Аssessment of soil cover geochemical composition in the technogenically altered territory of the Pioneer gold deposit (Upper Amur Region)
- Авторлар: Radomskaya V.I.1, Pavlova L.M.1, Moiseenko N.V.1, Lyapunov M.Y.2, Yusupov D.V.3
-
Мекемелер:
- Institute of Geology & Nature Management FEB RAS
- Branch of Atlas Mining LLC
- Amur State University
- Шығарылым: Том 70, № 2 (2025)
- Беттер: 165-186
- Бөлім: Articles
- URL: https://ogarev-online.ru/0016-7525/article/view/294961
- DOI: https://doi.org/10.31857/S0016752525020054
- EDN: https://elibrary.ru/GPEPKY
- ID: 294961
Дәйексөз келтіру
Толық мәтін
Аннотация
The results of geochemical studies of soils and anthropogenic grounds within the territory of the large Pioneer gold ore deposit developed in the Amur Region are presented. Using the enrichment indices for the soil and ground cover of the Pioneer deposit territory, the following pollutant elements were determined: As, Sb, Mo, Bi, W, S, Cd, and Pb. Using the methods of mathematical statistics, the background contents of As, Sb, Bi, Mo, W, S, Cd, and Pb in the technogenically transformed territory at the sampling time accounted for 63, 8.84, 0.69, 3.54, 4.19, 529, 0.11, and 36.5 mg/kg, respectively. The exceedance of background values for As, Sb, Bi, Mo, W, and S is caused by the natural metallogenic features of the territory. It has been established that the sources of metal emissions into the environment are mining facilities and structures of the mining complex: quarries, waste dumps, heap leaching areas, gold extraction plant, and tailings dumps.
Негізгі сөздер
Толық мәтін
ВВЕДЕНИЕ
Появление тяжелых металлов (ТМ) в почвенном покрове обусловлено двумя основными факторами: геогенным и антропогенным. Геогенные ТМ – это элементы, унаследованные от материнских пород вследствие выветривания и эрозии горных пород и минералов, высвобожденные в результате разложения органического вещества, различных почвенных процессов или выбросов вулканов и процессов дегазации на поверхности земли. Концентрации ТМ в почвенном покрове месторождений могут существенно превышать средние значения для незагрязненных почв из-за аномальных концентраций элементов в подстилающих породах.
Антропогенные ТМ накапливаются в почве в результате производственной деятельности человека, в том числе за счет горнодобывающей промышленности. Разработка месторождений полезных ископаемых сопровождается значительными преобразованиями не только естественной ландшафтной обстановки района добычи (изменение рельефа местности и параметров поверхностного стока, ухудшение мерзлотных условий), но и нарушениями состояния и свойств грунтов, почвенного слоя, что приводит к проникновению химических элементов в растительный покров, поверхностные и подземные водотоки (Радомская и др., 2016; Радомская и др., 2016а; Радомская и др., 2019; Павлова, 2022; Okereafor et al., 2020; Radomskaya et al., 2021; Pavlova et al., 2022). Согласно современным данным (Куликова, 2013) объем готовой продукции в горнодобывающем производстве составляет не более 10 %, остальное количество минерального вещества складируется в виде отходов, которые содержат элементы, такие как As, Sn, Cd, Cr, Cu, Hg, Pb, Ni и Zn, представляющие опасность не только для экосистем, но и для человека (Chopard et al., 2019; Okereafor et al., 2020).
Освоение золоторудных месторождений, помимо всего прочего, влечет за собой образование кислых сульфатных растворов за счет выветривания ассоциированных с золотом сульфидных минералов (пирит, арсенопирит) в отвальных породах и дренирования их атмосферными осадками. Образующиеся кислые водные потоки увеличивают миграционную способность высвобождающихся токсичных элементов, которые, попадая в поверхностные и подземные водотоки, распространяются далеко за пределы источника их появления (отвалы, хвостохранилища). Токсичные продукты трансформации сульфидов, например, при окислении пирита (реакция 1) и арсенопирита (реакция 2) – сульфаты, арсенаты, арсениты, немедленно попадают в компоненты наземных экосистем (Плюснин, Гунин, 2001), наиболее уязвимой среди которых является почва:
4FeS2 + 15O2 + 14H2O =
= 4Fe(OH)3 (тв.) + 16H+ + 8SO42 – (1)
6FeAsS(тв.) + 21O2 + 24H2O =
= 6SO42 – + 2H2AsO4– + 4HAsO42 – + (2)
+ 6Fe(OH)3(тв.) + 22H+
В то же время, как показывает анализ научной литературы, на территориях месторождений всеобъемлющие почвенные геохимические изыскания проводятся преимущественно на предпроектном этапе и периодически – узконаправленные в целях мониторинга воздействия горных работ на окружающую среду (Абатурова и др., 2022; Chopard et al., 2019). Актуальность таких работ в горнопромышленных ландшафтах золоторудных месторождений определяется визуализацией ореолов распределения химических элементов в почвенно-грунтовом покрове, что позволяет оценить степень влияния горных работ, конкретизировать зоны с высоким уровнем загрязнения, рассчитать потенциальные риски для окружающих экосистем, разработать стратегии для минимизации негативных последствий распространения ТМ и восстановления качества почвы.
Золоторудное месторождение Пионер, расположенное в Амурской области, является одним из значимых объектов добычи золота в РФ (Степанов, 2019). Геохимия данного месторождения с целью определения золотосодержащих минералов, их источников, понимания процессов минералообразования, поиска новых залежей золота; структура месторождения и технологии обработки руды – для задач горнопромышленной геологии, достаточно глубоко изучались многими исследователями (Константинов, 2010; Алексеев и др., 2013; Власов, Курник, 2013; Степанов, Мельников, 2016а; Степанов, 2019а; Остапенко, Нерода, 2023), тогда как вопросам экологической геохимии месторождения посвящено не так много работ (Ляпунов, 2014; Зеньков и др., 2022). Важным относительным показателем, позволяющим дифференцировать источники ТМ – природного они происхождения, либо обусловлены антропогенной деятельностью, является определение геохимического фона локальной горнопромышленной территории (Mazurek et al., 2019); а расчет различных геохимических индексов помогает оценить характер и степень воздействия антропогенной составляющей на почвенный покров техногенно преобразованной территории.
Целью данного исследования явилась оценка химического состава почвенно-грунтового покрова на территории горноперерабатывающего предприятия АО «Покровский рудник» (месторождение Пионер, Амурская область) – крупнейшего золотодобывающего предприятия в России, с применением геохимического подхода и статистических методов анализа.
