Особенности квазипериодических КНЧ-излучений вне плазмосферы
- Authors: 1,2, 2, 2
-
Affiliations:
- Институт прикладной физики Российская академия наук (ИПФ РАН)
- Национальный исследовательский университет “Высшая школа экономики” (НИУ ВШЭ)
- Issue: Vol 63, No 6 (2023)
- Pages: 724-735
- Section: Articles
- URL: https://ogarev-online.ru/0016-7940/article/view/232910
- DOI: https://doi.org/10.31857/S0016794023600205
- EDN: https://elibrary.ru/UAXFPO
- ID: 232910
Cite item
Full Text
Abstract
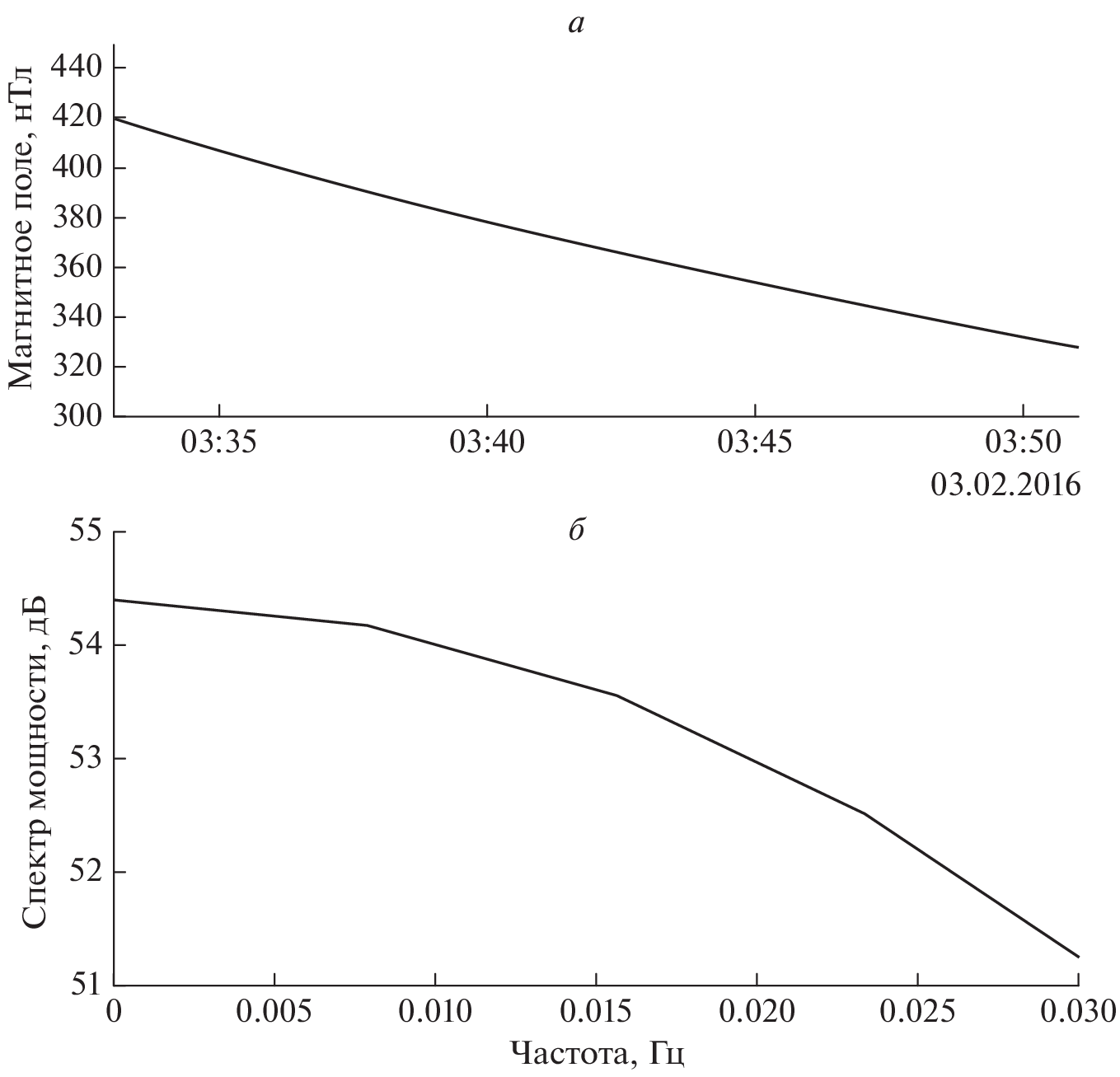
Pассматриваются новые сведения о КНЧ/ОНЧ-излучениях за пределами плазмосферы, содержащиеся в данных наблюдений, выполненных на космических аппаратах Van Allen Probes. Вблизи апогея траектории за плазмосферой отмечались квазипериодические последовательности всплесков электромагнитных излучений на частотах ниже 2 кГц с глубокой модуляцией интенсивности. Морфологически отдельный всплеск излучений подобен фрагменту излучений QP 2. Рассматриваемые последовательности всплесков могут иметь разную временнýю структуру. Во-первых, они могут быть четко периодическими. Во-вторых, в них могут периодически чередоваться всплески разной интенсивности. В-третьих, последовательность всплесков может иметь более сложную временнýю структуру. Возбуждение рассматриваемых шумовых по своей природе излучений, вероятно, происходит при развитии циклотронной неустойчивости в облаках оторвавшейся плазмы, которые существуют за пределами плазмосферы после магнитных возмущений. Многие свойства излучений объясняет теория плазменного магнитосферного мазера, допускающая существования автоколебательного процесса генерации излучений, обусловленного модуляцией анизотропии функции распределения энергичных электронов. Теория объясняет новые результаты наблюдений квазипериодических излучений с более сложной временнóй структурой при наличии периодического внешнего воздействия на