Forbush Decreases and Geomagnetic Disturbances: 1. Events Associated with Different Types of Solar and Interplanetary Sources
- Authors: Melkumyan A.A.1, Belov A.V.1, Shlyk N.S.1, Abunina M.A.1, Abunin A.A.1, Oleneva V.A.1, Yanke V.G.1
-
Affiliations:
- Institute of Terrestrial Magnetism, Ionosphere, and Radio Wave Propagation, Russian Academy of Sciences
- Issue: Vol 63, No 6 (2023)
- Pages: 699-714
- Section: Articles
- URL: https://ogarev-online.ru/0016-7940/article/view/232907
- DOI: https://doi.org/10.31857/S0016794023600503
- EDN: https://elibrary.ru/PWBRCG
- ID: 232907
Cite item
Full Text
Abstract
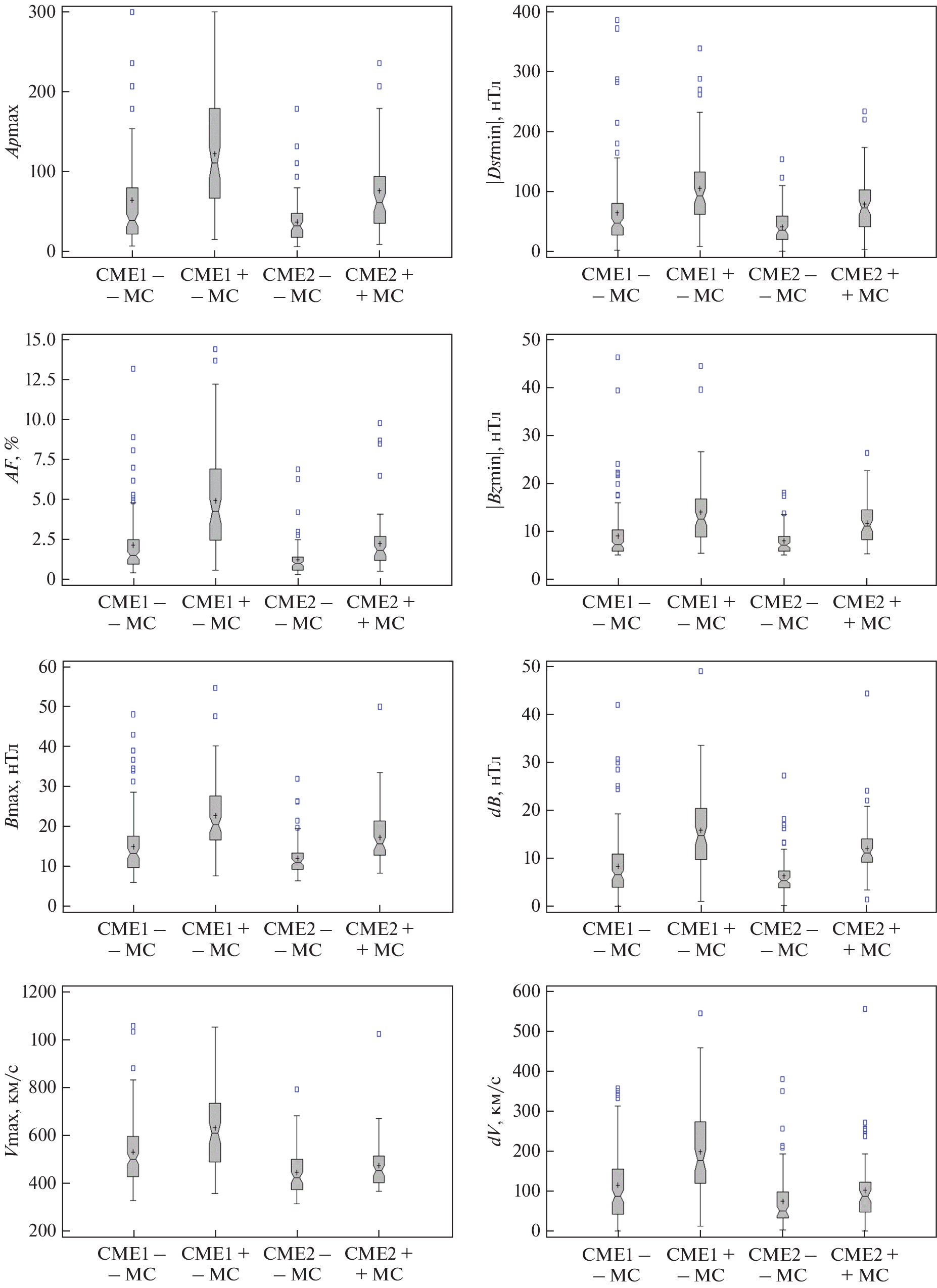
In this paper we study the statistical relations between geomagnetic indices and the characteristics of cosmic rays and interplanetary disturbances for Forbush decreases associated with (a) coronal mass ejections from active regions accompanied by solar flares, (b) filament eruptions outside active regions, (c) high-speed streams from coronal holes, and (d) multiple sources. For sporadic Forbush decreases, the dependence of geomagnetic indices on cosmic ray and solar wind parameters in the presence or absence of a magnetic cloud is compared using statistical methods. The results show that (a) the highest geoeffectiveness is characteristic of interplanetary disturbances associated with solar matter eruptions from active regions in the presence of a magnetic cloud (and the lowest one for recurrent disturbances), (b) sporadic and recurrent events differ not only in the magnitude of geomagnetic indices and the southern component of the magnetic field but also in the nature of the relationship between them, (c) the geoeffectiveness of transient solar wind disturbances depends more strongly on the presence or absence of a magnetic cloud than on the type of solar source, and (d) for interplanetary disturbances associated with filament eruptions outside active regions, in the presence of a magnetic cloud, the geoeffectiveness depends only on the southern component of the magnetic field, while for other types of disturbances it depends on other solar wind parameters.