ОБЪЕКТ И МЕТОДЫ ИССЛЕДОВАНИЯ
Физико-географическая характеристика района. Золоторудное месторождение Пионер располагается в Амурской области, на границе Магдагачинского и Зейского районов в бассейне р. Улунги. Территория расположена в пределах Амуро-Зейской возвышенной равнины, имеющей холмисто-увалистый рельеф с выравненными водоразделами, широкими и заболоченными долинами со слабым стоком поверхностных вод (Природа…, 1959). Исследуемая площадь входит в южную область распространения многолетней мерзлоты и характеризуется развитием островной мерзлоты, которая проявляется в пойме р. Улунги и на склонах водоразделов. Верхняя граница многолетней мерзлоты фиксируется на глубине 1–3 м, а на заболоченных участках 0.7–1 м.
Климат территории формируется под воздействием как океанических, так и континентальных факторов. Континентальность проявляется большими годичными и суточными амплитудами температур воздуха, муссонность – почти исключительно северо-западными ветрами зимой и резким преобладанием летних осадков. Характеристика воздушного бассейна приводится по данным ближайшей метеорологической станции Тыгда. Циркуляция воздушных масс обусловлена влиянием Азиатского континента и Тихого океана и характеризуется хорошо выраженной периодичностью. В зимний период преобладают западные и северо-западные ветра; летом ветер в основном восточного направления. Температура воздуха характеризуется резко выраженным различием зимних и летних значений; среднегодовые температуры воздуха равны –2.0 °С. Самый холодный месяц – январь. В период с 2015–2023 гг. среднемесячная температура воздуха в январе составила –23.5 °С; абсолютный минимум –48.6 °С наблюдался в 2023 г. Среднемесячная температура июля +20.5 °С; максимальная +35.6 °С. Положительные среднесуточные температуры воздуха держатся 180 дней. Среднегодовая влажность воздуха ‒ 65 %. В весенние месяцы влажность воздуха падает, достигая 53–57 %, в июле-августе возрастает до 76 %. Распределение осадков по временам года неравномерное, основное их количество выпадает в теплый период; сумма осадков за год – около 400 мм (Зимовец, 1967; Напрасников и др., 1983).
На исследуемой территории под лиственнично-березовым лесом распространены зональные буро-таежные почвы или буроземы грубогумусовые по классификации ЕГРПР (Единый…, 2019), Umbrisols – по классификации WRB 2022 г. (IUSS…, 2022), а болотные почвы (торфяные, торфяно-глеевые, торфянисто-глеевые), по классификации ЕГРПР глееземы торфянистые и торфяно-болотные, по классификации WRB 2022 г. – Histic Gleysols, приурочены к долинам рек, водораздельным плато, падям.
Подстилающими породами для этих почв являются современные аллювиальные отложения, делювиальные глины и суглинки. Для буро-таежных почв характерна слабая дифференцированность профиля, невысокая мощность гумусового горизонта при значительном содержании гумуса, кислая среда верхних горизонтов, среднесуглинистый механический состав. Болотные почвы характеризуются наличием значительного торфянистого горизонта, признаками оглеения иллювиального горизонта, имеют кислую реакцию по всему профилю, небольшое содержание фосфора и калия (Терентьев, 1969; Иванов, 1976).
К отработке золоторудного месторождения Пионер горноперерабатывающее предприятие АО “Покровский рудник” приступило в 2004 г. Перед промышленной разработкой месторождения были проведены инженерно-экологические изыскания почвенного покрова (горизонт А и Б), которые показали высокую степень загрязнения по суммарному показателю загрязнения (Zc). Наибольший вклад в Zc внесли As, Bi, P, K, Sb, W, Cd, Mo, P, что свидетельствовало о природной геохимической аномалии территории.
Первоначально добыча и переработка золота велась открытым способом, а с 2008 г. – по схеме: добыча руды – дробление – дезинтеграция – кучное выщелачивание – сорбционное цианирование – регенерация насыщенной смолы – электролиз. К настоящему времени на территории месторождения сформировался техногенный ландшафт, представленный объектами и инфраструктурой горнодобывающего комплекса: эксплуатируемыми и законсервированными карьерами, нерекультивированными и рекультивированными отвалами горных пород, ранними отработками россыпей старательскими артелями, складами балансовой и забалансовой руды, участком кучного выщелачивания, золотоизвлекательной фабрикой, технологическими емкостями хвостохранилищ, прудами-накопителями, вахтовым поселком, полигоном твердых коммунальных отходов, электроподстанцией, котельной, и измененным почвенно-грунтовым покровом. Техногенно преобразованный почвенный покров в основном представлен смесью дресвяно-щебнистого грунта с суглинистым заполнителем, природные почвы присутствуют локально по периферии отрабатываемого месторождения.
Геологическая характеристика. Месторождение Пионер входит в состав Северо-Буреинской металлогенической зоны Приамурской золотоносной провинции Тихоокеанского рудного пояса (Степанов, 2000; Константинов, 2006). Его геологическое строение, минеральный состав горных пород детально описаны ранее (Власов, Курник, 2013; Соколов и др., 2016; Степанов, Мельников, 2016; Радомский, Радомская, 2022), что позволяет ограничиться общими сведениями. Схема геологического строения месторождения Пионер представлена на рис. 1. Месторождение локализовано на контакте гранитоидов раннемелового возраста (Ольгинский массив) и осадочных пород песчано-алевролитового состава позднеюрского возраста (аякская свита).
Рис. 1. Схема геологического строения золоторудного месторождения Пионер (по Власов, Курник, 2013). 1 – неогеновые озерно-аллювиальные пески, глины; 2 – верхнеюрские песчаники, алевролиты; 3–5 – раннемеловые породы: 3 – диорит-порфириты, андезиты, 4 – гранит-порфиры, 5 – диориты, гранодиориты; 6 – позднеюрские крупнопорфировые гранит-порфиры; 7 – рудные штокверковые зоны (1 – Звездочка, 2 – Западная, 3 – Южная, 4 – Промежуточная, 5 – Бахмут, 6 – Андреевская, 7 – Николаевская, 8 – Бахмут – Северо-восточная, 9 – Эрозионная, 10 – Отвальная); 8 – разломы и зоны трещиноватости; 9 – элементы залегания рудных зон.
В пределах территории рудных зон развиты раннемеловые дайки и малые тела андезитов и диорит-порфиритов буриндинского комплекса (Степанов, Мельников, 2016). Месторождение контролируется системой разломов северо-восточного и северо-западного простирания. Рудные зоны представлены главным образом штокверками прожилково-сетчатого окварцевания по всем разновидностям пород с вкрапленной и прожилковой золото-полисульфидной минерализацией. Разведано и выделено девять рудных зон: Бахмут, Промежуточная, Южная, Андреевская, Николаевская, Восточная, Западная, Сосновая и Звездочка. Вмещающие породы обычно преобразованы в серицит-кварцевые и хлорит-серицит-кварцевые метасоматиты.
