Estimate of Lower Ionosphere Ionization during Solar Flares of the X Class According to VLF Observations
- Authors: Ryakhovsky I.A.1, Poklad Y.V.1, Gavrilov B.G.1
-
Affiliations:
- Sadovcky Institute of Geosphere Dynamics
- Issue: Vol 63, No 4 (2023)
- Pages: 422-428
- Section: Articles
- URL: https://ogarev-online.ru/0016-7940/article/view/134732
- DOI: https://doi.org/10.31857/S0016794022600648
- EDN: https://elibrary.ru/PLAMRF
- ID: 134732
Cite item
Full Text
Abstract
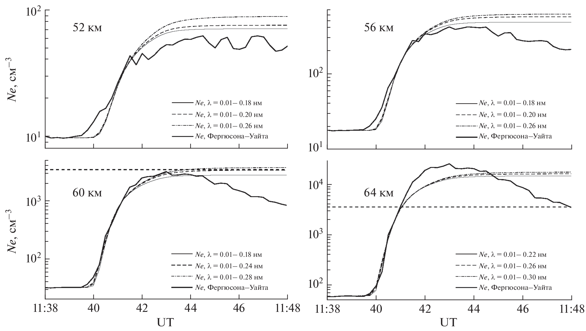
The results of analysis of measurements of the amplitudes and phases of the GQD (19.6 kHz) and
GBZ (22.1 kHz) VLF transmitter signals at the Mikhnevo IGD observatory are presented to estimate of the
influence of the solar flares X 2.2 and X 1.5 on June 10, 2014 on the electron concentration in the lower ionosphere.
The flux of the X-rays in the more rigid spectral ranges of 0.01‒0.3, 0.01‒0.26, and 0.01‒0.22 nm
was calculated based on the measurements of the X-ray emissions at wavelengths of 0.05–0.4 nm and 0.1–
0.8 nm at the GOES satellite. That allowed us to find the ionization rate and the emission spectrum ranges
that influenced the electron concentration dynamics most strongly. It is shown that if the duration of the forefront
is substantially less than the characteristic recombination time, the change in the electron concentration
profile in the lower ionosphere on the flare front is related linearly to the changes in the X-ray emission flux.
About the authors
I. A. Ryakhovsky
Sadovcky Institute of Geosphere Dynamics
Email: ryakhovskiy88@yandex.ru
Moscow, Russia
Yu. V. Poklad
Sadovcky Institute of Geosphere Dynamics
Email: poklad@mail.ru
Moscow, Russia
B. G. Gavrilov
Sadovcky Institute of Geosphere Dynamics
Author for correspondence.
Email: boris.gavrilov34@gmail.com
Moscow, Russia
References
- – Bekker S.Z., Ryakhovsky I.A., Korsunskaya J.A. Modeling of the lower ionosphere during solar X-ray flares of different classes // J. Geophys. Res. ‒ Space. V. 126. № 2. e2020JA028767. 2021. https://doi.org/10.1029/2020JA028767
- – Bekker S.Z., Kozlov S.I., Kudryavcev V.P. Comparison and verification of the different schemes for the ionization-recombination cycle of the ionospheric D-region // J. Geophys. Res. ‒ Space. V. 127. N 10. e2022JA030579. 2022. https://doi.org/10.1029/2022JA030579
- – Ferguson J.A. Ionospheric model validation at VLF and LF // Radio Sci. V. 30. № 3. P. 775‒782. 1995. https://doi.org/10.1029/94RS03190
- – Gavrilov B.G., Ermak V.M., Lyakhov A.N., Poklad Y.V., Rybakov V.A., Ryakhovsky I.A Reconstruction of the parameters of the lower midlatitude ionosphere in M- and X-class solar flares // Geomagn. Aeronomy. V. 60. № 6. P. 747‒ 753. 2020. https://doi.org/10.1134/S0016793220060043
- – Gavrilov B.G., Poklad Y.V., Ryakhovsky I.A., Ermak V.M. Dependence of D-region perturbations of the midlatitude ionosphere on the spectral composition of the X-ray radiation of solar flares according to experimental data // Geomagn. Aeronomy. V. 62. № 1‒2. P. 98‒103. 2022. https://doi.org/10.1134/S0016793222020086
- – Kumar A., Kumar S. Solar flare effects on D-region ionosphere using VLF measurements during low- and high-solar activity phases of solar cycle 24 // Earth Planets Space. V. 70. № 1. Art. № 29. 2018. https://doi.org/10.1186/s40623-018-0794-8
- – Levine E.V., Sultan P.J., Teig L.J. A parameterized model of X-ray solar flare effects on the lower ionosphere and HF propagation // Radio Sci. V. 54. № 2. P. 168‒180. 2019. https://doi.org/10.1029/2018RS006666
- – Mitra A.P. Ionospheric effects of solar flares. Dordrecht: D. Reidel Publishing Company, 307 p. 1974. https://doi.org/10.1007/978-94-010-2231-6
- – Nina A., Čadež V.M., Bajčetić J., Mitrović S.T., Popović L.Č. Analysis of the relationship between the Solar X-ray radiation intensity and the D-region electron density using satellite and ground-based radio data // Sol. Phys. V. 293. № 4. Art. № 64. 2018. https://doi.org/10.1007/s11207-018-1279-4
- – Ryakhovskii I.A., Gavrilov B.G., Poklad Y.V., Bekker S.Z., Ermak V.M. The state and dynamics of the ionosphere from synchronous records of ULF/VLF and HF/VHF radio signals at geophysical observatory ”Mikhnevo” // Izv., Phys. Solid Earth. V. 57. № 5. P. 718‒730. 2021. https://doi.org/10.1134/S1069351321050177
- – Thomson N.R. Daytime tropical D region parameters from short path VLF phase and amplitude // J. Geophys. Res. ‒ Space. V. 115. A09313. 2010. https://doi.org/10.1029/2010JA015355
- – Thomson N.R., Rodger C.J., Clilverd M.A. Daytime D region parameters from long-path VLF phase and amplitude // J. Geophys. Res. ‒ Space. V. 116. A11305. 2011. https://doi.org/10.1029/2011JA016910
Supplementary files