About the authors
A. A. Melkumyan
Institute of Terrestrial Magnetism, Ionosphere, and Radio Wave Propagation, Russian Academy of Sciences
Email: amelkum@izmiran.ru
Moscow, Russia
A. V. Belov
Institute of Terrestrial Magnetism, Ionosphere, and Radio Wave Propagation, Russian Academy of Sciences
Email: abunina@izmiran.ru
Moscow, Russia
N. S. Shlyk
Institute of Terrestrial Magnetism, Ionosphere, and Radio Wave Propagation, Russian Academy of Sciences
Email: abunina@izmiran.ru
Moscow, Russia
M. A. Abunina
Institute of Terrestrial Magnetism, Ionosphere, and Radio Wave Propagation, Russian Academy of Sciences
Email: abunina@izmiran.ru
Moscow, Russia
A. A. Abunin
Institute of Terrestrial Magnetism, Ionosphere, and Radio Wave Propagation, Russian Academy of Sciences
Email: abunina@izmiran.ru
Moscow, Russia
V. A. Oleneva
Institute of Terrestrial Magnetism, Ionosphere, and Radio Wave Propagation, Russian Academy of Sciences
Email: abunina@izmiran.ru
Moscow, Russia
V. G. Yanke
Institute of Terrestrial Magnetism, Ionosphere, and Radio Wave Propagation, Russian Academy of Sciences
Author for correspondence.
Email: abunina@izmiran.ru
Moscow, Russia
References
- – Абунина М.А., Белов А.В., Шлык Н.С., Ерошенко Е.А., Абунин А.А., Оленева В.А., Прямушкина И.И., Янке В.Г. Форбуш-эффекты, созданные выбросами солнечного вещества с магнитными облаками // Геомагнетизм и аэрономия. Т. 61. № 5. С. 572–582. 2021.
- – Белов А.В., Ерошенко Е.А., Янке Г.В, Оленева В.А., Абунина М.А., Абунин А.А. Метод глобальной съемки для мировой сети нейтронных мониторов // Геомагнетизм и аэрономия. Т. 58. № 3. С. 374–389. 2018.
- – Дремухина Л.А., Ермолаев Ю.И., Лодкина И.Г. Динамика межпланетных параметров и геомагнитных индексов в периоды магнитных бурь, инициированных разными типами солнечного ветра // Геомагнетизм и аэрономия. Т. 59. № 6. С. 683–695. 2019.
- – Ермолаев Ю.И. и Ермолаев М.Ю. Солнечные и межпланетные источники геомагнитных бурь: аспекты космической погоды. // Геофизические процессы и биосфера. Т. 8. № 1. С. 5–35. 2009.