Окисленные породы в рудных зонах развиты широко, их мощность в среднем составляет 10 м на западном фланге и доходит до 220 м на восточном. Руды из зоны окисления представляют собой глинистые образования с сохранившимся кварцем, по которому развиваются окислы и гидроокислы железа. Кроме кварца, лимонита, гематита и гидрогетита в окисленных разностях присутствуют марказит, пиролюзит, халькозин, скородит, ярозит и лепидокрокит, которые замещают сульфиды. Среднее содержание золота составляет 0.4–2.0 г/т, но среди бедных руд встречаются и обогащенные участки с содержанием золота более 4.0 г/т, а в отдельных пробах его величина достигает 1500 г/т и до 1030 г/т серебра (Власов и др., 2012). Подсчитанные запасы золота оцениваются более чем в 100 т.
Методы анализа. Отбор проб. Отбор проб почв и грунтов проводили с фиксацией географических координат GPS-навигатором (рис. 2). Опробование проводили на глубину до 10 см в соответствии с ГОСТ 17.4.3.01-2017. Было отобрано 32 пробы почвы и грунтов массой до 1 кг. Площадки отбора проб почв и грунтов располагались в местах природного ландшафта (точки 1, 4, 7г, 8, 14, 18, 22а, 23, 24, 25, 26, 28) и на участках влияния потенциальных источников эмиссии химических элементов: в районе отвалов пустой породы (1а, 2, 2а, 7а, 7б); карьеров (5, 6, 6а, 9, 22б, 22в, 22г/1, 22г/2); участка кучного выщелачивания (16, 17); хвостохранилища (12), водохранилища (13), в районе отвалов давней россыпной золотодобычи (3, 11, 19) (рис. 2).
Рис. 2. Картосхема исследуемого района отработки золоторудного месторождения Пионер (1 – промышленные площадки; 2 – карьеры; 3 – рекультивированные отвалы, склады балансовой и забалансовой руды; 4 – технологические емкости хвостохранилищ, пруды накопители; 5 – смешанный лес; 6 – точки отбора проб почвы, грунтов и их номера; ЗИФ – золотоизвлекательная фабрика; УКВ – участок кучного выщелачивания).
Кроме того, было отобрано 92 пробы осадочных, магматических и метасоматических пород из рудных зон (Южная, Промежуточная, Бахмут, Андреевская и Николаевская) месторождения Пионер. Камеральная обработка проб включала сушку при комнатной температуре, ситование, удаление крупной фракции (+1 мм), истирание фракции –1 мм для последующих анализов.
Химико-аналитические исследования. Определение элементного состава образцов проводили атомно-эмиссионным (iCAP-6500, Thermo Scientific, США) и масс-спектральным (Х-7, Thermo Elemental, США) методами в ИПТМ РАН (г. Черноголовка).
Определение физико-химических характеристик почв и почвогрунтов, таких как рН водной и солевой вытяжек, содержание неорганического углерода, общей и сульфатной серы, проводили в ЦКП “Амурский центр минералого-геохимических исследований” ИГиП ДВО РАН. Содержание сульфидной серы рассчитывали по разнице между общей серой и сульфатной (Сера, 1986). Содержание неорганического углерода измеряли с помощью анализатора TOC-VCPN c модулем SSM-5000A (Shimadzu, Япония).
Определение гранулометрического (зернового) и микроагрегатного состава грунтов проводили по ГОСТ 12536-2014 (ГОСТ 12536-2014, 2015).
Шлиховой анализ образцов горных пород выполняли в ИГиП ДВО РАН. Раздробленные породы отмучивали в воде для отделения легкой фракции и получения шлиха, который делили на три фракции: магнитную, электромагнитную и немагнитную. Определение минералов осуществляли с помощью стереомикроскопа МБС-10М (ЛЗОС, РФ). Глинистые минералы данным методом не определяли.
Определение локального фона статистическим методом. Определение локального геохимического фона для выделенных элементов было проведено с использованием квантиль-квантильных (Q–Q) графиков. Эти графики применялись для проверки данных на соответствие нормальному распределению. Образцы с нормальным распределением должны группироваться вдоль диагональной прямой. Часто распределение микроэлементов подчиняется логарифмически нормальному распределению (Reimann, Garrett, 2005; Reimann et al., 2005; Yusupov et al., 2020), но если исходные данные не соответствовали нормальному распределению, то значения концентраций логарифмировали по основанию 10. На Q–Q–графиках для логарифмически преобразованных концентраций удалялись выбросы в правом верхнем (высокие значения) и в нижнем левом (низкие значения) углах. Исключение выбросов в крайних точках преобразованных данных проводили до тех пор, пока точки кривой распределения не приблизились максимально близко к прямой линии. Полученные таким образом геохимические данные, отвечающие логнормальному распределению, были сгруппированы в пять классов для определения фона и аномалий, пороги которых были рассчитаны на основе геометрического среднего (Хгеом) и его отклонения (d) (Miesch, 1967; Papastergios et al., 2011). Отрицательная аномалия (−СА), обусловленная выветриванием пород, соответствует значению < Хгеом/d. Фоновые значения определяются в интервале Хгеом/d–Хгеом·d. Величина фона равна Хгеом. Положительная низко контрастная аномалия (+СА1) находится в интервале Хгеом·d–Хгеом·d2.. Положительная средне-контрастная аномалия (+СА2) находится в интервале Хгеом·d2–Хгеом·d3. Высоко контрастная аномалия (+СА3) соответствует показателю > Хгеом·d3.
Геохимические индексы. Геохимические индексы, такие как коэффициенты обогащения (EF), индексы геоаккумуляции (Igeo), коэффициент концентрации (Кс), коэффициент токсической опасности загрязнения почвы (Ко), суммарный показатель загрязнения (Zс) применяют для определения концентраций элементов, представляющих экологическую опасность.
Коэффициент обогащения является эффективным инструментом для выделения элементов, которыми были обогащены почва и горная порода. Коэффициент обогащения рассчитывали по формуле:
EF = (Сi/СAl)образец/(Сi/СAl)кора, (3)
где Сi образец – содержание i элемента в почвенно-грунтовом покрове; СAl образец – содержание Al в почвенно-грунтовом покрове; Сi кора – содержание i элемента в верхней континентальной коре по (Rudnick, Gao, 2014) (далее в тексте и таблицах “кларк”); СAl кора – содержание Al в верхней континентальной коре; содержание элементов в мг/кг.
