Coronal dimming parameters and their variations in the 24th solar cycle
- Авторлар: Vakhrusheva A.A.1, Shugay Y.S.1, Kaportseva K.B.1, Eremeev V.E.1, Kalegaev V.V.1
-
Мекемелер:
- Lomonosov Moscow State University (MSU)
- Шығарылым: Том 64, № 1 (2024)
- Беттер: 3-12
- Бөлім: Articles
- URL: https://ogarev-online.ru/0016-7940/article/view/260737
- DOI: https://doi.org/10.31857/S0016794024010017
- EDN: https://elibrary.ru/GRSFFB
- ID: 260737
Дәйексөз келтіру
Толық мәтін
Аннотация
We analyzed coronal dimming parameters and their relation to coronal mass ejections to determine the location of possible ejections sources on the solar disk in the 24th solar cycle. We used Solar Demon database that contains flares and dimmings parameters obtained from SDO/AIA image. Coronal mass ejections from the CACTus database were associated with 16% of all the dimmings for the period 2010–2018. On average, dimmings associated with coronal mass ejections are events with large absolute parameter values. Correlation coefficient between dimming position angle and associated coronal mass ejection position angle is 0.96. Correlation coefficients between the coronal mass ejection speed and dimming parameters are close to 0.5 for dimmings in the central region of the solar disk. Obtained results can be used to model coronal mass ejections propagation and to define the probability of their arrival in near-Earth space.
Толық мәтін
1. Введение
Корональный димминг наблюдается как кратковременное понижение яркости части изображения Солнца в жестком ультрафиолетовом и мягком рентгеновском излучении [Hudson et al., 1996; Kraaikamp and Verbeeck, 2015]. Характерные значения времени жизни димминга составляют 50−60 мин [Dissauer et al., 2018; Chikunova et al., 2020]. Появление димминга обусловлено понижением плотности в нижней короне Солнца [Gopalswamy et al., 1999; Harrison et al., 2003], вызванным различными физическими процессами [Hudson and Webb, 1997]. Основными причинами такого понижения являются:
- расширение корональных структур [Hudson and Webb, 1997];
- истечение вещества, вызванное корональным выбросом массы (КВМ) [Harra and Sterling, 2001; Черток и Гречнев, 2003];
- перераспределение плазмы вследствие прохождения ударной волны — более мелкомасштабные и короткоживущие потемнения [Harra and Sterling, 2001; Muhr et al., 2011; Veronig et al., 2018; Podladchikova et al., 2019].
Существуют также предположения о том, что понижения яркости связаны с изменениями температуры плазмы [Kraaikamp and Verbeeck, 2015]. В работах [Vanninathan et al., 2018; Reinard and Biesecker, 2008] было показано, что это не может являться основной причиной появления димминга. Но тем не менее изменения температуры могут быть существенными при развитии димминга [Черток и Гречнев, 2004]. В некоторых случаях димминги, вызываемые КВМ, могут наблюдаться по всему солнечному диску, что говорит о вовлечении крупномасштабных структур в процесс эрупции [Черток и Гречнев, 2004].
С 1974 г. в публикациях [Hansen et al., 1974; Rust and Hildner, 1976; Hudson et al., 1996] сообщалось о наблюдениях понижений плотности вещества в нижней короне и о возможной связи таких понижений с КВМ и вспышками. Более подробный анализ и расчет параметров диммингов были выполнены в работах [Reinard and Biesecker [2008], Dissauer et al. [2018, 2019], Chikunova et al. [2020], López et al. [2019]. Для исследования диммингов и вычисления их численных параметров используются разностные изображения Солнца. Фиксированные разностные изображения (base difference images) получаются в результате вычитания начального изображения из текущего; текущие разностные изображения (running difference images) получаются в результате вычитания предыдущего изображения из текущего [Черток и Гречнев, 2003; Kraaikamp and Verbeeck, 2015]. В работе Сhertok and Grechnev [2005] показано, что для исследования диммингов надeжнее использовать фиксированные разностные изображения, а не текущие разностные изображения, так как последние отражают изменения наблюдаемых структур, а не сами структуры. Исследования в разных длинах волн показали, что лучше всего димминги наблюдаются в фильтрах 211 Å, 193 Å, 171 Å, 195 Å [Dissauer et al., 2018; Chertok and Grechnev, 2003].
В пространственной структуре димминга можно выделить два типа областей по данным [Vanninathan et al., [2018], Dissauer et al., [2018].
- ядро, первичный димминг (core dimming) — области оснований эруптивного магнитного жгута. Причинами таких диммингов являются расширение магнитного жгута и истощение плазмы вследствие выброса [Sterling and Hudson, 1997; Webb et al., 2000]. В этих областях содержится около 20% общего магнитного потока, но они покрывают лишь 5% площади димминга. Эти области темнее по сравнению со всем диммингом;
- вторичный (secondary) димминг — область пониженного излучения, вызванная расширением соседних корональных структур и перераспределением плазмы из-за распространения возмущений, вызванных эрупцией. Это более протяженная в пространстве и менее интенсивная часть димминга.
