Особенности поведения излучения типа SE во время суббурь
- Авторы: Куражковская Н.А.1, Клайн Б.И.1
-
Учреждения:
- Геофизическая обсерватория Борок – филиал Института физики Земли им. О.Ю. Шмидта РАН (ГО Борок ИФЗ РАН)
- Выпуск: Том 63, № 2 (2023)
- Страницы: 163-173
- Раздел: Статьи
- URL: https://ogarev-online.ru/0016-7940/article/view/134709
- DOI: https://doi.org/10.31857/S0016794022600521
- EDN: https://elibrary.ru/DLHUVK
- ID: 134709
Цитировать
Полный текст
Аннотация
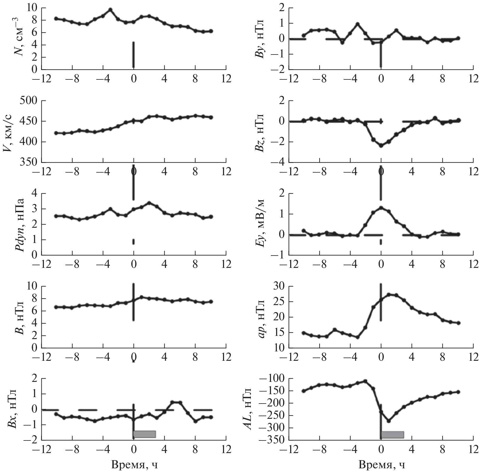
Выполнено исследование одновременных наблюдений ультранизкочастотных колебаний в диапазоне частот 0.1‒5.0 Гц типа “серпентинной эмиссии” (Serpentine Emission ‒ SE), наблюдаемой в области полярной шапки, и возмущений в авроральной зоне. Для анализа использованы уникальные аналоговые магнитные записи Антарктической обсерватории Восток (исправленные геомагнитные координаты Φ' = –85.41°, Λ' = 69.01°), оцифрованные с высокой частотой (20 Гц) и находящиеся в свободном доступе на сайте Мирового Центра Данных по Солнечно-Земной Физике, Москва. За период 1966 (ноябрь, декабрь), 1968 (март–июль), 1970–1972, 1973 (январь–март) гг. проанализировано поведение “серпентинной эмиссии” во время развития 180-ти изолированных суббурь, выделенных по вариации AL-индекса. Обнаружено прерывание режима генерации “серпентинной эмиссии” в области полярной шапки во время активной фазы интенсивных изолированных суббурь (с максимальной величиной AE-индекса ∼500‒600 нТл). В фазу экспансии суббурь возникает шумовое широкополосное электромагнитное излучение с резким передним фронтом в диапазоне Pc1‒2, также регистрируемое в полярной шапке. Шумовое излучение имеет резкий передний фронт и возникает примерно через 2 ч после переориентации Bz-компоненты ММП с северного направления на южное. Момент прерывания SE по времени совпадает с началом этого излучения и моментом достижения Bz-компонентой ММП максимальных отрицательных значений. Эффект прерывания SE наблюдается на фоне относительно стабильных других геоэффективных параметров солнечного ветра и ММП. Средняя продолжительность прерывания эмиссии составляет ∼3 ч. Косвенным подтверждением воздействия суббуревой активности на режим генерации SE является совпадение закономерностей суточной и сезонной вариации интервалов прерывания SE и вероятности наблюдения суббурь. В связи с тем, что шумовое излучение возникает во время активной фазы изолированных суббурь, и спустя ∼2 ч после переориентации Bz-компоненты ММП в солнечном ветре, есть основания полагать, что оно связано с потоками плазмы, направленными к Земле из хвоста магнитосферы. По-видимому, энергия плазменных потоков в активную фазу суббури стимулирует возникновение шумового излучения, прерывающего SE.
Об авторах
Н. А. Куражковская
Геофизическая обсерватория Борок – филиал Института физики Землиим. О.Ю. Шмидта РАН (ГО Борок ИФЗ РАН)
Email: knady@borok.yar.ru
Россия, (Ярославская обл.), пос. Борок
Б. И. Клайн
Геофизическая обсерватория Борок – филиал Института физики Землиим. О.Ю. Шмидта РАН (ГО Борок ИФЗ РАН)
Автор, ответственный за переписку.