Коэффициенты EF элементов рассчитываются по отношению к наименее подвижному элементу, который естественным образом присутствует в почвах. К ним относят Al, Sc, Zr и Ti. Наш выбор наиболее стабильного элемента в расчетах EF основывался на коэффициенте вариации (V). Мы использовали Al как элемент, имеющий минимальное значение V. Существует градация по величине показателя коэффициента обогащения природного объекта: значение EF < 2 принимают за минимальное обогащение, значение от 2 до 5 – умеренное обогащение; от 5 до 20 – значительное обогащение, от 20 до 40 – очень высокое обогащение, EF > 40 считают за чрезвычайно высокое обогащение.
Индекс геоаккумуляции используется для оценки загрязнения почв и рассчитывается по уравнению:
(4)
где Ci – концентрация элемента, Cф – геохимическое фоновое значение, константа 1.5 – поправочный коэффициент, компенсирующий естественные колебания содержаний данного элемента при минимизации антропогенного воздействия (Müller, 1969). Шкала индекса геоаккумуляции состоит из семи классов, заданных следующим образом: 0 – практически нет загрязнения (Iгео ≤ 0); 1 – почвы от незагрязненных до умеренно загрязненных (Igeo = 0–1); 2 – умеренное загрязнение (Igeo = 1–2); 3 – загрязнение от умеренного до сильного (Igeo = 2–3); 4 – сильное загрязнение (Igeo = 3–4); 5 – от сильного до крайнего загрязнения (Igeo = 4–5) и 6 – включает в себя все значения Igeo выше значений класса 5.
Рассчитывали коэффициент токсической опасности загрязнения почвы (Ко) согласно формуле:
Ко = Сi/ПДКi, (5)
где Сi – содержание загрязняющего элемента, ПДКi – ПДК данного загрязняющего элемента. Опасность загрязнения тем выше, чем больше фактическое содержание компонентов загрязнения почвы превышает ПДК, т.е. опасность загрязнения тем выше, чем больше Ко превышает единицу (МУ 2.1.7.730-99, 1999).
Рассчитывали коэффициент концентрации (СанПиН 1.2.3685-21) Кс как отношение содержания определяемого элемента в почве (Ci) в мг/кг к фоновому (Cфi). В качестве фоновых содержаний использовали значения локального фона, рассчитанных в данной работе:
Кс = Ci / Cфi. (6)
Оценка уровня химического загрязнения почв как индикатора неблагоприятного воздействия на здоровье населения проводится по суммарному показателю загрязнения (Zс) (СанПиН 1.2.3685-21). Суммарный показатель загрязнения равен сумме коэффициентов концентрации химических элементов-загрязнителей и выражается формулой:
Zc = Σ(Кci + ... + Кcn) – (n–1), (7)
где n – число определяемых суммируемых вещества; Кci – коэффициент концентрации i-го компонента загрязнения.
При величинах Zс < 16 загрязнение почв считается допустимым, при этом содержания элементов 1, 2 и 3 класса опасности не должны превышать ПДК; умеренно опасное загрязнение соотносится с диапазоном значений 16–32; Zс от 32 до 128 свидетельствует об опасном уровне загрязнения. При этом содержание в почве элементов 1, 2 класса опасности не должно превышать Kmax (максимальное значение допустимого уровня содержания элемента по одному из четырех показателей вредности). При Zс > 128 загрязнение почв является чрезвычайно опасным и содержание в почве элементов 1, 2 классов опасности при этом больше Kmax.
Допустимые уровни содержания элементов по показателям вредности приведены в МУ 2.1.7.730-99 (МУ 2.1.7.730-99, 1999). Максимальный уровень показателей вредности для Sb составлял 50 мг/ кг (общесанитарный К4); для As – 15 мг/ кг (миграционно-водный К2); для Pb – 260 мг/кг (миграционно-водный К2); для остальных элементов лимитирующие показатели вредности не разработаны.
Оценка подвижности потенциально токсичных элементов. Для прогнозной оценки степени подвижности токсичных элементов в почвогрунтах при воздействии сезонных потоков (дождевых и снеготалых вод) (Hageman et al., 2015; Dold, 2017; Radomskaya et al., 2021) были рассчитаны кислотопродуцирующие (КП) и кислотонейтрализующие (НП) потенциалы почвогрунтов (Еделев, 2009; Алексеев и др., 2011; Еделев, 2013; Paktunc, 1999). КП соответствует величине, которая равна максимальному количеству кислоты, получающейся в результате окисления сульфидов, реакции 1–2 (Sobek et al., 1978). Величину КП определяли по содержанию серы в сульфидах. Единицей измерения КП является количество СаСО3 (в кг/т), необходимое для нейтрализации кислоты по формуле (Еделев, 2013):
(8)
где 10 – коэффициент пересчета кг/т в мас. %; η(Sсульфид) – содержание сульфидной серы в веществе, мас. %; M(CaCO3) и M(S) – молярные массы CaCO3 (100 г/моль) и S (32 г/моль). Показатель КП часто применяется при экспериментах и исследованиях (Skousen et al., 2002; Гаськова, Бортникова, 2007; Еделев, 2013).
НП используют как оценку способности материала нейтрализовать кислые стоки (Sobek et al., 1978; Skousen et al., 2002) и рассчитывают по уравнению (9):
H+ + МеCO3(тв.) = Ме2+ + HCO3– ; где Ме =
= Ca2+, Mg2+ (9)
Основные минералы, нейтрализующие кислоту, – карбонаты, среди которых наиболее эффективным, способным результативно нейтрализовать кислые воды, является кальцит (Соломин, Крайнов, 1994). Потенциал нейтрализации НП (кг СаСО3/т) рассчитывали с использованием общего неорганического углерода: НП (кг CaCO3/т) = = 83.33 × Cнеорг., % (Plante et al., 2012). Интерпретацию полученных данных проводили по соотношению потенциалов (нейтрализации и кислотопродуцирующего).
Статистический анализ. Обработку данных осуществляли с использованием программы Statistica 10. Количество элементов для статистических вычислений было сокращено до меньшего числа, до 42, за счет удаления элементов, для которых 50 % значений и больше было ниже предела обнаружения. Редкоземельные элементы от La до Lu представлены в виде их суммы (ΣРЗЭ). Если содержание элемента было ниже предела обнаружения, применяли значение, равное половине предела обнаружения (Головин и др., 2002). Вычисляли медианное, среднеарифметическое и среднегеометрическое содержания, стандартное отклонение, коэффициенты эксцесса, асимметрии и вариации; проводили кластерный анализ, строили диаграммы размаха и квантиль–квантильные (Q–Q) графики. Графические построения картосхем выполняли в программе Surfer и CorelDRAW.