Физическая природа диммингов, а также наблюдения их эволюции позволяют связать димминги с такими явлениями, как вспышки и КВМ. Считается, что вспышечные процессы или выбросы протуберанцев и КВМ представляют собой проявления на разных высотах в солнечной короне одного и того же физического процесса [Compagnino et al., 2017]. Будучи одним из проявлений эруптивного процесса, явление димминга может дать информацию о ранней фазе развития КВМ. Связь между КВМ и диммингами во времени и пространстве подтверждается в работе [Dissauer et al., 2019]. Если КВМ связан с корональным источником на видимой нам стороне Солнца, то возможно появление димминга на фоне солнечного диска. Если же источник КВМ находится на обратной стороне Солнца, то в лучшем случае димминг, который мы сможем соотнести с КВМ во времени и пространстве, будет наблюдаться над лимбом Солнца.
В работах [Dissauer et al. [2018, 2019] были исследованы корреляции между параметрами димминга и параметрами соотнесенных с ними вспышек и КВМ. Коэффициенты корреляции для зависимостей максимальной скорости КВМ от скорости изменения площади димминга, средней яркости димминга, скорости изменения магнитного потока в области димминга были равны 0.6–0.7. Наблюдения выборки диммингов над лимбом с другого ракурса с космического аппарата STEREO, по данным [Chikunova et al. [2020] (выборка пересекается с выборкой [Dissauer et al. [2019]), дают примерно такие же коэффициенты корреляции, но в этой работе показано, что максимальная скорость КВМ лучше коррелирует со скоростью изменения площади димминга и со скоростью изменения яркости димминга.
Целью данной работы является исследование параметров диммингов в ходе солнечного цикла и их соотношения с КВМ для определения расположения возможных источников КВМ на диске Солнца. Данную информацию предполагается в дальнейшем использовать для моделирования КВМ в режиме, близком к реальному времени, и для оценки вероятности прихода КВМ на околоземную орбиту. Для этого мы использовали и анализировали существующие базы данных диммингов и КВМ, пополняемые в режиме, близком к реальному времени, за период с 2010 по 2018 гг. (24-й солнечный цикл).
2. Данные
В нашем исследовании мы использовали данные из базы Solar Demon [Kraaikamp and Verbeeck, 2015], в которой рассчитываются и сохраняются параметры вспышек и диммингов с мая 2010 г. и до настоящего времени (https://www.sidc.be/solardemon/). Обновление каталога происходит в режиме, близком к реальному времени (с задержкой в 15 мин). Димминги выявляются при обработке изображений Солнца, получаемых с космической обсерватории SDO/AIA [Hurlburt et al., 2012] на длине волны 211 Å, а солнечных вспышек — на длине волны 94 Å. Параметры событий рассчитываются с частотой раз в 2 мин. Обнаружение димминга происходит с использованием текущих разностных изображений, а расчет его параметров — с использованием базовых разностных изображений. Для анализа были выбраны следующие параметры диммингов: продолжительность димминга (разность времени окончания и времени начала димминга), минимум полной яркости в DN/s·103 (где DN/s — цифровые отсчеты в секунду; полная яркость рассчитывается как разность в яркости между ее значением в данный момент времени и начальным значением по всем пикселям, в которых в данный момент наблюдается потемнение), максимальный скачок полной яркости за минуту в DN/s2, координаты геометрического центра димминга на диске Солнца, широта и долгота центра димминга, максимальная площадь в км2·109, скорость роста площади в км2/с·109. Параметры рассчитываются автоматически в базе данных. Мы рассчитываем средние и максимальные значения с момента, когда начинает определяться данный параметр, и до конца времени димминга. Скорости изменения параметров рассчитываются с момента, когда начинает определяться данный параметр, и до момента, когда он достигает своего максимального значения. Для яркости начальным моментом мы считаем момент, когда яркость падает ниже — 0.5DN/s·103.
Данные о КВМ были получены из базы данных системы автоматического детектирования CACTus — Computer Aided CME Tracking (https://www.sidc.be/cactus), [Robbrecht and Berghmans, 2009]. В системе рассчитаны следующие параметры КВМ: время начала t0, позиционный угол pa, угловая ширина da КВМ в коронографе, средняя скорость v выброса в плоскости изображения с коронографа. Позиционный угол — угол, отсчитываемый против часовой стрелки от направления на север до основного направления распространения КВМ (середины его углового профиля).
По данным [Robbrecht et al. [2009], Yashiro et al. [2008], в каталоге CACTus приведено значительное количество узких КВМ, и часть их являются ложными. Поэтому события из базы данных CACTus нами дополнительно обрабатывались [Shugay et al., 2022]. Чтобы снизить вероятность учета одного и того же КВМ как нескольких, все события, начинающиеся в одно и то же время в пределах 50 мин и с перекрывающимися углами, объединяются. Если один из КВМ является гало или частичным гало, то выбираются параметры этого КВМ. В другом случае угловой раствор результата объединения рассчитывается по крайним точкам общего углового профиля, а позиционный угол КВМ рассчитывается как середина этого углового профиля. После слияния из анализа исключаются узкие события: экваториальные КВМ с углом раствора менее 30° и полярные КВМ с углом раствора менее 60°. Событие считается экваториальным, если позиционный угол КВМ находится в промежутке от 60° до 120° или от 240° до 300°, если нет, то событие считается полярным. Этот отбор направлен на то, чтобы по возможности выбрать такие КВМ, которые с большей вероятностью придут к Земле.