- – Ермолаев Ю.И., Николаева Н.С., Лодкина И.Г., Ермолаев М.Ю. Каталог крупномасштабных явлений солнечного ветра для периода 1976–2000 гг. // Космич. исслед. Т. 47. № 2. С. 99–113. 2009.
- – Мелкумян А.А., Белов А.В., Абунина М.А., Абунин А.А., Ерошенко Е.А., Оленева В.А., Янке В.Г. Основные свойства форбуш-эффектов, связанных с высокоскоростными потоками из корональных дыр // Геомагнетизм и аэрономия. Т. 58. № 2. С. 163–176. 2018.
- – Мелкумян А.А., Белов А.В., Абунина М.А., Абунин А.А., Ерошенко Е.А., Оленева В.А., Янке В.Г. Поведение скорости и температуры солнечного ветра в межпланетных возмущениях, создающих Форбуш-понижения // Геомагнетизм и аэрономия. Т. 60. № 5. С. 547–556. 2020.
- – Мелкумян А.А., Белов А.В., Абунина М.А., Шлык Н.С., Абунин А.А., Оленева В.А., Янке В.Г. Особенности поведения временны́х параметров Форбуш-понижений, связанных с разными типами солнечных и межпланетных источников // Геомагнетизм и аэрономия. Т. 62. № 2. С. 150–170. 2022.
- – Родькин Д.Г., Слемзин В.А., Шугай Ю.С. Геомагнитные бури и Форбуш-понижения, связанные с одиночными и комплексными транзиентными структурами солнечного ветра // Краткие сообщения по физике ФИАН. Т. 47. № 3. С. 36–43. 2020.
- – Шлык Н.С., Белов А.В., Абунина М.А., Ерошенко Е.А., Абунин А.А., Оленева В.А., Янке В.Г. Влияние взаимодействующих возмущений солнечного ветра на вариации галактических космических лучей // Геомагнетизм и аэрономия. Т. 61. № 6. С. 694–703. 2021.
- – Alves M.V., Echer E., Gonzalez W.D. Geoeffectiveness of corotating interaction regions as measured by Dst index // J. Geophys. Res. V. 111. A07S05. 2006.
- – Aslam O.P.M., Badruddin. Study of the Geoeffectiveness and Galactic Cosmic-Ray Response of VarSITI-ISEST Campaign Events in Solar Cycle 24 // Solar Phys. V. 292. Id 135. 2017.
- – Badruddin, Kumar A. Study of Forbush-Decreases, Geomagnetic Storms and Ground-Level Enhancements in Selected Intervals and Their Space Weather Implications // Solar Phys. V. 290. P. 1271–1283. 2015.
- – Belov A.V., Eroshenko E.A., Oleneva V.A., Struminsky A.B., Yanke V.G. What determines the magnitude of Forbush decreases? // Adv. Space Res. V. 27. P. 625–630. 2001.
- – Belov A.V. Forbush effects and their connection with solar, interplanetary and geomagnetic phenomena // Proc. IAU Symposium. № 257. P. 119–130. 2009.
- – Cane H.V. CMEs and Forbush decreases // Space Sci. Revs. V. 93. № 1–2. P. 55–77. 2000.
- – Chaddock R.E. Principles and Methods of Statistics (1st ed.). Boston: Houghton Mifflin Company, 471 p. 1925.
- – Dumbović M., Devos A., Vršnak B., Sudar D., Rodriguez L., Ruždjak D., Leer K., Vennerstrom S., Veronig A. Geoeffectiveness of Coronal Mass Ejections in the SOHO era // Solar Phys. V. 290. № 2. P. 579–612. 2015.
- – Forbush S.E. On the effects in the cosmic-ray intensity observed during magnetic storms // Phys. Rev. V. 51. P. 1108–1109. 1937.
- – Gopalswamy N. Solar connections of geoeffective magnetic structures // Journal of Athmospheric and Solar-Terrestrial Physics. 2008. https://doi.org/10.1016/j.jastp.2008.06.010
- – Gopalswamy N., Akiyama S., Yashiro S., Mäkelä P. Coronal Mass Ejections from Sunspot and non-Sunspot Regions // in Magnetic Coupling between the Interior and the Atmosphere of the Sun, eds. Hasan S.S. and Rutten R.J., Astrophysics and Space Science Proc., Springer Berlin Heidelberg. P. 289–307. 2010.