РЕЗУЛЬТАТЫ И ОБСУЖДЕНИЕ
Элементный и минеральный состав горных пород золоторудного месторождения Пионер. Данные по содержанию элементов в породах и рудах месторождения, а также в верхней континентальной коре приведены в табл. 1. Анализ полученных результатов показывает, что рудоносные породы незначительно обогащены Li, Cu, Zn, Mo, Cd, Cs, W, Tl, Pb, Rb, Bi, а средние валовые содержания превышают кларковые в 1.5–6 раз. Наблюдается существенное обогащение пород Sb, As и S (по медиане в 88, 16.5 и 16.1 раз соответственно); минимально–максимальные содержания Sb в породах месторождения варьируют от 3.20 мг/кг до 50461 мг/кг, As – от 7.30 мг/кг до 22436 мг/кг.
Таблица 1. Элементный состав рудоносных пород месторождения Пионер (с Na2O по Fe2O3 – в %, остальные элементы – в мг/кг, n = 92)
Компонент | m | Хгеом | Xmed | Min | Max | S | Кларк (Rudnick, Gao, 2014) | m/кларк | Xmed/кларк | |||||||||
Na2O | 1. | 56 | 0. | 72 | 1.40 | 0. | 020 | 4. | 30 | 1. | 33 | 3. | 27 | 0. | 5 | 0. | 4 | |
MgO | 1. | 62 | 1. | 02 | 1.25 | 0. | 053 | 5. | 90 | 1. | 38 | 2. | 48 | 0. | 7 | 0. | 5 | |
Al2O3 | 11. | 6 | 10. | 3 | 12.6 | 1. | 30 | 18. | 9 | 4. | 37 | 15. | 4 | 0. | 8 | 0. | 8 | |
P2O5 | 0. | 11 | 0. | 08 | 0.11 | 0. | 0040 | 0. | 32 | 0. | 07 | 0. | 15 | 0. | 7 | 0. | 7 | |
S | 1. | 13 | 0. | 47 | 1.00 | 0. | 0015 | 7. | 20 | 1. | 05 | 0. | 062 | 18. | 3 | 16. | 1 | |
K2O | 3. | 79 | 3. | 32 | 3.90 | 0. | 27 | 8. | 70 | 1. | 53 | 2. | 8 | 1. | 4 | 1. | 4 | |
CaO | 1. | 56 | 0. | 49 | 0.36 | 0. | 036 | 20. | 20 | 2. | 93 | 3. | 59 | 0. | 4 | 0. | 1 | |
TiO2 | 0. | 39 | 0. | 31 | 0.39 | 0. | 010 | 0. | 77 | 0. | 21 | 0. | 64 | 0. | 6 | 0. | 6 | |
MnO | 0. | 066 | 0. | 040 | 0.05 | 0. | 0010 | 0. | 28 | 0. | 062 | 0. | 1 | 0. | 7 | 0. | 5 | |
Fe2O3 | 3. | 63 | 3. | 07 | 3. | 40 | 0. | 24 | 13. | 4 | 1. | 97 | 5. | 6 | 0. | 6 | 0. | 6 |
Li | 63. | 7 | 54. | 1 | 54. | 8 | 11. | 4 | 177 | 37. | 5 | 21 | 3. | 0 | 2. | 6 | ||
Be | 2. | 24 | 2. | 02 | 2. | 15 | 0. | 58 | 11. | 8 | 1. | 26 | 2. | 1 | 1. | 1 | 1 | |
Sc | 7. | 79 | 6. | 12 | 6. | 60 | 0. | 23 | 20. | 3 | 4. | 80 | 14 | 0. | 6 | 0. | 5 | |
V | 66. | 0 | 54. | 6 | 58. | 5 | 6. | 00 | 152 | 36. | 4 | 97 | 0. | 7 | 0. | 6 | ||
Cr | 83. | 5 | 59. | 5 | 53. | 2 | 10. | 2 | 309 | 72. | 5 | 92 | 0. | 9 | 0. | 6 | ||
Co | 13. | 6 | 7. | 75 | 9. | 15 | 0. | 40 | 331 | 34. | 1 | 17. | 3 | 0. | 8 | 0. | 5 | |
Ni | 26. | 4 | 20. | 4 | 23. | 0 | 2. | 80 | 151 | 22. | 4 | 47 | 0. | 6 | 0. | 5 | ||
Cu | 86. | 1 | 33. | 5 | 31. | 4 | 3. | 20 | 2040 | 261 | 28 | 3. | 1 | 1. | 1 | |||
Zn | 184. | 3 | 90. | 2 | 85. | 5 | 9. | 50 | 3481 | 446 | 87 | 2. | 1 | 1 | ||||
Ga | 15. | 0 | 13. | 3 | 16. | 3 | 1. | 50 | 28. | 3 | 5. | 96 | 17. | 5 | 0. | 9 | 0. | 9 |
As | 469 | 89. | 4 | 79. | 1 | 7. | 30 | 22436 | 2396 | 4. | 8 | 97. | 6 | 16. | 5 | |||
Rb | 164 | 141 | 165 | 12. | 7 | 330 | 75. | 2 | 84 | 2. | 0 | 2 | ||||||
Sr | 183 | 127 | 164 | 6. | 50 | 497 | 132 | 320 | 0. | 6 | 0. | 5 | ||||||
Y | 12. | 0 | 8. | 96 | 10. | 7 | 0. | 90 | 40. | 40 | 8. | 27 | 21 | 0. | 6 | 0. | 5 | |
Zr | 57. | 1 | 40. | 8 | 52. | 6 | 1. | 10 | 162 | 38. | 2 | 193 | 0. | 3 | 0. | 3 | ||
Nb | 6. | 27 | 4. | 78 | 5. | 60 | 0. | 12 | 17. | 9 | 3. | 90 | 12 | 0. | 5 | 0. | 5 | |
Mo | 3. | 21 | 1. | 77 | 1. | 75 | 0. | 24 | 38. | 4 | 5. | 45 | 1. | 1 | 2. | 9 | 1. | 6 |
Cd | 0. | 71 | 0. | 19 | 0. | 16 | 0. | 03 | 14. | 30 | 2. | 06 | 0. | 09 | 7. | 9 | 1. | 8 |
Sn | 2. | 91 | 2. | 25 | 2. | 35 | 0. | 23 | 28. | 20 | 3. | 09 | 2. | 1 | 1. | 4 | 1. | 1 |
Sb | 764 | 46. | 0 | 35. | 3 | 3. | 20 | 50461 | 5272 | 0. | 4 | 1911 | 88. | 3 | ||||
Те | 4. | 29 | 0. | 83 | 0. | 64 | 0. | 035 | 98. | 3 | 11. | 8 | – | – | – | |||
Cs | 9. | 06 | 7. | 39 | 7. | 20 | 2. | 10 | 28. | 20 | 5. | 85 | 4. | 9 | 1.8 | 1.5 | ||