КВМ считался соответствующим диммингу, если он зарегистрирован позже него, но не позднее двух часов. Также для установления соответствия была проведена проверка по местоположению КВМ и димминга. КВМ наблюдается на коронографе, а димминг − на диске Солнца. В качестве пространственного параметра, позволяющего связать два события, мы выбрали позиционный угол (рис. 1). Для КВМ угол рассчитывается автоматически системой CACTus. Для димминга угол рассчитывается между радиус-вектором из центра Солнца к геометрическому центру димминга на диске Солнца и направлением на север против часовой стрелки. КВМ считается связанным с диммингом, если различие их позиционных углов не превышает 90°. Если угловой раствор КВМ более 180° либо димминг находился близко к центру диска (расстояние от геометрического центра димминга менее 0.25 радиусов Солнца), то димминги и КВМ считались связанными без этой проверки и события сразу попадали в базу [Shugay et al., 2022].
Рис. 1. Расчет позиционного угла для димминга (слева) и КВМ (справа).
Для исследования были выбраны данные за 2010−2018 гг. Из анализа нами были исключены димминги, которые фиксируются в Solar Demon только над лимбом, то есть их площадь на диске Солнца равна нулю, слабые события, то есть димминги с яркостью менее — 0.5 DN/s103, события с медленно меняющимися яркостью и площадью (нулевыми производными) или с продолжительностью менее 10 мин. Всего в Solar Demon зарегистрировано 7094 димминга за 2010−2018 гг., 25% этих событий находится за лимбом Солнца. По нашим критериям было отобрано 3696 диммингов, из них 605 (16%) соотнесены с отобранными КВМ (по описанному выше алгоритму).
3. Результаты
Были проанализированы статистические распределения параметров диммингов. Распределения яркости и параметров, связанных с производной яркости, площади и ее производной, продолжительности димминга, хорошо аппроксимируются плотностью логнормального распределения :
где и − величины, характеризующие среднее и стандартное отклонения, выражаются следующими формулами:
и получены из оценок среднего значения и исправленной дисперсии .
Почти для всех логнормально распределенных параметров значения максимумов распределения для диммингов, соотнесенных с КВМ, сдвинуты в сторону боʹльших абсолютных значений, чем для всей выборки за эти же годы (рис. 2). Пик распределения продолжительности димминга находится на значении 31.5 ± 0.5 мин для всей выборки и 44.7 ± 0.6 мин для диммингов, связанных с КВМ. В среднем КВМ соответствуют более мощным диммингам по совокупности всех параметров.
Рис. 2. Гистограммы распределения параметров димминга: (а) − максимального значения модуля полной яркости; (б) — максимального скачка яркости; (в) — максимальной площади; (г) — продолжительности димминга. По оси Y слева отложено количество событий для всех диммингов (черные столбцы), справа — количество событий для диммингов, соотнесенных с КВМ (заштрихованные столбцы). Кривые обозначают аппроксимацию плотностью логнормального распределения.
В максимуме солнечной активности наблюдается больше событий, чем в минимуме. За 2012–2014 гг. зарегистрировано 2309 диммингов (62% от общего числа), за 2017–2018 гг. — всего 47 диммингов (чуть более 1%). Количество диммингов резко падает на спаде солнечной активности: в 2016 г. диммингов наблюдалось почти в 8 раз меньше, чем в 2014 г. При этом количество вспышек падает так же быстро, тогда как количество КВМ уменьшается медленнее: за 2016 г. наблюдалось в 3 раза меньше КВМ, чем за 2014 г. (рис. 3). В максимуме солнечной активности увеличиваются амплитуды параметров. Яркость диммингов может достигать значений порядка 7000 DN/s·103 в максимуме цикла (в минимуме цикла минимальное достигнутое значение — порядка 300 DN/s·103), площади 700 км2·109, продолжительности до 8 ч. Распределение диммингов по широте в зависимости от хода солнечного цикла показало, что в большинстве своем они происходят на типичных широтах активных областей, причем в течение цикла области диммингов сдвигаются ближе к экватору (рис. 4) — аналог диаграммы Маундера [Ternullo, 2007].
Рис. 3. Вариации событий солнечной активности по годам. По оси Y слева отложено количество событий (диммингов, вспышек, КВМ), справа − усреднeнное за год число солнечных пятен по данным WDC-SILSO (https://www.sidc.be/silso/datafiles).
Рис. 4. Зависимость средней широты димминга от времени за 2010–2018 гг.
