Особенности распространения радиосигналов в диапазоне ОНЧ в высоких широтах во время солнечных протонных событий
- Авторы: Ахметов О.И.1, Мингалев И.В.1, Мингалев О.В.1,2, Белаховский В.Б.1, Суворова З.В.1
-
Учреждения:
- Полярный геофизический институт (ПГИ)
- Мурманский арктический государственный университет (МАГУ)
- Выпуск: Том 63, № 4 (2023)
- Страницы: 411-421
- Раздел: Статьи
- URL: https://ogarev-online.ru/0016-7940/article/view/134731
- DOI: https://doi.org/10.31857/S0016794022600545
- EDN: https://elibrary.ru/PKMRVP
- ID: 134731
Цитировать
Полный текст
Аннотация
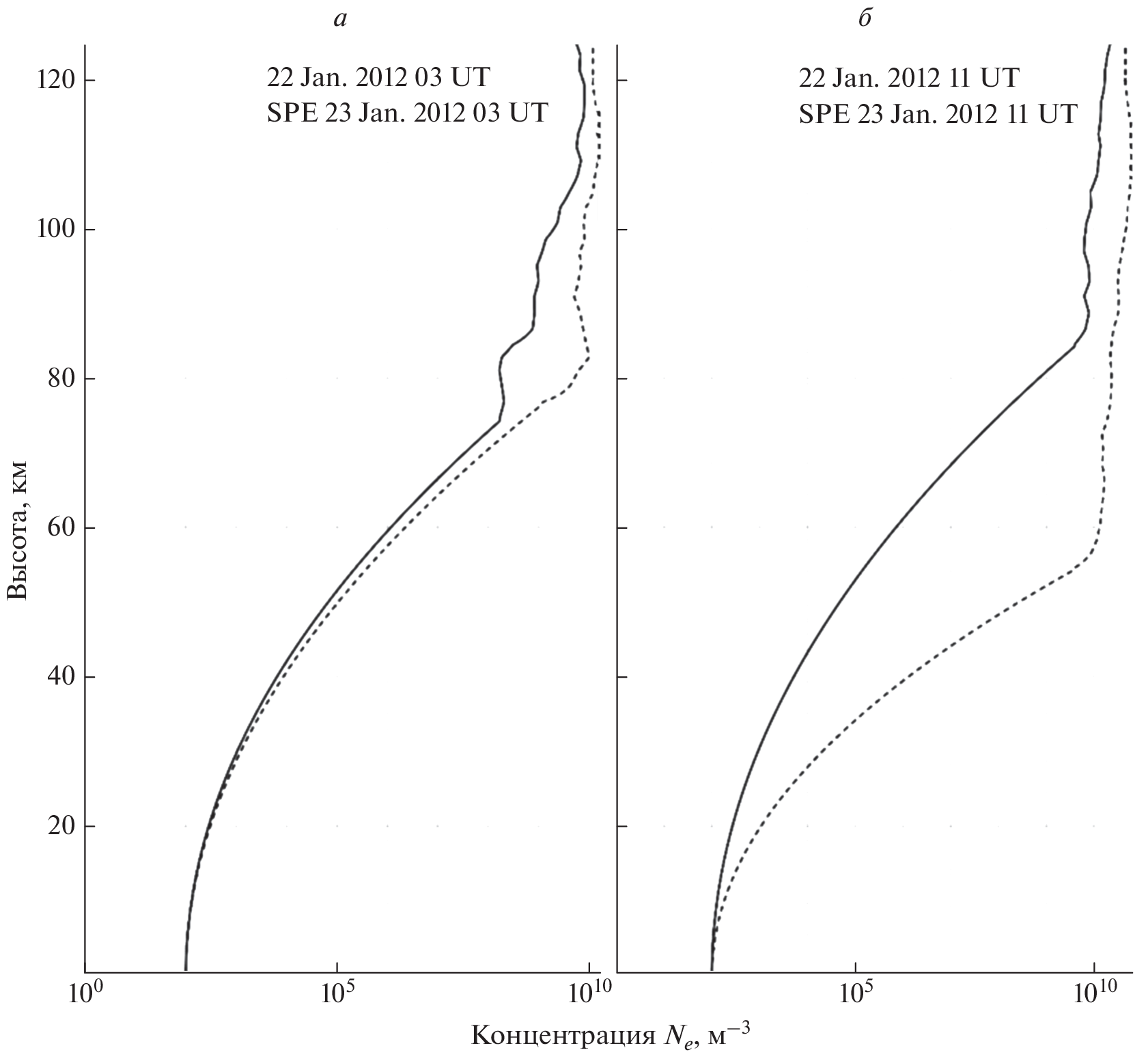
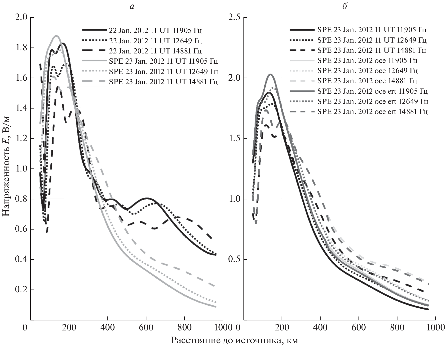
Методами вычислительного эксперимента исследованы амплитудные и фазовые характеристики сигналов ОНЧ антропогенного происхождения во время солнечных протонных событий. В работе рассмотрены события 30 октября 2003 г. и 23 января 2012 г. Профили концентрации электронов построены с использованием данных радара некогерентного рассеяния VHF EISCAT, расположенного в городе Тромсё, Норвегия. В результате обработки данных вычислительных экспериментов показано, что в условиях солнечных протонных событий наблюдаются в основном амплитудные искажения ОНЧ-сигналов, при этом существует частотная зависимость величины искажений сигналов радиотехнической системы дальней навигации РСДН-20. Фазы сигналов системы РСДН-20 менее подвержены влиянию слабых солнечных протонных событий. Исследовано влияние нижней границы волновода Земля‒ионосфера в случаях распространения сигналов системы РСДН-20 над поверхностью суши и океана во время солнечного протонного события.