- – Huttunen K.E.J., Schwenn R., Bothmer V., Koskinen H.E.J. Properties and geoeffectiveness of magnetic clouds in the rising, maximum and early declining phases of solar cycle 23 // Annales Geophysicae. V. 23. № 2. P. 625–641.
- – Iucci N., Parisi M., Storini M., Villoresi G. Forbush decreases: origin and development in the interplanetary space // Nuovo Cimento C. V. 2. P. 1–52. 1979.
- – Kane R. Severe geomagnetic storms and Forbush decreases: interplanetary relationships reexamined // Ann. Geophys. V. 28. P. 479–489. 2010.
- – Kim R.S., Gopalswamy N., Cho K.S., Moon Y.J., Yashiro S. Propagation Characteristics of CMEs associated with Magnetic Clouds and Ejecta // Solar Physics. V. 284. № 1. P. 77–88. 2013.
- – King J.H., Papitashvili N.E. Solar wind spatial scales in and comparisons of hourly Wind and ACE plasma and magnetic field data // J. Geophys. Res. V. 110. № A2. A02104. 2005.
- – Lingri D., Mavromichalaki H., Belov A., Eroshenko E., Yanke V., Abunin A., Abunina M. Solar Activity Parameters and Associated Forbush Decreases During the Minimum Between Cycles 23 and 24 and the Ascending Phase of Cycle 24 // Sol. Phys. V. 291. P. 1025–1041. 2016.
- – Lockwood J.A. Forbush decreases in the cosmic radiation // Space Sci. Revs. V. 12. № 5. P. 658–715. 1971.
- – Lynch B.J., Zurbuhen T.H., Fisk L.A., Antiochos S.K. Internal structure of magnetic clouds: Plasma and composition // Journal of Geophysical Research Space Physics. V. 108. № A6. ID 1239. 2003.
- – Lynch B.J., Gruesbeck J.R., Zurbuchen T.H., Antiochos S.K. Solar cycle–dependent helicity transport by magnetic clouds // Journal of Geophysical Research. V. 110. A08107. 2005.
- – Marubashi K., Lepping R.P. Long-duration magnetic clouds: a comparison of analyses using torus- and cylinder-shaped flux ropes models // Annales Geophysicae. V. 25. № 11. P. 2453–2477. 2007.
- – Matzka J., Stolle C., Yamazaki Y., Bronkalla O., Morschhauser A. The geomagnetic Kp index and derived indices of geomagnetic activity // Space Weather. V. 19. № 5. Article ID e2020SW002641. 2021.
- – Melkumyan A.A., Belov A.V., Abunina M.A., Abunin A.A., Eroshenko E.A., Yanke V.G., Oleneva V.A. Solar wind temperature-velocity relationship over the last five solar cycles and Forbush decreases associated with different types of interplanetary disturbance // MNRAS. V. 500. № 3. P. 2786–2797. 2021.
- – Melkumyan A.A., Belov A.V., Abunina M.A., Shlyk N.S., Abunin A.A., Oleneva V.A., Yanke V.G. Forbush decreases associated with coronal mass ejections from active and non-active regions: statistical comparison // MNRAS. V. 515. № 3. P. 4430–4444. 2022.
- – Melkumyan A.A., Belov A.V., Abunina M.A., Shlyk N.S., Abunin A.A., Oleneva V.A., Yanke V.G. Statistical comparison of time profiles of Forbush decreases associated with coronal mass ejections and streams from coronal holes in solar cycles 23–24 // MNRAS. V. 521. № 3. P. 4544–4560. 2023.
- – Richardson I.G., Cane H.V. Near-Earth interplanetary coronal mass ejections during solar cycle 23 (1996–2009): Catalog and summary of properties // Solar Phys. V. 264. № 1. P. 189–237. 2010.
- – Richardson I.G., Cane H.V. Geoeffectiveness (Dst and Kp) of interplanetary coronal mass ejections during 1995–2009 and implications for storm forecasting // Space Weather. S07005. 2011.
- – Verbanac G., Živković S., Vršnak B., Bandić M., Hojsak T. Comparison of geoeffectiveness of coronal mass ejections and corotating interaction regions // A&A. 558. A85. 2013.
- – Yermolaev Y.I., Nikolaeva N.S., Lodkina I.G., Yermolaev M.Y. Geoeffectiveness and efficiency of CIR, sheath, and ICME in generation of magnetic storms. J. Geophys. Res. 117. ID A00L07. 2012.
Supplementary files