Чтобы понять, можно ли рассматривать разные параметры димминга как независимые, мы исследовали корреляционные зависимости между ними. Так как параметры распределены логнормально, был рассчитан ранговый коэффициент корреляции Спирмена. Также были исследованы линейные зависимости в логарифмическом пространстве: — и рассчитан коэффициент корреляции Пирсона для логарифмов параметров. Многие параметры димминга оказались связаны между собой: производная площади и максимальная площадь, максимальный скачок яркости и полная яркость, максимальная площадь и полная яркость, продолжительность и полная яркость. Для этих параметров рассчитанные коэффициенты корреляции Спирмена и Пирсона превышали значение 0.7.
Исходя из предположений о связи диммингов и КВМ, мы провели сопоставление скорости КВМ и параметров димминга в целях обнаружения корреляционных зависимостей. В качестве параметра скорости было выбрано значение средней скорости, определяемое в коронографе по данным CACTus. Построены зависимости скорости КВМ от максимальной площади димминга, полной яркости димминга (рис. 5), максимального скачка яркости и т.д. Однако не было обнаружено значимой корреляции между исследуемыми параметрами из выбранных баз данных по всей выборке (коэффициент корреляции Спирмена достигает лишь 0.3). В работах, в которых проводились аналогичные исследования на других данных [Dissauer et al., 2019; Chikunova et al., 2020], выборка была ограничена, например, по местоположению димминга на диске Солнца.
Рис. 5. Зависимость средней скорости КВМ в коронографе от максимальной площади димминга для всех соответствующих КВМ и диммингов. Прямая обозначает линейную зависимость логарифмов параметров.
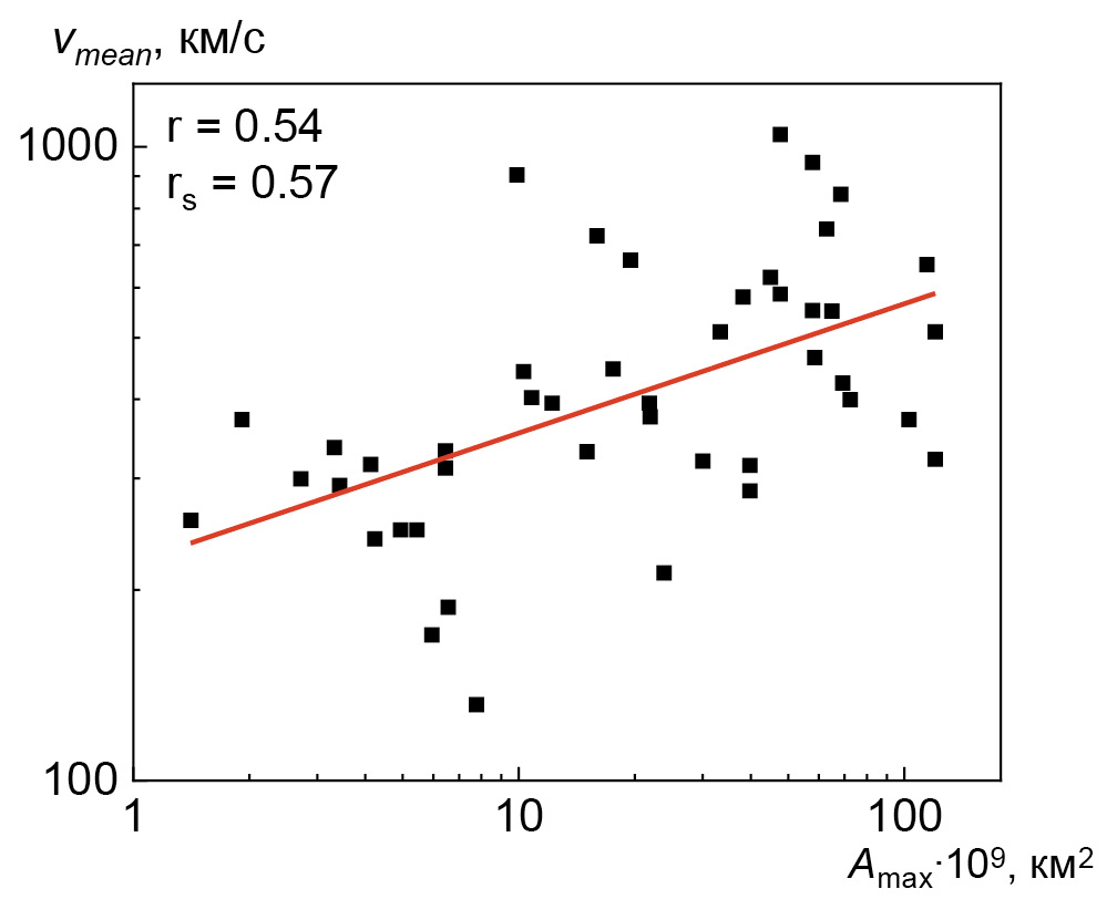
Если ограничить нашу выборку событий только центральной частью диска Солнца от –10° до 10° долготы и от –15° до 15° широты, останется 45 событий диммингов, соотнесенных с КВМ. Для этих событий коэффициент корреляции Спирмена между средней скоростью КВМ и полной яркостью димминга составляет 0.54. Также наблюдаются корреляции между средней скоростью КВМ и максимальным скачком яркости димминга: коэффициент корреляции Спирмена 0.56; и между средней скоростью КВМ и максимальной площадью димминга: коэффициент корреляции Спирмена составляет 0.57. Коэффициенты корреляции Пирсона между логарифмами параметров, приведенных выше, составляют примерно 0.5 (рис. 6).