Об авторах
О. И. Ахметов
Полярный геофизический институт (ПГИ)
Email: akhmetov@pgia.ru
Россия, (Мурманская обл.), Апатиты
И. В. Мингалев
Полярный геофизический институт (ПГИ)
Email: belakhovsky@pgia.ru
Россия, (Мурманская обл.), Апатиты
О. В. Мингалев
Полярный геофизический институт (ПГИ); Мурманский арктический государственный университет (МАГУ)
Email: belakhovsky@pgia.ru
Россия, (Мурманская обл.), Апатиты; Россия, Мурманск
В. Б. Белаховский
Полярный геофизический институт (ПГИ)
Email: belakhovsky@pgia.ru
Россия, (Мурманская обл.), Апатиты
З. В. Суворова
Полярный геофизический институт (ПГИ)
Автор, ответственный за переписку.
Email: belakhovsky@pgia.ru
Россия, (Мурманская обл.), Апатиты
Список литературы
- ‒ Ахметов О.И., Мингалев И.В., Мингалев О.В., Суворова З.В., Белаховский В.Б., Черняков С.М. Определение характеристик ИНЧ-волн, наиболее сильно реагирующих на незначительные изменения электронной плотности ионосферы в области высоких широт // Солнечно-земная физика. Т. 5. № 4. С. 99–109. 2019а. https://doi.org/10.12737/szf-54201911
- ‒ Ахметов О.И., Мингалев И.В., Мингалев О.В., Суворова З.В.Тестирование численной схемы интегрирования уравнений Максвелла для широкополосных сигналов на задаче распространения электромагнитных волн от ионосферного источника // Труды кольского научного центра РАН. Т. 8. С. 193‒198. 2019б.