Ba | 464 | 389 | 488 | 22. | 7 | 883 | 208 | 624 | 0.7 | 0.8 | ||||||||
ΣРЗЭ | 104 | 83. | 4 | 97. | 9 | 11. | 4 | 361 | 64. | 3 | 148. | 14 | 0.7 | 0.7 | ||||
Hf | 1. | 80 | 1. | 35 | 1. | 70 | 0. | 045 | 4. | 30 | 1. | 09 | 5. | 3 | 0.3 | 0.3 | ||
Ta | 0. | 49 | 0. | 36 | 0. | 45 | 0. | 0050 | 1. | 71 | 0. | 33 | 0. | 9 | 0.5 | 0.5 | ||
W | 3. | 84 | 2. | 98 | 3. | 20 | 0. | 45 | 16. | 5 | 3. | 10 | 1. | 9 | 2.0 | 1.7 | ||
Tl | 2. | 32 | 1. | 90 | 2. | 10 | 0. | 18 | 10. | 1 | 1. | 49 | 0. | 9 | 2.6 | 2.3 | ||
Pb | 88. | 0 | 46. | 1 | 41. | 9 | 4. | 20 | 1115 | 155 | 17 | 5.2 | 2.5 | |||||
Bi | 0. | 68 | 0. | 41 | 0. | 46 | 0. | 027 | 5. | 80 | 0. | 80 | 0. | 16 | 4.3 | 2.8 | ||
Th | 7. | 32 | 5. | 75 | 6. | 50 | 0. | 20 | 20. | 8 | 4. | 37 | 10. | 5 | 0.7 | 0.6 | ||
U | 2. | 19 | 1. | 80 | 2. | 15 | 0. | 14 | 6. | 00 | 1. | 20 | 2. | 7 | 0.8 | 0.8 | ||
Примечания. Прочерк “–” – нет данных; n – количество проб; m – среднее; Хгеом – среднее геометрическое; Xmed – медиана; Min – минимум; Max – максимум; S – стандартное отклонение.
Сурьма входит в состав сульфосолей свинца, блеклых руд, антимонита, мышьяк – в состав арсенопирита. Минералогический анализ показал (табл. 2), что основными жильными минералами руд являются кварц, полевые шпаты и карбонаты, а рудными – самородное золото, антимонит, арсенопирит, сфалерит, пирит, магнетит, молибденит, а такие минералы, как лейкоксен, гранат, эпидот, ильменит, гематит, мартит, лимонит, оксиды и гидроксиды Fe, сфен, циркон и апатит, встречаются в единичных зернах. Количество сульфидов относительно небольшое: пирит иногда покрыт пленками гидроксидов железа. Полевой шпат и кварц достаточно часто встречаются с включениями магнетита, пирита и частично карбонатизированы. Обломки пород представлены сростками кварца, биотита, серицита, полевого шпата, амфибола и кальцита в разных соотношениях.
Таблица 2. Минеральный состав пород и руд месторождения Пионер
Минерал | Проба, состав, % | ||||||||
П-1 | П-2 | П-3 | П-4 | П-5 | П-6 | П-7 | П-8 | П-9 | |
Амфибол | ед.зн | ед.зн | ед.зн | 4.1 | ед.зн | ед.зн | зн | ‒ | ‒ |
Магнетит | ‒ | ‒ | ед.зн | 0.1 | ед.зн | ‒ | ед.зн | ‒ | ‒ |
Пирит | 1 | 4.1 | ‒ | зн | 0.4 | 3 | 0.5 | 1.2 | 1.3 |
Арсенопирит | ‒ | ‒ | 13.2 | ‒ | ‒ | ‒ | ‒ | ‒ | ‒ |
Сидерит | ‒ | ‒ | 0.1 | ‒ | ‒ | ‒ | ‒ | ‒ | ‒ |
Антимонит | ‒ | ‒ | 9.6 | ‒ | ‒ | ‒ | ‒ | ‒ | ‒ |
Сфалерит | ‒ | ‒ | 1.6 | ‒ | ‒ | ‒ | ‒ | ‒ | ‒ |
Кварц | 97.3 | 5 | 75.2 | ед.зн | 65.5 | 2 | 33.5 | 4 | 82.6 |
Полевой шпат | 0.16 | 78.5 | ‒ | 31.8 | 17 | 11.7 | 2.8 | 52.5 | 16.1 |
Кальцит | 1.5 | 9.7 | ‒ | зн | 17 | 28.7 | зн | 42.2 | ‒ |
Слюда | ‒ | 2.6 | ‒ | 0.8 | ед.зн | ед.зн | зн | зн | ‒ |
Серицит | ‒ | зн | ‒ | 1.2 | зн | ‒ | зн | зн | ‒ |
Обломки пород | ‒ | ‒ | ‒ | 63.2 | ‒ | 54.5 | 63 | ‒ | ‒ |
Скрап Fe | зн | зн | 0.3 | зн | зн | зн | ‒ | ед.зн | ‒ |
Циркон | ‒ | зн | ед.зн | ед.зн | ед.зн | ‒ | зн | ед.зн | ед.зн |
Au самородное | ‒ | 1 зн | ‒ | ‒ | 7 зн | 1 зн | 5 зн | ‒ | ‒ |
Примечания. Прочерк “–” – не обнаружено; ед.зн ‒ содержание зерен минерала в количестве до 10 знаков; зн ‒ содержание зерен минерала в количестве от 11 до 100 знаков.
Разработка месторождений вызывает изменения в составе почвы как в результате разрушительных процессов, так и от поступления дополнительных элементов. Это может быть связано с выветриванием минералов горных пород, а также с загрязнением от отходов горного производства. Вследствие этого, на основании данных по элементному составу рудоносных пород месторождения Пионер были выявлены 14 элементов (S, As, Sb, Mo, W, Cd, Pb, Bi, Li, Cu, Zn, Cs, Tl, Rb), уровень загрязнения почв которыми необходимо контролировать, так как существует вероятность антропогенного привноса данных элементов в почвенный покров в результате производственной деятельности.
