Geoefficiency of Sporadic Phenomena in Solar Cycle 24
- Authors: Belov A.V.1, Belova E.A.1, Shlyk N.S.1, Abunina M.A.1, Abunin A.A.1
-
Affiliations:
- Pushkov Institute of Terrestrial Magnetism, the Ionosphere, and Radio Wave Propagation, Russian Academy of Sciences (IZMIRAN)
- Issue: Vol 63, No 4 (2023)
- Pages: 534-544
- Section: Articles
- URL: https://ogarev-online.ru/0016-7940/article/view/134744
- DOI: https://doi.org/10.31857/S0016794023600291
- EDN: https://elibrary.ru/OUBOKI
- ID: 134744
Cite item
Full Text
Abstract
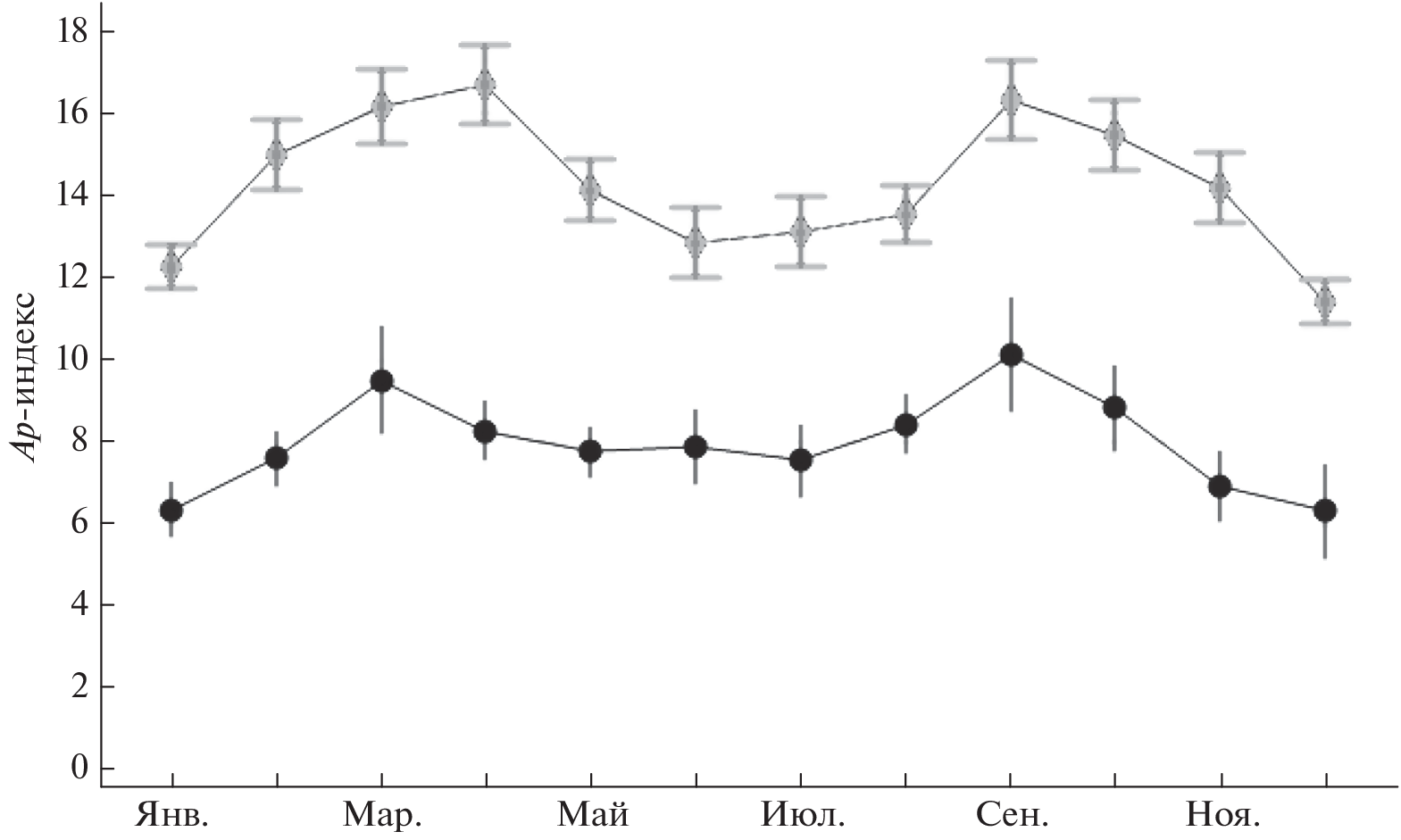
The specific features of solar cycle 24 are discussed, including cosmic ray variations, characteristics
of solar flares, proton events, coronal mass ejections, and the level of geomagnetic activity. It is shown
that in terms of the sunspot number and other manifestations of solar activity, cycle 24 turned out to be the
most modest one over the last 100 years of observations. A significant decrease in the geoefficiency of various
solar events is described, which manifested itself in a smaller number and magnitude of Forbush
effects recorded on the Earth, the enhancements of the fluxes of protons and electrons of different energies,
and geomagnetic storms.
About the authors
A. V. Belov
Pushkov Institute of Terrestrial Magnetism, the Ionosphere, and Radio Wave Propagation, Russian Academy of Sciences(IZMIRAN)
Email: abunina@izmiran.ru
Moscow oblast, Troitsk, 142190 Russia
E. A. Belova
Pushkov Institute of Terrestrial Magnetism, the Ionosphere, and Radio Wave Propagation, Russian Academy of Sciences(IZMIRAN)
Email: lbelova@izmiran.ru