Рис. 6. Зависимость средней скорости КВМ в коронографе от максимальной площади димминга. Расчет сделан для выборки диммингов из центральной области диска Солнца. Прямая обозначает линейную зависимость логарифмов параметров.
Для исследования пространственной связи димминга и КВМ были выбраны такие параметры, как угол направления на центр димминга и позиционный угол КВМ. Коэффициент корреляции Пирсона между углами димминга и КВМ составляет 0.96 (рис. 7). Так как угол периодичен, некоторые точки сдвинуты на 360°. Полученный результат связан с алгоритмом отбора — при сопоставлении событий КВМ и диммингов проводится проверка по углу, разность должна быть не более 90°. Следует отметить, что у большинства событий (72%) различие углов лежит в пределах 45°.
Рис. 7. Зависимость позиционного угла КВМ от позиционного угла димминга. Прямая обозначает линейную зависимость параметров.
4. Обсуждение
Как отмечалось выше, на фазе спада солнечного цикла в 2016–2018 гг. наблюдается значительное снижение числа диммингов, тогда как количество КВМ уменьшается не так быстро (рис. 3). Сравнение годового количества вспышек по каталогам GOES и Solar Demon показало, что падение количества событий в минимуме происходит почти так же сильно, как и для диммингов: количество вспышек снижается в 2016 г. по сравнению с 2014 г. в 6 раз по GOES и в 8 раз по Solar Demon. Аналогично было проведено сравнение годового количества КВМ по данным каталогов CACTus и CDAW (Coordinated Data Analysis Workshop). Сравнивались КВМ после объединения событий из CACTus по нашему алгоритму и без событий с угловой шириной менее 20° в обоих каталогах. Количество КВМ за 2016 г. по сравнению с 2014 г. падает в 3 раза по CACTus и в 2.3 раза по CDAW. Количество событий на спаде солнечной активности в базе CDAW значительно больше, чем в CACTus. Похожие результаты для спада количества вспышек и КВМ в минимуме цикла были получены в работах [Compagnino et al. [2017], Rodkin et al. [2018], Lamy et al. [2019]. Количество эруптивных протуберанцев — одного из возможных источников КВМ — резко снижается к минимуму солнечного цикла, как показано на данных за 23-й цикл в работе [Gopalswamy et al., 2012]. Одной из причин сильного падения количества вспышек на спаде солнечной активности может являться снижение яркости вспышек и связанная с этим сложность их наблюдения.
Возможно, причина малого количества диммингов связана с критериями регистрации диммингов, которые сложнее выделить на фоне сниженной яркости солнечного диска в период спада и минимума солнечного цикла на длине волны 211 Å. В работе [Shugai [2021] обсуждается улучшение качества определения границ корональных дыр (объектов пониженной интенсивности) при изменении параметров порогового алгоритма с учетом сильного снижения яркости изображения солнечного диска, получаемого с SDO/AIA на длине волны 211 Å, ближе к минимуму солнечного цикла. В отличие от вспышек и диммингов слабые КВМ, скорее всего, продолжают хорошо определяться в коронографе на фоне более спокойной солнечной короны в минимуме солнечного цикла.
Как отмечалось выше, для всей выборки корреляций между скоростью КВМ и параметрами димминга обнаружено не было (пример — см. рис. 5, коэффициент корреляции Спирмена 0.3, коэффициент корреляции Пирсона между логарифмами параметров 0.24). Приведенные в работах [Dissauer et al. [2019], Chikunova et al. [2020] корреляции были получены на других данных. В работе [Dissauer et al. [2019] авторы использовали наблюдения из двух точек за период времени с мая 2010 г. до сентября 2012 г.: данные SDO для анализа диммингов на диске Солнца и данные STEREO для анализа КВМ. В работе [Chikunova et al. [2020] данные STEREO за тот же период времени используются для анализа и диммингов, и КВМ. Также авторы использовали собственные методы обработки изображений и расчета параметров. В работе [Dissauer et al. [2018] описан более жесткий алгоритм отбора: в выборку попадают только димминги, сопоставленные с КВМ типа гало и EUV-волнами, лежащие в пределах 40° от центрального меридиана. Как параметр, характеризующий скорость КВМ, в этих работах была выбрана максимальная скорость КВМ.
