyk
Pushkov Institute of Terrestrial Magnetism, Ionosphere and Radio Wave Propagation of Russian Academy of Sciences (IZMIRAN)
Email: amelkum@izmiran.ru
Russian Federation, Moscow, Troitsk
M. A. Abunina
Pushkov Institute of Terrestrial Magnetism, Ionosphere and Radio Wave Propagation of Russian Academy of Sciences (IZMIRAN)
Email: abunina@izmiran.ru
Russian Federation, Moscow, Troitsk
A. A. Abunin
Pushkov Institute of Terrestrial Magnetism, Ionosphere and Radio Wave Propagation of Russian Academy of Sciences (IZMIRAN)
Email: amelkum@izmiran.ru
Russian Federation, Moscow, Troitsk
V. A. Oleneva
Pushkov Institute of Terrestrial Magnetism, Ionosphere and Radio Wave Propagation of Russian Academy of Sciences (IZMIRAN)
Email: amelkum@izmiran.ru
Russian Federation, Moscow, Troitsk
V. G. Yanke
Pushkov Institute of Terrestrial Magnetism, Ionosphere and Radio Wave Propagation of Russian Academy of Sciences (IZMIRAN)
Email: amelkum@izmiran.ru
Russian Federation, Moscow, Troitsk
References
- Абунин А.А., Абунина М.А., Белов А.В., Ерошенко Е.А., Оленева В.А., Янке В.Г. Форбуш-эффекты с внезапным и постепенным началом // Геомагнетизм и аэрономия. Т. 52. № 3. С. 313–320. 2012.
- Белов А.В., Ерошенко Е.А., Янке Г.В., Оленева В.А., Абунина М.А., Абунин А.А. Метод глобальной съемки для мировой сети нейтронных мониторов // Геомагнетизм и аэрономия. Т. 58. № 3. С. 374–389. 2018. https://doi.org/10.7868/S0016794018030082
- Дремухина Л.А., Ермолаев Ю.И., Лодкина И.Г. Динамика межпланетных параметров и геомагнитных индексов в периоды магнитных бурь, инициированных разными типами солнечного ветра // Геомагнетизм и аэрономия. Т. 59. №6. С. 683–695. 2019. https://doi.org/10.1134/S0016794019060063
- Мелкумян А.А., Белов А.В., Абунина М.А., Абунин А.А., Ерошенко Е.А., Оленева В.А., Янке В.Г. Основные свойства Форбуш-эффектов, связанных с высокоскоростными потоками из корональных дыр // Геомагнетизм и аэрономия. Т. 58. № 2. С. 163–176. 2018. https://doi.org/10.7868/S0016794018020025
- Мелкумян А.А., Белов А.В., Абунина М.А., Абунин А.А., Ерошенко Е.А., Оленева В.А., Янке В.Г. Поведение скорости и температуры солнечного ветра в межпланетных возмущениях, создающих Форбуш-понижения // Геомагнетизм и аэрономия. Т. 60. № 5. С. 547–556. 2020. https://doi.org/10.31857/S0016794020040100
- Мелкумян А.А., Белов А.В., Абунина М.А., Шлык Н.С., Абунин А.А., Оленева В.А., Янке В.Г. Особенности поведения временных параметров Форбуш-понижений, связанных с разными типами солнечных и межпланетных источников // Геомагнетизм и аэрономия. Т. 62. № 2. С. 150–170. 2022. https://doi.org/10.31857/S0016794022010138
- Мелкумян А.А., Белов А.В., Абунина М.А., Шлык Н.С., Абунин А.А., Оленева В.А., Янке В.Г. Форбуш-понижения и геомагнитные возмущения: 1. События, связанные с разными типами солнечных и межпланетных источников // Геомагнетизм и аэрономия. Т. 62. № 6. С. 699–714. 2023.
- Шлык Н.С., Белов А.В., Абунина М.А., Ерошенко Е.А., Абунин А.А., Оленева В.А., Янке В.Г. Влияние взаимодействующих возмущений солнечного ветра на вариации галактических космических лучей // Геомагнетизм и аэрономия. Т. 61. № 6. С. 694–703. 2021. https://doi.org/10.31857/S0016794021060134
- Alves M. V., Echer E., Gonzalez W. D. Geoeffectiveness of corotating interaction regions as measured by Dst index // J. Geophys. Res. V. 111. A07S05. 2006. https://doi.org/10.1029/2005JA01
- Badruddin, Kumar A. Study of the Forbush Decreases, Geomagnetic Storms, and Ground-Level Enhancements in Selected Intervals and Their Space Weather Implications // Solar Phys. V. 290. P. 1271–1283. 2015. https://doi.org/10.1007/s11207-015-0665-4
- Belov A.V. Forbush effects and their connection with solar, interplanetary and geomagnetic phenomena Eds. N. Gopalswamy, D.F. Webb. Cambridge: Cambridge University Press. V. 4. No. S257. P. 439–450. 2008. https://doi.org/10.1017/S1743921309029676.
- Forbush S.E. On the effects in the cosmic-ray intensity observed during magnetic storms // Phys. Rev. V. 51. P. 1108–1109. 1937.
- Gopalswamy N., Sashiro S., Xie H., Akiyama S., Mäkelä P. Properties and geoeffectiveness of magnetic clouds during solar cycles 23 and 24 // J. Geophys. Res.: Space Physics. V. 120. P. 9221–9245. 2015. https://doi.org/10.1002/2015JA021446
- Gopalswamy N., Akiyama S., Yashiro S., Michalek G., Xie H., Mäkelä P. Effect of the weakened heliosphere in solar cycle 24 on the properties of coronal mass ejections // J. Phys.: Conf. Ser. V. 1620. № 1. Article id 012005. 2020. https://doi.org/10.48550/arXiv.1508.01603
- Iucci N., Parisi M., Storini M., Villoresi G. Forbush decreases: origin and development in the interplanetary space // Nuovo Cimento C. V. 2. P. 1–52. 1979.
- Lockwood J.A. Forbush decreases in the cosmic radiation // Space Sci. Revs. V. 12. № 5. P. 658–715. 1971.
- Park Y.D., Moon Y.J., Kim I.S., Yun H.S. Delay times between geoeffective solar disturbances and geomagnetic indices // Astrophys. Space Science. Р. 279, 343. 2002.
- Oh S., Kim B. Variation of Solar, Interplanetary and Geomagnetic parameters During Solar Cycles 21–24 // Journal of the Korea Space Science Society. V. 30. P. 101–106. 2013.
- Yermolaev Y.I., Nikolaeva N.S., Lodkina I.G., Yermolaev M.Y. Geoeffectiveness and efficiency of CIR, sheath, and ICME in generation of magnetic storms. J. Geophys. Res. V. 117. ID A00L07. 2012.
- Yermolaev Y.I., Lodkina I.G., Khokhlachev A.A., Yermolaev M.Y. Peculiarities of the Solar-Wind/Magnetosphere Coupling in the Era of Solar Grand Minimum // Universe. V. 8. Is. 10. P. 495. 2022.
Supplementary files