Email: knady@borok.yar.ru
Россия, (Ярославская обл.), пос. Борок
Список литературы
- ‒ Воробьев В.Г., Ягодкина О.И., Антонова Е.Е., Зверев В.Л. Влияние параметров плазмы солнечного ветра на интенсивность изолированных магнитосферных суббурь // Геомагнетизм и аэрономия. Т. 58. № 3. С. 311–323. 2018. https://doi.org/10.7868/S001679401803001X
- ‒ Гульельми А.В., Троицкая В.А. Геомагнитные пульсации и диагностика магнитосферы. М.: Наука, 208 с. 1973.
- – Гульельми А.В., Довбня Б.В. Гидромагнитное излучение межпланетной плазмы // Письма в ЖЭТФ. Т. 18. № 10. С. 601–604. 1973.
- – Гульельми А.В., Довбня Б.В. Наблюдение геомагнитных пульсаций в диапазоне 0–2 Гц с глубокой модуляцией несущей частоты в полярной шапке // Геомагнетизм и аэрономия. Т. 14. № 5. С. 868–870. 1974.
- – Гульельми А.В., Довбня Б.В., Клайн Б.И. Возбуждение геомагнитных пульсаций типа “серпентинная эмиссия” в межпланетной плазме // Доклады Академии наук СССР. Т. 221. № 6. С. 1314‒1317. 1975.
- – Гульельми А.В., Потапов А.С., Довбня Б.В. О происхождении частотной модуляции серпентинной эмиссии // Солнечно-земная физика. Т. 1. № 2. С. 85–90. 2015. https://doi.org/10.12737/9617
- – Довбня Б.В., Зотов О.Д., Клайн Б.И., Куражковская Н.А. Динамика излучения типа SE перед мощными протонными вспышками на Солнце // Геомагнетизм и аэрономия. Т. 34. № 3. С. 188–191. 1994.
- – Довбня Б.В., Клайн Б.И., Гульельми А.В., Потапов А.С. Спектр частотной модуляции серпентиной эмиссии как отражение спектра солнечных колебаний // Солнечно-земная физика. Т. 3. № 1. С. 59–62. 2017. https://doi.org/10.12737/23043
- – Довбня Б.В., Потапов А.С. Исследование частотной модуляции серпентинной эмиссии // Физика Земли. № 5. С. 19–26. 2018. https://doi.org/10.1134/S0002333718050058
- – Клейменова Н.Г., Козырева О.В., Биттерли М., Биттерли Ж. Связь внезапных прекращений геомагнитных пульсации ipcl в каспе с началом суббурь на ночной стороне // Геомагнетизм и аэрономия. Т. 38. № 6. С. 58–65. 1998.
- – Клейменова Н.Г., Козырева О.В., Биттерли Ж., Шотт Ж.-Ж. Геомагнитные пульсации диапазона Pc3–5 на широтах полярного каспа во время SC и их глобальный отклик // Геомагнетизм и аэрономия. Т. 39. № 4. С. 29–38. 1999.
- – Куражковская Н.А., Клайн Б.И., Довбня Б.В. Роль Bx-компоненты в генерации электромагнитного излучения в диапазоне частот 0.01–1.0 Гц во время SC // Геомагнетизм и аэрономия. Т. 37. № 4. С. 151–154. 1997.
- – Куражковская Н.А., Клайн Б.И. Эффект прерывания серпентинной эмиссии (SE) в полярной шапке во время внезапных начал геомагнитных бурь (SSC) // Геомагнетизм и аэрономия. Т. 62. № 5. С. 617–626. 2022. https://doi.org/10.31857/S0016794022040101
- – Пилипенко В.А., Довбня Б.В., Мартинес-Беденко В.А., Добровольский М.Н. Геомагнитные наблюдения на станции Восток советских Антарктических экспедиций: научная проблематика и архив данных // Вестник ОНЗ РАН. Т. 12. NZ4003. 2020. https://doi.org/10.2205/2020NZ000366
- – Потапов А.С., Гульельми А.В., Довбня Б.В. Ультранизкочастотные эмиссии диапазона 0.1–3 Гц в приполярных областях // Солнечно-земная физика. Т. 6. № 3. С. 48–55. 2020. https://doi.org/10.12737/szf-63202006
- – Прист Э.Р. Солнечная магнитогидродинамика. М.: Мир, 592 с. 1985.
- – Пудовкин М.И., Распопов О.М., Клейменова Н.Г. Возмущения электромагнитного поля Земли. Часть II. Короткопериодические колебания геомагнитного поля. Л.: Изд-во ЛГУ, 271 с. 1976.