[Dissauer et al. [2019], Mason et al. [2016], Jin et al. [2022] получили, что скорость КВМ хорошо коррелирует не с параметрами 1-го порядка — яркостью и площадью, а с параметрами 2-го порядка: скоростью падения яркости, скоростью увеличения площади. При этом [Dissauer et al. [2019] получили, что скорость КВМ лучше коррелирует с яркостью димминга (коэффициент корреляции Пирсона между логарифмами параметров — 0.68). В нашей работе (для выборки диммингов из центральной области диска Солнца) коэффициенты корреляции Спирмена между скоростью и яркостью и между скоростью и максимальным скачком яркости не сильно отличаются: они равны 0.54 и 0.56 соответственно. Коэффициенты корреляции Пирсона между логарифмами параметров равны 0.5. Примерная оценка скорости КВМ, по данным каталога Solar Demon, возможна только для диммингов, расположенных в центральных областях диска Солнца. Такая оценка может быть полезна, так как не все КВМ с источниками в центре диска видно в коронографе. Для таких КВМ сложно установить соответствие с другими проявлениями солнечной активности: вспышками, протуберанцами, радиоизлучением [Lamy et al., 2019]. Возможно, полученные корреляции между параметрами диммингов, расположенных в центральных областях Солнца, и КВМ можно будет использовать для моделирования некоторых КВМ, которые не наблюдаются в коронографе, по параметрам димминга. В дальнейших исследованиях предполагается проанализировать такие события.
Метод ассоциации диммингов и КВМ по их угловому местоположению на диске и в короне Солнца позволяет достичь того, что для большинства событий (72%) различие углов лежит в пределах 45°. Этот результат планируется использовать для уточнения направления распространения КВМ в гелиосфере при прогнозировании вероятности и времени прихода КВМ к Земле. Например, при моделировании КВМ с использованием модели конуса [Xie et al., 2004] координаты димминга можно использовать для определения координат коронального источника КВМ.
5. Заключение
В работе исследованы вариации количества и параметров диммингов в 24-м цикле солнечной активности. Всего за период с 2010 по 2018 г. наблюдалось и было отобрано для исследования 3696 димммингов. Это составило 52% общего числа зарегистрированных диммингов в базе данных Solar Demon. Для 605 событий была установлена взаимосвязь между КВМ и диммингами.
- Вариации диммингов и КВМ в ходе солнечного цикла сильнее различаются ближе к минимуму: количество диммингов падает почти в 8 раз в 2016 г. по сравнению с 2014 г., а КВМ — в 3 раза. Таким образом, к установлению соответствия между диммингами и КВМ для выявления направленных в сторону Земли КВМ надо подходить аккуратно в минимуме солнечной активности.
- Анализ распределений параметров показывает, что димминги, соотнесенные с КВМ, в среднем являются событиями с бо́льшими абсолютными значениями параметров, т.е. более мощными и более продолжительными по времени.
- Для диммингов, наблюдаемых в центральной области солнечного диска (от –10° до 10° долготы и от –15° до 15° широты) получено, что коэффициент корреляции Спирмена между средней скоростью КВМ и полной яркостью димминга составляет 0.54, между средней скоростью КВМ и максимальным скачком яркости димминга — 0.56, между средней скоростью КВМ и максимальной площадью димминга — 0.57. Выявленные корреляции можно будет в дальнейшем использовать для приблизительной оценки скорости КВМ по параметрам диммингов, наблюдаемых в центральной части диска Солнца.
- Коэффициент корреляции Пирсона между позиционным углом димминга и позиционным углом КВМ составляет 0.96. Пространственная связь димминга и КВМ может быть использована для моделирования распространения КВМ, так как дает информацию о предположительных координатах источника КВМ на диске Солнца.
Благодарности
Авторы благодарят рецензентов за ценные советы и предложения. Авторы выражают благодарность коллективам проектов SDO/AIA, SOHO/LASCO, GOES, а также составителям каталогов Solar Demon и CACTus (SIDC, Royal Observatory of Belgium, Brussels), Sunspot number data (WDC-SILSO, Royal Observatory of Belgium, Brussels), CDAW CME catalog (CDAW Data Center, NASA and The Catholic University of America in cooperation with the Naval Research Laboratory) за предоставление доступа к данным.
Финансирование работы
Работа выполнена при поддержке Российского научного фонда, грант № 22-62-00048.
Авторлар туралы
A. Vakhrusheva
Lomonosov Moscow State University (MSU)
Хат алмасуға жауапты Автор.
Email: vakhr.anna@gmail.com
Skobeltsyn Institute of Nuclear Physics (SINP), Faculty of Physics
Ресей, MoscowYu. Shugay
Lomonosov Moscow State University (MSU)
Email: vakhr.anna@gmail.com
Skobeltsyn Institute of Nuclear Physics (SINP)
Ресей, MoscowK. Kaportseva
Lomonosov Moscow State University (MSU)
Email: vakhr.anna@gmail.com
Skobeltsyn Institute of Nuclear Physics (SINP), Faculty of Physics
Ресей, MoscowV. Eremeev
Lomonosov Moscow State University (MSU)
Email: vakhr.anna@gmail.com
Skobeltsyn Institute of Nuclear Physics (SINP)
Ресей, MoscowV. Kalegaev
Lomonosov Moscow State University (MSU)
Email: vakhr.anna@gmail.com
Skobeltsyn Institute of Nuclear Physics (SINP), Faculty of Physics
Ресей, MoscowӘдебиет тізімі
- Черток И.М., Гречнев В.В. Крупномасштабные “димминги”, вызываемые корональными выбросами массы на Солнце, по данным SOHO/EIT в четырех линиях крайнего УФ-диапазона // Астрон. журн. Т. 80. № 11. C. 1013–1025. 2003.