- ‒ Ахметов О.И., Мингалев И.В., Мингалев О.В., Белаховский В.Б., Суворова З.В. Распространение электромагнитных волн в области высоких широт при различном состоянии ионосферы на частотах системы радионавигации РСДН-20 (АЛЬФА) // Геомагнетизм и аэрономия. Т. 61. № 3. С. 366–378. 2021а. https://doi.org/10.31857/S0016794021030020
- ‒ Ахметов О.И., Мингалев И.В., Мингалев О.В., Белаховский В.Б., Суворова З.В. Распространение электромагнитных волн в области высоких широт при различном состоянии ионосферы на частотах системы точного времени бета // Изв. РАН. Сер. физическая. Т. 85. № 3. С. 315–320. 2021б. https://doi.org/10.31857/S0367676521020034
- ‒ Ахметов О.И., Мингалев И.В., Мингалев О.В., Белаховский В.Б., Суворова З.В. Моделирование процесса распространения сигналов радиотехнической системы дальней навигации РСДН-20 Альфа в участках волновода Земля‒ионосфера с горизонтально неоднородным распределением концентрации электронов // Physics of Auroral Phenomena. Т. 44. С. 67–70. 2021в. https://doi.org/10.51981/2588-0039.2021.44.015
- ‒ Веселовский И.С., Панасюк М.И., Авдюшин С.И. и др. Солнечные и гелиосферные явления в октябре-ноябре 2003 г.: причины и следствия // Космич. исслед. Т. 42. № 5. С. 1–57. 2004. https://doi.org/10.1023/B:COSM.0000046229.24716.02
- ‒ Годунов С.К., Куликов И.М. Расчет разрывных решений уравнений гидродинамики с гарантией неубывания энтропии // Журн. вычислительной математики и математической физики. Т. 54. № 6. С. 1008–1021. 2014. https://doi.org/10.7868/S0044466914060088
- ‒ Мингалев И.В., Мингалев О.В., Ахметов О.И., Суворова З.В. Явная схема расщепления для уравнений Максвелла // Математическое моделирование. Т. 30. № 12. С. 17–38. 2018.
- ‒ Стародубцев С.А., Баишев Д.Г., Григорьев В.Г., Каримов Р.Р., Козлов В.И., Корсаков А.А., Макаров Г.А., Моисеев А.В. Анализ солнечных, космо- и геофизических событий в сентябре 2017 г. по комплексным наблюдениям ИКФИА СО РАН // Солнечно-земная физика. Т. 5. № 1. С. 17–38. 2019. https://doi.org/10.12737/szf-51201903
- ‒ Шубин В.Н. Глобальная эмпирическая модель критической частоты F2-слоя ионосферы для спокойных геомагнитных условий // Геомагнетизм и аэрономия. Т. 57. № 4. С. 450–462. 2017. https://doi.org/10.1134/S0016794019040151
- ‒ Alken P., Thébault E., Beggan C.D. et al. International Geomagnetic Reference Field: the thirteenth generation // Earth Planets Space. V. 73. P. 1‒25. 2021. https://doi.org/10.1186/s40623-020-01288-x
- ‒ Akhmetov O.I., Mingalev V.S., Mingalev I.V., Mingalev O.V. Solution of the cauchy problem for the three-dimensional telegraph equation and exact solutions of maxwell’s equations in a homogeneous isotropic conductor with a given exterior current source // Computational Mathematics and Mathematical Physics. V. 58. № 4. P. 604–611. 2018. https://doi.org/10.1134/S0965542518040036
- ‒ Bashkuev Y., Advokatov V., Buyanova D., Pushkarev M. Analysis of the conditions for the radio waves propagation in the waveguide “Earth-Ionosphere” on the paths “Novosibirsk-Ulan-Ude” and “Komsomolsk-on-Amur-Ulan-Ude” during magnetic storms august 31-september 12, 2017 / IX International Conference “Solar-Terrestrial Relations and Physics of Earthquake Precursors”. id. 01002. 2018. https://doi.org/10.1051/e3sconf/2018620100
- ‒ Beloglazov M.I., Beloglazova G.P., Vashenyuk E.V., Petrova G.A., Shumilov O.I., Shishaev V.A., Zabavina I.N., Nesterov V.I. The ionospheric effects in D-layer and solar proton precipitation zones during the 16 February 1984 event // Planet. Space Sci. V. 38. № 12. P. 1479‒1486. 1990. https://doi.org/10.1016/0032-0633(90)90154-I
- ‒ Berenger J.-P. A perfectly matched layer for the absorption of electromagnetic waves // J. Computational Phys. V. 114. № 2. P. 185–200. 1994. https://doi.org/10.1006/JCPH.1994.1159
- ‒ Clilverd M., Seppälä A., Rodger C., Thomson N., Verronen P., Turunen E., Ulich T., Lichtenberger J., Steinbach P. Modeling polar ionospheric effects during the October–November 2003 solar proton events // Radio Sci. V. 41. id RS2001. 2006. https://doi.org/10.1029/2005RS003290
- ‒ Clilverd M., Rodger C., Thomson N. et al. Remote sensing space weather events: the AARDDVARK network // Space Weather. V. 7. Id. S04001. 2009. https://doi.org/10.1109/URSIGASS.2014.6929921
- ‒ Cummer S.A., Bell T.F., Inan U.S., Chenette D.L. VLF remote sensing of high-energy auroral particle precipitation // J. Geophys. Res. V. 102. A4. P. 7477–7484. 1997. https://doi.org/10.1029/96JA03721
- ‒ Gopalswamy N., Xie H., Yashiro S., Akiyama S., Mäkelä P., Usoskin I.G. Properties of Ground Level Enhancement Events and the Associated Solar Eruptions During Solar Cycle 23 // Space Sci. Rev. V. 171. P. 23–60. 2012. https://doi.org/10.48550/arXiv.1205.0688
- ‒ Jacobsen T. The Russian VLF navaid system alpha, RSDN-20. http://www.vlf.it/alphatrond/alpha.htm/2022.