Moscow oblast, Troitsk, 142190 Russia
N. S. Shlyk
Pushkov Institute of Terrestrial Magnetism, the Ionosphere, and Radio Wave Propagation, Russian Academy of Sciences(IZMIRAN)
Email: abunina@izmiran.ru
Moscow oblast, Troitsk, 142190 Russia
M. A. Abunina
Pushkov Institute of Terrestrial Magnetism, the Ionosphere, and Radio Wave Propagation, Russian Academy of Sciences(IZMIRAN)
Email: abunina@izmiran.ru
Moscow oblast, Troitsk, 142190 Russia
A. A. Abunin
Pushkov Institute of Terrestrial Magnetism, the Ionosphere, and Radio Wave Propagation, Russian Academy of Sciences(IZMIRAN)
Author for correspondence.
Email: abunina@izmiran.ru
Moscow oblast, Troitsk, 142190 Russia
References
- − Базилевская Г.А., Дайбог Е.И., Логачев Ю.И и др. Характерные особенности солнечных космических лучей в 21–24 циклах солнечной активности по данным каталогов солнечных протонных событий // Геомагнетизм и аэрономия. Т. 61. № 3. С. 8–15. 2021. https://doi.org/10.31857/S0016794021010028
- − Безродных И.П., Морозова Е.И., Петрукович А.А., Кожухов М.А. Динамика солнечной и геомагнитной активности. III. Солнечная и геомагнитная активность в 24 цикле. Реконструкция динамики солнечной и геомагнитной // Вопросы электромеханики. Труды ВНИИЭМ. Т. 172. № 5. С.10–24. 2019.
- − Белов А.В. Вспышки, выбросы, протонные события // Геомагнетизм и аэрономия. Т. 57. № 6. С. 783–793. 2017. https://doi.org/10.7868/S0016794017060025
- − Белов А.В., Ерошенко Е.А., Янке Г.В, Оленева В.А., Абунина М.А., Абунин А.А. Метод глобальной съемки для мировой сети нейтронных мониторов // Геомагнетизм и аэрономия. Т. 58. № 3. С. 374–389. 2018.