- Черток И.М., Гречнев В.В. Некоторые проявления крупномасштабной активности на солнечном диске в связи с корональными выбросами массы // Солнечно-земная физика. Т. 6. С. 101—103. 2004.
- Chertok I.M., Grechnev V.V. Manifestations of CME-associated dimmings at four EUV wavelengths of SOHO/EIT // International Solar Cycle Studies Symposium 2003 “Solar Variability as an Input to the Earth’s Environment”, Tatranská Lomnica, Slovakia, 23–28 June 2003. Ed. A. Wilson. ESA SP-535
- Chertok I.M., Grechnev V.V. Large-scale activity in the Bastille Day 2000 solar event // Sol. Phys. V. 229. P. 95— 114. 2005. doi: 10.1007/s11207-005-3654-1
- Chikunova G., Dissauer K., Podladchikova T., Veronig A.M. Coronal dimmings associated with coronal mass ejections on the solar limb // Astrophys. J. V. 896. P. 17—33. 2020. doi: 10.3847/1538-4357/ab9105
- Compagnino A., Romano P., Zucarello F. A statistical study of CME properties and of the correlation between flares and CMEs over solar cycles 23 and 24 // Sol. Phys. V. 292. A5. 2017. doi: 10.1007/s11207-016-1029-4
- Dissauer K., Veronig A.M., Temmer M., Podladchikova T., Vanninathan K. Statistics of coronal dimmings associated with coronal mass ejections. I. Characteristic dimming properties and flare association // Astrophys. J. V. 863. P. 169–188. 2018. doi: 10.3847/1538-4357/aad3c6
- Dissauer K., Veronig A.M., Temmer M., Podladchikova T. Statistics of coronal dimmings associated with coronal mass ejections. II. Relationship between coronal dimmings and their associated CMEs // Astrophys. J. V. 874. P. 123— 137. 2019. doi: 10.3847/1538-4357/ab0962
- Gopalswamy N., Kaiser M.L., MacDowall R.J., Reiner M.J., Thompson B.J., St. Cyr O.C. Dynamical phenomena associated with a coronal mass ejection // AIP Conference Proceedings. V. 471. P. 641–644. 1999.
- Gopalswamy N., Yashiro S., Mäkelä P., Michalek G., Shibasaki K., Hathaway D.H. Behavior of solar cycles 23 and 24 revealed by microwave observations // Astrophys. J. Lett. V. 750. L42. 2012. doi: 10.1088/2041-8205/750/2/L42
- Hansen R.T., Garcia C.J., Hansen S.F., Yasukawa E. Abrupt depletions of the inner corona // Pub. Astron. Soc. Pacific. V. 86. P. 500— 515. 1974. doi: 10.1086/129638
- Harra L.K., Sterling A.C. Material outflows from coronal intensity “dimming regions” during coronal mass ejection onset // Astrophys. J. Lett. V. 561 L215–L218. 2001. doi: 10.1086/324767
- Harrison R.A., Bryans P., Simnett G.M., Lyons M. Coronal dimming and the coronal mass ejection onset // Astron. Astrophys. V. 400. P. 1071–1083. 2003. doi: 10.1051/0004-6361:20030088
- Hudson H.S., Acton L.W., Freeland S.L. A long-duration solar flare with mass ejection and global consequences // Astrophys. J. V. 470 P. 629–635. 1996. doi: 10.1086/177894
- Hudson H.S., Webb D.F. Soft X-ray signatures of coronal ejections // Geophys. Monogr. Ser. V. 99. Eds. N. Crooker, J. A. Joselyn, J. Feynman. P. 27–38. Washington, AGU. 1997. doi: 10.1029/GM099p0027
- Hurlburt N., Cheung M., Schrijver C., et al. Heliophysics event knowledgebase for the Solar Dynamics Observatory (SDO) and beyond // Sol. Phys. V. 275 P. 67–78. 2012. doi: 10.1007/s11207-010-9624-2
- Jin M., Cheung M.C.M., DeRosa M.L., Nitta N.V., Schrijver C.J. Coronal mass ejections and dimmings: a comparative study using MHD simulations and SDO observations // Astrophys. J. V. 928. № 2. P. 154–165. 2022. doi: 10.3847/1538-4357/ac589b
- Kraaikamp E., Verbeeck C. Solar Demon — an approach to detecting flares, dimmings and EUV waves on SDO/AIA images // J. Space Weather Spac. V. 5 A18. 2015. doi: 10.1051/swsc/2015019
- Lamy P.L., Floyd O., Boclet B., Wojak J., Gilardy H., Barlyaeva T. Coronal mass ejections over solar cycles 23 and 24 // Space Sci. Rev. V. 215. A39. 2019. doi: 10.1007/s11214-019-0605-y
- López F.M., Cremades H., Balmaceda L.A., Nuevo F.A., Vásquez A.M. Estimating the mass of CMEs from the analysis of EUV dimmings // Astron. Astrophys. V. 627 A8. 2019. doi: 10.1051/0004-6361/201834163