- ‒ Korja T., Engels M., Zhamaletdinov A.A., et al. Crustal conductivity in Fennoscandia – a compilation. № 5. P. 535–558. 2002. https://doi.org/10.1186/BF03353044
- ‒ Knipp D., Ramsay A., Beard E., Boright A., Cade T., Hewins I., McFadden R., Denig W., Kilcommons L., Shea M., Smart D. The May 1967 great storm and radio disruption event: Extreme space weather and extraordinary responses // Space Weather. V. 14. P. 614–633. 2016. https://doi.org/10.1002/2016sw001423
- ‒ Larchenko A.V., Pilgaev S.V., Lebed O.M., Fedorenko Yu.V. Features of the structure of the VLF electromagnetic field on the arch. Spitsbergen in experiments on heating the ionosphere // Bulletin of the Kola Scientific Center of the Russian Academy of Sciences. V. 3. P. 115‒119. 2018.
- ‒ Lebed O.M., Pilgaev S.V., Nikitenko A.S., Larchenko A.V., Fedorenko Yu.V. Estimation of the height of the ionospheric source formed during HF heating by the EISCAT / heating stand based on phase measurements at a network of high-latitude stations in calm and disturbed helio-geophysical conditions // Bulletin of the Kola Scientific Center of the Russian Academy of Sciences. V. 4. P. 67‒74. 2017.
- ‒ Lynn K.J.W. A relationship between solar proton events, ionospheric uplift observed at VLF and negative ionospheric storms // J. Atmos. Solar-Terr. Phys. V. 105. P. 61–65. 2013. https://doi.org/10.1016/j.jastp.2013.07.009
- ‒ Makhmutov V.S., Bazilevskaya G.A., Stozhkov Y.I. et al. Solar proton event on January 23, 2012 / 33RD international cosmic ray conference. Rio de Janeiro. P. 1440. 2013.
- ‒ Maurya A.K., Venkatesham K., Kumar S., Singh R., Tiwari P., Singh A.K. Effects of St. Patrick’s Day geomagnetic storm of March 2015 and of June 2015 on low-equatorial D region ionosphere // J. Geophys. Res. – Space. V. 123. P. 6836‒ 6850. 2018. https://doi.org/10.1029/2018JA025536
- ‒ Potemra T.A., Zmuda A.J., Haave C.R., Shaw B.W. VLF phase perturbations produced by solar protons in the event of February 5, 1965 // J. Geophys. Res. V. 72. P. 6077–6089. 1967.
- ‒ Schunk R., Nagy A. Ionospheres: Physics, Plasma Physics, and Chemistry (2nd ed., Cambridge Atmospheric and Space Science Series). Cambridge: Cambridge University Press. 355 p. 2009. https://doi.org/10.1017/CBO9780511635342
- ‒ Shubin V.N. Global median model of the F2-layer peak height based on ionospheric radio-occultation and ground-based Digisonde observations // Adv. Space Res. V. 56. P. 916–928. 2015. https://doi.org/10.1016/j.asr.2015.05.029
- ‒ Zigman V., Kudela K., Grubor D. Response of the Earth’s lower ionosphere to the Ground Level Enhancement event of December 13, 2006 // Adv. Space Res. V. 53. P. 763–775. 2014. https://doi.org/10.1016/j.asr.2013.12.026
Дополнительные файлы