Элементный состав почв и грунтов территории месторождения. Почвенно-грунтовый покров территории месторождения представлен преимущественно супесчано-суглинистым механическим составом. Содержание физического песка (фракция > 0.01 мм) в техногенных грунтах варьирует в пределах 89–91 %; в образцах почв – 77–89 %. Медианное значение рН солевой вытяжки почв и грунтов составило 4.33 (сильнокислые), изменяясь от сильнокислого (2.54) до щелочного (8.42); при этом часть проб техногенных грунтов (5, 6а, 9, 13, 16) имели солевой рН больше 5.5.
Химический состав исследованных почв и техногенных грунтов представлен в табл. 3. Средний состав исследованных образцов почв и грунтов в сравнении с верхней континентальной корой характеризуется относительным дефицитом многих элементов – Na, Мg, Al, P, Ca, Ti, Fe, Sc, V, Cr, Co, Ni, Zn, Ga, Sr, Y, Zr, Nb, лантаноидов, Hf, Ta, Th, U; наблюдались повышенные уровни концентраций К, Mn, Li, Cu, As, Mo, Sb, Cs, W, Pb, Bi, Cd, Rb, Ba, Tl, для которых превышение кларка составляло от 1.1 до 60 раз.
Таблица 3. Статистические характеристики и фактор обогащения химического состава почвенно-грунтового покрова территории золоторудного месторождения Пионер (с Na2O по Fe2O3 – в %, остальные элементы – в мг/кг; n = 32)
Компонент | m | Хгеом | Xmed | Min | Max | S | V | A | E | Кларк* | EF по Xmed | EF по m | ||||||||||||
Na2O | 1. | 61 | 1. | 28 | 1. | 60 | 0. | 16 | 3. | 10 | 0. | 87 | 54 | 0. | 08 | ‒0. | 92 | 3. | 27 | 0. | 5 | 0. | 5 | |
MgO | 1. | 02 | 0. | 89 | 0. | 89 | 0. | 37 | 2. | 94 | 0. | 63 | 62 | 1. | 97 | 3. | 40 | 2. | 48 | 0. | 4 | 0. | 4 | |
Al2O3 | 14. | 4 | 14. | 3 | 14. | 6 | 9. | 28 | 17. | 60 | 1. | 94 | 13 | ‒0. | 45 | ‒0. | 01 | 15. | 4 | 1. | 0 | 1. | 0 | |
P2O5 | 0. | 13 | 0. | 10 | 0. | 10 | 0. | 02 | 0. | 29 | 0. | 07 | 57 | 0. | 59 | ‒0. | 55 | 0. | 15 | 0. | 7 | 0. | 9 | |
S | 0. | 42 | 0. | 06 | 0. | 04 | 0. | 00 | 4. | 70 | 0. | 98 | 236 | 3. | 78 | 15. | 93 | 0. | 062 | 0. | 6 | 7. | 2 | |
K2O | 3. | 29 | 3. | 10 | 3. | 15 | 1. | 30 | 5. | 80 | 1. | 11 | 34 | 0. | 29 | ‒0. | 51 | 2. | 8 | 1. | 2 | 1. | 3 | |
CaO | 0. | 90 | 0. | 62 | 0. | 51 | 0. | 09 | 3. | 24 | 0. | 81 | 90 | 1. | 46 | 1. | 53 | 3. | 59 | 0. | 1 | 0. | 3 | |
TiO2 | 0. | 52 | 0. | 49 | 0. | 54 | 0. | 14 | 0. | 83 | 0. | 13 | 26 | ‒0. | 80 | 1. | 98 | 0. | 64 | 0. | 9 | 0. | 9 | |
MnO | 0. | 20 | 0. | 08 | 0. | 06 | 0. | 01 | 2. | 03 | 0. | 38 | 194 | 3. | 95 | 17. | 92 | 0. | 1 | 0. | 7 | 2. | 1 | |
Fe2O3 | 4. | 26 | 4. | 00 | 4. | 60 | 1. | 50 | 7. | 70 | 1. | 41 | 33 | ‒0. | 13 | 0. | 04 | 5. | 6 | 0. | 8 | 0. | 7 | |
Li | 34. | 0 | 30. | 5 | 30. | 7 | 11. | 3 | 69. | 5 | 16. | 2 | 48 | 0. | 81 | 0. | 07 | 21 | 1. | 5 | 1. | 7 | ||
Be | 2. | 05 | 1. | 99 | 1. | 90 | 1. | 30 | 3. | 10 | 0. | 51 | 25 | 0. | 52 | ‒0. | 27 | 2. | 1 | 1. | 0 | 1. | 0 | |
Sc | 8. | 02 | 7. | 57 | 8. | 20 | 2. | 90 | 12. | 10 | 2. | 45 | 31 | ‒0. | 49 | ‒0. | 17 | 14 | 0. | 6 | 0. | 6 | ||
V | 76. | 4 | 72. | 5 | 83. | 4 | 27. | 9 | 107 | 21. | 7 | 28 | ‒0. | 89 | 0. | 04 | 97 | 0. | 9 | 0. | 8 | |||
Cr | 85. | 0 | 71. | 4 | 70. | 6 | 19. | 7 | 233 | 51. | 2 | 60 | 1. | 08 | 0. | 80 | 92 | 0. | 8 | 1. | 0 | |||
Co | 14. | 8 | 10. | 9 | 10. | 9 | 1. | 20 | 101 | 17. | 4 | 118 | 4. | 29 | 20. | 69 | 17. | 3 | 0. | 7 | 0. | 9 | ||
Ni | 26. | 1 | 23. | 2 | 24. | 1 | 8. | 10 | 60. | 9 | 12. | 6 | 49 | 0. | 99 | 1. | 03 | 47 | 0. | 5 | 0. | 6 | ||
Cu | 46. | 5 | 34. | 8 | 35. | 8 | 8. | 20 | 231 | 43. | 1 | 93 | 2. | 83 | 10. | 38 | 28 | 1. | 3 | 1. | 8 | |||
Zn | 75. | 7 | 68. | 0 | 67. | 1 | 23. | 3 | 182 | 35. | 8 | 47 | 1. | 01 | 1. | 09 | 87 | 0. | 8 | 0. | 9 | |||
Ga | 14. | 9 | 14. | 7 | 14. | 7 | 10. | 0 | 19. | 3 | 2. | 45 | 16 | ‒0. | 16 | ‒0. | 50 | 17. | 5 | 0. | 9 | 0. | 9 | |
As | 121 | 68. | 7 | 66. | 2 | 9. | 10 | 437 | 124 | 103 | 1. | 23 | 0. | 41 | 4. | 8 | 14. | 5 | 26. | 9 | ||||
Rb | 129 | 123 | 122 | 58. | 2 | 218 | 41. | 4 | 32 | 0. | 58 | ‒0. | 36 | 84 | 1. | 5 | 1. | 6 | ||||||