динамику плазменного магнитосферного мазера. Во всех рассмотренных случаях было проверено в данных магнитометра космического аппарата отсутствие признаков геомагнитных пульсаций с периодами, сравнимыми с периодами повторения спектральных форм на спектрограммах электромагнитных излучений. Модельные расчеты показали, что акустико-гравитационная волна в ионосфере в основании трубки магнитного поля с облаком оторвавшейся плазмы может обеспечить формирование наблюдаемой временнóй структуры излучений.
About the authors
Институт прикладной физики Российская академия наук (ИПФ РАН); Национальный исследовательский университет “Высшая школа экономики” (НИУ ВШЭ)
Author for correspondence.
Email: pbespalov@mail.ru
Россия,
Нижний Новгород; Россия,
Нижний Новгород
Национальный исследовательский университет “Высшая школа экономики” (НИУ ВШЭ)
Author for correspondence.
Email: onsavina@mail.ru
Россия,
Нижний Новгород
Национальный исследовательский университет “Высшая школа экономики” (НИУ ВШЭ)
Author for correspondence.
Email: gmheschetkin@edu.hse.ru
Россия,
Нижний Новгород
References
- – Беспалов П.А. Самомодуляция излучения плазменного циклотронного “мазера” // Письма в ЖЭТФ. Т. 33. № 4. С. 192–195. 1981.
- – Беспалов П.А.Эффективное насыщение поглощения в плазменном магнитосферном мазере // Изв. вузов. Радиофизика. Т. 30. № 2. С. 289–302. 1987.
- – Беспалов П.А., Клейменова Н.Г. Влияние геомагнитных пульсаций на свистовые излучения вблизи плазмопаузы // Геомагнетизм и аэрономия. Т 29. № 2. С. 177–191. 1989.
- – Беспалов П.А., Трахтенгерц В.Ю. Циклотронная неустойчивость радиационных поясов Земли / Вопросы теории плазмы. Т. 10. М.: Атомиздат. С. 88–163. 1980.
- – Маннинен Ю., Клейменова Н.Г., Козырева О.В., Беспалов П.А. и Райта Т. Квазипериодические ОНЧ излучения, ОНЧ хоры и геомагнитные пульсации PC4 (событие 3 апреля 2011 г.) // Геомагнетизм и аэрономия. Т. 52. № 1. С. 82–92. 2012.