- − Григорьев В.Г., Герасимова С.К., Гололобов П.Ю., Стародубцев С.А., Зверев А.С. Особенности спорадических вариаций плотности и анизотропии галактических космических лучей в 24 цикле солнечной активности // Солнечно-земная физика. Т. 8. № 1. С. 34–38. 2022. https://doi.org/10.12737/szf-81202204
- − Ишков В.Н. Итоги и уроки 24 цикла – первого цикла второй эпохи пониженной солнечной активности // Астрон. журн. Т. 99. № 1. С. 54–69. 2022. https://doi.org/10.31857/S0004629922020050
- − Калинин М.С., Базилевская Г.А., Крайнев М.Б., Свиржевская А.К., Свиржевский Н.С., Стародубцев С.А. Модуляция галактических космических лучей в 22–24 солнечных циклах: анализ и физическая интерпретация // Геомагнетизм и аэрономия. Т. 57. № 5. С. 592–601. 2017. https://doi.org/10.7868/S001679401705011X
- − Мелкумян А.А., Белов А.В., Абунина М.А., Абунин А.А., Ерошенко Е.А., Оленева В.А., Янке В.Г. Долгопериодные изменения количества и величины Форбуш-эффектов // Геомагнетизм и аэрономия. Т. 58. № 5. С. 638–647. 2018. https://doi.org/10.1134/S0016794018050103
- − Янке В.Г., Белов А.В., Гущина Р.Т. О долговременной модуляции космических лучей в 23–24 циклах солнечной активности // Изв. РАН. Сер. физ. Т. 85. № 9. С. 1355–1358. 2021. https://doi.org/10.31857/S0367676521090350
- − Andreeva O.A., Abramenko V.I., Malashchuk V.M. Coronal Holes of Cycle 24 in Observations at the Solar Dynamics Observatory // Geomagn. Aeron. V. 61. P. S1–S8. 2021. https://doi.org/10.1134/S001679322133001X
- − Baker D.N. The occurrence of operational anomalies in spacecraft and their relationship to space weather // IEEE Trans. Plasma Sci. V. 28. P. 2007–2016. 2000. https://doi.org/10.1109/27.902228
- − Baker D.N., Erickson P.J., Fennell J.F., Foster J.C., Jaynes A.N., Verronen P.T. Space weather effects in the Earth’s radiation belts // Space Sci. Rev. V. 214. Article number 17. 2018. https://doi.org/10.1007/s11214-017-0452-7
- − Belov A., Dorman L., Iucci N., Kryakunova O., Ptitsyna N. The relation of high- and low-orbit satellite anomalies to different geophysical parameters / Effects of Space Weather on Technology Infrastructure. Ed. Daglis I.A. NATO Science Series II: Mathematics, Physics and Chemistry, Springer, Dordrecht. V. 176. P. 147–163. 2004. https://doi.org/10.1007/1-4020-2754-0_8
- − Belov A., Garcia H., Kurt V., Mavromichalaki H. Gerontidou M. Proton enhancements and their relation to X-ray flares during the three last solar cycles // Solar Phys. V. 229. № 1. P.135–159. 2005. https://doi.org/10.1007/s11207-005-4721-3
- − Belov A.V. Forbush effects and their connection with solar, interplanetary and geomagnetic phenomena / Universal Heliophysical Processes. Proceedings of the International Astronomical Union, IAU Symposium. V. 257. P. 439–450. 2009.
- − Belov A., Kurt V., Mavromichalaki H., Gerontidou M. Peak-size distributions of proton Fluxes and Associated Soft X-Ray Flares // Solar Phys. V. 246. № 2. P. 457–470. 2007.
- − Cane H.V. Coronal mass ejections and Forbush decreases // Space Sci. Rev. V. 93. № 1/2. P. 55–77. 2000.