- ‒ Семенова Н.В., Яхнин А.Г. Резкое изменение резонансной структуры в спектре электромагнитного шума в герцовом диапазоне во время суббури // Геомагнетизм и аэрономия. Т. 54. № 3. С. 341–347. 2014. https://doi.org/10.7868/S0016794014030158
- – Троицкая В.А., Матвеева Э.Т., Калишер А.Л. Связь возбуждения геомагнитных пульсаций типов Pi1 и Pc1 с магнитосферными суббурями // Геомагнетизм и аэрономия. Т. 13. № 4. С. 755–757. 1973.
- – Allen J.H., Abston C.C., Morris L.D. Auroral electrojet magnetic activity indices AE (10) for 1966. World Data Center A for Solar-Terrestrial Physics. Report UAG 37. Boulder, Colorado, 142 pp. 1974.
- – Allen J.H., Abston C.C., Morris L.D. Auroral electrojet magnetic activity indices AE (11) for 1968. World Data Center A for Solar-Terrestrial Physics. Report UAG 29. Boulder, Colorado, 144 pp. 1973.
- – Allen J.H. Auroral electrojet magnetic activity indices AE for 1970. World Data Center A for Solar-Terrestrial Physics. Report UAG 22. Boulder, Colorado, 146 c. 1972.
- – Allen J.H., Abston C.C., Morris L.D. Auroral electrojet magnetic activity indices AE (11) for 1971. World Data Center A for Solar-Terrestrial Physics. Report UAG 39. Boulder, Colorado, 146 pp. 1975.
- – Allen J.H., Abston C.C., Morris L.D. Auroral electrojet magnetic activity indices AE (11) for 1972. World Data Center A for Solar-Terrestrial Physics. Report UAG 45. Boulder, Colorado, 146 pp. 1975.
- – Allen J.H., Abston C.C., Morris L.D. Auroral electrojet magnetic activity indices AE (11) for 1973. World Data Center A for Solar-Terrestrial Physics. Report UAG 47. Boulder, Colorado, 146 pp. 1975.
- – Asheim S. Serpentine emissions in the polar magnetic field. Report 83–38. Institute of Physics, University of Oslo, 8 pp. 1983.
- – Fraser–Smith A.C. ULF/lower-ELF electromagnetic field measurements in the polar caps // Rev. Geophys. Space Phys. V. 20. № 3. P. 497–512. 1982. https://doi.org/10.1029/RG020i003p00497
- – Fu H., Yue C., Zong Q.-G., Zhou X.-Z., Fu S. Statistical characteristics of substorms with different intensity // Journal of Geophysical Research: Space Physics. V. 126. e2021JA029318. 2021. https://doi.org/10.1029/2021JA029318
- – Guglielmi A., Potapov A., Dovbnya B. Five-minute solar oscillations and ion-cyclotron waves in the solar wind // Solar Phys. V. 290. № 10. P. 3023–3032. 2015. https://doi.org/10.1007/s11207-015-0772-2
- ‒ Hsu T.-S., McPherron R.L. Average characteristics of triggered and nontriggered substorms // J. Geophys. Res. V. 109. A07208. 2004. https://doi.org/10.1029/2003JA009933
- – Morris R.J., Cole K.D. “Serpentine emission” at the high latitude Antarctic station, Davis // Planet. Space Sci. V. 35. P. 313–328. 1987. https://doi.org/10.1071/EG986015
- ‒ Parent A., Mann I.R., Rae J. Effects of substorm dynamics on magnetic signatures of the ionospheric Alfven resonator // J. Geophys. Res. V. 115. № A02312. 2010. https://doi.org/10.1029/2009JA014673
- – Russell C.T., McPherron R.L. Semiannual variation of geomagnetic activity // J. Geophys. Res. V. 78. № 1. P. 92‒ 108. 1973. https://doi.org/10.1029/ja078i001p00092
- – Shumilov O., Kasatkina E., Raspopov O., Hansen T., Frank–Kamenetsky A. Sudden-commencement-triggered pulsations at high latitudes and their sources in the magnetosphere // J. Geophys. Res. V. 101. N A8. P. 17.355‒17.363. 1996. https://doi.org/10.1029/96JA00400
- – Tanskanen E.I. A comprehensive high-throughput analysis of substorms observed by IMAGE magnetometer network: Years 1993–2003 examined // J. Geophys. Res. V. 114. A05204. 2009. https://doi.org/10.1029/2008JA013682
Дополнительные файлы