- – Савина О.Н., Беспалов П.А. Отклик плазменного магнитосферного мазера на атмосферные возмущения // Геомагнетизм и аэрономия. Т. 62. № 5. С. 599–606. 2022. https://doi.org/10.31857/S001679402205011X
- – Bespalov P.A. Self-excitation of periodic cyclotron instability regimes in a plasma magnetic trap // Phys. Scripta. V. 1982. N 2B. P. 576–579. 1982. https://doi.org/10.1088/0031-8949/1982/T2B/044
- – Blanc E. Observations in the upper atmosphere of infrasonic waves from natural and artifical sources – A summary // Ann. Geophys. V. 3. № 6. P. 673–687. 1985.
- – Chappell C.R. Detached plasma regions in the magnetosphere // J. Geophys. Res. V. 79. № 13. P. 1861–1870. 1974. https://doi.org/10.1029/JA079i013p01861
- – Engebretson M.J., Posch J.L., Halford A.J., Shelburne G.A., Smith A.J., Spasojevic M., Inan U.S., Arnoldy R.L. Latitudinal and seasonal variations of quasiperiodic and periodic VLF emissions in the outer magnetosphere // J. Geophys. Res. – Space. V. 109. № 5. ID A05216. 2004. https://doi.org/10.1029/2003JA010335
- – Kennel C.F., Petschek H.E. Limimit on stably trapped particle fluxes // J. Geophys. Res. V. 71. № 1. P. 1–28. 1966. https://doi.org/10.1029/JZ071i001p00001
- – Kimura I. Interrelation between VLF and ULF emissions // Space Sci. Rev. V. 16. № 3. P. 389–411. 1974. https://doi.org/10.1007/BF00171565
- – Kletzing C.A., Kurth W.S., Acuna M. et al. The Electric and Magnetic Field Instrument Suite and Integrated Science (EMFISIS) on RBSP // Space Sci. Rev. V. 179. № 1–4. P. 127–181. 2013. https://doi.org/10.1007/s11214-013-9993-6
- – Korotova G.I., Kleimenova N.G.,Raspopov O.M. Modulation of VLF hiss by geomagnetic pulsations // Geomagn. Aeronomy. V. 15. P. 149–151. 1975.
- – Nemec F., Santolík O., Hrbácková Z., Pickett J.S., Cornilleau-Wehrlin N. Equatorial noise emissions with quasiperiodic modulation of wave intensity // J. Geophys. Res. – Space. V. 120. № 4. P. 2649–2661. 2015. https://doi.org/10.1002/2014JA020816
- – Sato N., Hayashi K., Kokubun S., Oguti T., Fukunishi H. Relationships between quasi-periodic VLF emission and geomagnetic pulsations // J. Atmos. Terr. Phys. V. 36. № 9. P. 1515–1526. 1974. https://doi.org/10.1016/0021-9169(74)90229-3
- – Sato N., Kokubun S. Interaction between ELF-VLF emissions and magnetic pulsations: Regular period ELF-VLF pulsations and their geomagnetic conjugacy // J. Geophys. Res. – Space. V. 86. № 1. P. 9–18. 1981. https://doi.org/10.1029/JA086iA01p00009
- – Sazhin S.S.,Hayakawa M. Periodic and quasiperiodic VLF emissions // J. Atmos. Terr. Phys. V. 56. № 6. P. 735–753. 1994. https://doi.org/10.1016/0021-9169(94)90130-9
- – Smith A.J., Engebretson M.J., Klatt E.M., Inan U.S., Arnoldy R.L., Fukunishi H. Periodic and quasiperiodic ELF/VLF emissions observed by an array of Antarctic stations // J. Geophys. Res. – Space. V. 103. № 10. P. 23611–23622. 1998. https://doi.org/10.1029/98JA01955
- – Tixier M., Cornilleau-Wehrlin N. How are VLF quasi-periodic emissions controlled by harmonics of field line oscillations? The results of a comparison between ground and GEOS satellites measurements // J. Geophys. Res. – Space. V. 91. № 6. P. 6899–6919. 1986. https://doi.org/10.1029/JA091/A06p06899
- – Trakhtengerts V.Y., Rycroft M.J. Whistler and Alfven mode cyclotron masers in space. Cambridge: Cambridge University Press, 354 p. 2008.
Supplementary files