- − Chandra Y., Pande B., Mathpal M.C. et al. N-S Asymmetry and periodicity of daily sunspot number during solar cycles 22-24 // Astrophysics. V. 65. P. 404–413. 2022. https://doi.org/10.1007/s10511-022-09749-9
- − Chifu I., Inhester B., Wiegelmann T. Coronal magnetic field evolution over cycle 24 // Astron.-Astrophys. V. 659. A174. 2022. https://doi.org/10.1051/0004-6361/202038001
- − Cliver E.W., Kamide Y., Ling A.G. The semiannual variation of geomagnetic activity: Phases and profiles for 130 years of aa data // J. Atmos. Solar-Terr. Phys. V. 64. № 1. P. 47–53. 2002.
- − Forbush S.E. On the world-wide changes in cosmic-ray intensity // Phys. Rev. V. 54. P. 975. 1938.
- − Hajra R., Sunny J.V., Babu M. et al. Interplanetary sheaths and sorotating snteraction segions: A comparative statistical study on their characteristics and geoeffectiveness // Solar Phys. V. 297. Article ID 97. 2022. https://doi.org/10.1007/s11207-022-02020-6
- − Lamy P.L., Floyd O., Boclet B., Wojak J., Gilardy H., Barlyaeva T. Coronal mass ejections over solar cycles 23 and 24 // Space Sci. Rev. V. 215 Article number 39. 2019. https://doi.org/10.1007/s11214-019-0605-y
- − Lockwood J.A. Forbush decreases in the cosmic radiation // Space Sci. Rev. V. 12. № 5. P. 658–715. 1971.
- − Manu V., Balan N., Zhang Q.-H., Xing Z.-Y. Association of the main phase of the geomagnetic storms in solar cycles 23 and 24 with corresponding solar wind-IMF parameters // J. Geophys. Res. – Space. V. 127. Article ID e2022JA030747. 2022. https://doi.org/10.1029/2022JA030747
- − Marques de Souza Franco A., Hajra R., Echer E., Bolzan M.J.A. Seasonal features of geomagnetic activity: a study on the solar activity dependence // Ann. Geophys. V. 39. P. 929–943. 2021. https://doi.org/10.5194/angeo-39-929-2021
- − Matzka J., Stolle C., Yamazaki Y., Bronkalla O., Morschhauser A. The geomagnetic Kp index and derived indices of geomagnetic activity // Space Weather. V. 19. № 5. Article ID e2020SW002641. 2021.
- − Pandey D., Pande B., Pande S. Comparative analysis of type III solar radio bursts associated with solar particle events and its impact on space weather for solar cycle 23&24 // Astrophys. Space Sci. V. 367. Article number 91. 2022. https://doi.org/10.1007/s10509-022-04129-3
- − Patel B.D., Joshi B., Cho K.S. et al. Near-Earth interplanetary coronal mass ejections and their association with DH type II radio bursts during solar cycles 23 and 24 // Solar Phys. V. 297. № 2. Article number 139. 2022. https://doi.org/10.1007/s11207-022-02073-7
- − Pilipenko V., Yagova N., Romanova N., Allen J. Statistical relationships between satellite anomalies at geostationary orbit and high-energy particles // Adv. Space Res. V. 37. P. 1192–1205. 2006. https://doi.org/10.1016/j.asr.2005.03.152
- − Shi X., Fu H., Zhenghua Huang Z., Ma C., Xia L. The solar cycle dependence of in situ properties of two types of interplanetary CMEs during 1999–2020 // The Astrophysical J. V. 940. Article number 103. 2022. https://doi.org/10.3847/1538-4357/ac9b20
- − Yermolaev Y.I., Lodkina I.G., Khokhlachev A.A., Yermolaev M.Y. Peculiarities of the heliospheric state and the solar-wind/magnetosphere coupling in the era of weakened solar activity // Universe. V. 8. Article number 495. 2022. https://doi.org/10.3390/universe8100495
- − Zhang J.,Temmer M.,Gopalswamy N. et al. Earth-affecting solar transients: a review of progresses in solar cycle 24 // Progress in Earth and Planetary Science. V. 8. Article number 56. 2021. https://doi.org/10.1186/s40645-021-00426-7
Supplementary files