- Mason J.P., Woods T.N., Webb D.F., Thompson B.J., Colaninno R.C., Vourlidas A. Relationship of EUV irradiance coronal dimming slope and depth to coronal mass ejection speed and mass // Astrophys. J. V. 830. № 1. P. 20–31. 2016. doi: 10.3847/0004-637X/830/1/20
- Muhr N., Veronig A.M., Kienreich I.W., Temmer M., Vršnak B. Analysis of characteristic parameters of large-scale coronal waves by the Solar-Terrestrial Relations Observatory / Extreme Ultraviolet Imager // Astrophys. J. V. 739. № 2. A. 89. 2011. doi: 10.1088/0004-637X/739/2/89
- NASA Interactive Multi-Instrument Database of Solar Flares https://data.nas.nasa.gov/helio/portals/solarflares/
- NASA SOHO LASCO CME CATALOG — CDAW DATA CENTER. https://cdaw.gsfc.nasa.gov/CME_list/
- Podladchikova T., Veronig A.M., Dissauer K., Temmer M., Podladchikova O. Three-dimensional reconstructions of extreme-ultraviolet wave front heights and their influence on wave kinematics // Astrophys. J. V. 877. № 2. A. 68. 2019. doi: 10.3847/1538-4357/ab1b3a
- Reinard A.A., Biesecker D.A. Coronal mass ejection — associated coronal dimmings // Astrophys. J. V. 674. P. 576— 585. 2008. doi: 10.1086/525269
- Robbrecht E., Berghmans D., Van der Linden R.A.M. Automated LASCO CME catalog for solar cycle 23: are CMEs scale invariant? // Astrophys. J. V. 691. № 2. P. 1222–1234. 2009. doi: 10.1088/0004-637X/691/2/1222
- Rodkin D., Slemzin V., Zhukov A.N., Goryaev F., Shugay Y., Veselovsky I. Single ICMEs and complex transient structures in the solar wind in 2010–2011 // Sol. Phys. V. 293. A. 78. 2018. doi: 10.1007/s11207-018-1295-4
- Rust D.M., Hildner E. Expansion of an X-ray coronal arch into the outer corona // Sol. Phys. V. 48. P. 381–387. 1976. doi: 10.1007/BF00152003
- Shugai Y.S. Analysis of quasistationary solar wind stream forecasts for 2010-2019 // Russian Meteorology and Hydrology. V. 46. P. 172–178. 2021. doi: 10.3103/s1068373921030055
- Shugay Y., Kalegaev V., Kaportseva K., Slemzin V., Rodkin D., Eremeev V. Modeling of solar wind disturbances associated with coronal mass ejections and verification of the forecast results // Universe. V. 8. № 11. P. 565–585. 2022. doi: 10.3390/universe8110565
- Solar Influences Data Analysis Center (Royal Observatory of Belgium) Solar Demon — Flares, Dimmings and EUV waves event detection. https://www.sidc.be/solardemon/
- Solar Influences Data Analysis Center (Royal Observatory of Belgium) CACTus CME Homepage. https://www.sidc.be/cactus/
- Solar Influences Data Analysis Center (Royal Observatory of Belgium) Sunspot Number | SILSO https://www.sidc.be/silso/datafiles
- Sterling A.C., Hudson H.S. Yohkoh SXT observations of X-ray “dimming” associated with a halo coronal mass ejection // Astrophys. J. V. 491. № 1. P. L55–L58. 1997. doi: 10.1086/311043
- Ternullo M. Looking inside the butterfly diagram // Astronomische Nachrichten. V. 328. № 10. P. 1023–1026. 2007. doi: 10.1002/asna.200710868
- Vanninathan K., Veronig A.M., Dissauer K., Temmer M. Plasma diagnostics of coronal dimming events // Astrophys. J. V. 857. P. 62–83. 2018. doi: 10.3847/1538-4357/aab09a
- Veronig A.M., Podladchikova T., Dissauer K., Temmer M., Seaton D.B., Long D., Guo J., Vršnak B., Harra L., Kliem B. Genesis and impulsive evolution of the 2017 September 10 coronal mass ejection // Astrophys. J. V. 868. № 2. A. 107. 2018. doi: 10.3847/1538-4357/aaeac5
- Webb D.F., Lepping R.P., Burlaga L.F., DeForest C.E., Larson D.E., Martin S.F., Plunkett S.P., Rust D.M. The origin and development of the May 1997 magnetic cloud // J. Geophys. Res. V. 105. № A12. P. 27251— 27260. 2000. doi: 10.1029/2000JA000021
- Xie H., Ofman L., Lawrence G. Cone model for halo CMEs: application to space weather forecasting // J. Geophys. Res. V. 109. A03109. 2004. doi: 10.1029/2003JA010226
- Yashiro S., Michalek G., Gopalswamy N. A comparison of coronal mass ejections identified by manual and automatic methods // Ann. Geophysicae. V. 26. № 10. P. 3103— 3112. 2008. doi: 10.5194/angeo-26-3103-2008
Қосымша файлдар