Sr | 229 | 208 | 218 | 72. | 8 | 456 | 103 | 45 | 0. | 81 | ‒0. | 03 | 320 | 0. | 7 | 0. | 8 | |||||||
Y | 15. | 9 | 14. | 3 | 15. | 4 | 4. | 90 | 36. | 1 | 7. | 47 | 47 | 1. | 04 | 1. | 34 | 21 | 0. | 8 | 0. | 8 | ||
Zr | 89. | 6 | 75. | 0 | 72. | 0 | 21. | 2 | 244 | 59. | 2 | 66 | 1. | 63 | 2. | 13 | 193 | 0. | 4 | 0. | 5 | |||
Nb | 8. | 31 | 7. | 74 | 8. | 10 | 2. | 20 | 16. | 5 | 3. | 07 | 37 | 0. | 69 | 0. | 95 | 12 | 0. | 7 | 0. | 7 | ||
Mo | 7. | 20 | 3. | 85 | 4. | 10 | 0. | 47 | 37. | 5 | 8. | 46 | 118 | 2. | 21 | 6. | 05 | 1. | 1 | 3. | 9 | 7. | 0 | |
Cd | 0. | 18 | 0. | 10 | 0. | 08 | 0. | 03 | 0. | 61 | 0. | 20 | 110 | 1. | 12 | ‒0. | 25 | 0. | 09 | 0. | 9 | 2. | 2 | |
Sn | 2. | 27 | 2. | 13 | 2. | 30 | 0. | 72 | 4. | 20 | 0. | 74 | 33 | 0. | 09 | 1. | 39 | 2. | 1 | 1. | 2 | 1. | 2 | |
Sb | 23. | 9 | 10. | 9 | 11. | 0 | 1. | 20 | 111 | 29. | 3 | 123 | 1. | 61 | 1. | 99 | 0. | 4 | 29. | 0 | 64. | 0 | ||
Te | 0. | 56 | 0. | 28 | 0. | 46 | 0. | 04 | 1. | 80 | 0. | 54 | 1. | 00 | ‒0. | 08 | 96 | – | – | – | ||||
Cs | 8. | 15 | 6. | 74 | 7. | 30 | 1. | 40 | 39. | 6 | 7. | 00 | 86 | 4. | 02 | 18. | 55 | 4. | 9 | 1. | 6 | 1. | 8 | |
Ba | 743 | 709 | 675 | 424 | 1464 | 255 | 34 | 1. | 52 | 2. | 10 | 624 | 1. | 1 | 1. | 3 | ||||||||
ΣРЗЭ | 118 | 113 | 128 | 44. | 8 | 164 | 31. | 3 | 26 | ‒0. | 60 | ‒0. | 38 | 148. | 14 | 0. | 9 | 0. | 9 | |||||
Hf | 2. | 08 | 1. | 97 | 2. | 10 | 0. | 73 | 3. | 80 | 0. | 64 | 31 | 0. | 06 | 1. | 76 | 5. | 3 | 0. | 4 | 0. | 4 | |
Ta | 0. | 61 | 0. | 58 | 0. | 60 | 0. | 23 | 1. | 10 | 0. | 19 | 32 | 0. | 28 | 0. | 78 | 0. | 9 | 0. | 7 | 0. | 7 | |
W | 6. | 51 | 4. | 34 | 4. | 70 | 0. | 62 | 38. | 3 | 7. | 64 | 117 | 3. | 28 | 12. | 87 | 1. | 9 | 2. | 6 | 3. | 7 | |
Tl | 1. | 61 | 1. | 32 | 1. | 30 | 0. | 34 | 3. | 30 | 0. | 96 | 60 | 0. | 47 | ‒1. | 33 | 0. | 9 | 1. | 5 | 1. | 9 | |
Pb | 43. | 7 | 37. | 0 | 39. | 8 | 12. | 9 | 149 | 28. | 2 | 64 | 1. | 93 | 5. | 22 | 17 | 2. | 5 | 2. | 7 | |||
Bi | 0. | 99 | 0. | 65 | 0. | 66 | 0. | 07 | 6. | 60 | 1. | 26 | 127 | 3. | 91 | 17. | 45 | 0. | 16 | 4. | 3 | 6. | 6 | |
Th | 8. | 68 | 8. | 23 | 9. | 60 | 2. | 70 | 12. | 0 | 2. | 43 | 28 | ‒0. | 97 | 0. | 47 | 10. | 5 | 1. | 0 | 0. | 9 | |
U | 2. | 20 | 2. | 07 | 2. | 30 | 0. | 68 | 3. | 30 | 0. | 66 | 30 | ‒0. | 79 | 0. | 48 | 2. | 7 | 0. | 9 | 0. | 9 | |
Примечания. Прочерк “–” – нет данных; Min – минимум; Max – максимум; m – среднее арифметическое; Хгеом – среднее геометрическое; Xmed – медиана; S – стандартное отклонение; A – коэффициент асимметрии; E – коэффициент эксцесса; V – коэффициент вариации; * – по Rudnick, Gao, 2014.
Химический состав почв и техногенных грунтов не имеет больших вариаций в содержаниях большинства элементов. Существенная пространственная неоднородность выборок характерна для S (236 %), Мn (194 %), Co (118 %), As (103 %), Mo (118 %), Cd (110 %), Sb (123 %), W (117 %), Bi (123 %). Показатели отношения максимальной концентрации к минимальной для S, Мn, Cо, As, Mo, Cd, Sb, W, Bi составляют 1424, 203, 84, 48, 80, 20, 92, 62, 94 соответственно. Для большинства элементов, за исключением Al, Ti, Fe, Sc, V, Ga, Th, U и ΣРЗЭ, выявлена положительная асимметрия распределения, которая свидетельствует, что для этих элементов имеются некоторые повышенные значения либо из-за естественного природного обогащения, либо из-за деятельности человека
Анализ распределения элементов (рис. 3) показал отклонение значений медианы в парах и триадах порядковых номеров в таблице Д.И. Менделеева (3–4), (23–24), (40–41–42), (50–51–52) от правила Оддо-Гаркинса, которое гласит, что “распространенность химических элементов с четными порядковыми номерами всегда более высокая, чем распространенность соседних химических элементов с нечетными порядковыми номерами” (Никаноров, 2009). Не подчиняется данному правилу распределение лития, ванадия, молибдена и сурьмы. Несоответствие соотношений этих химических элементов правилу может быть вызвано двумя основными причинами. Во-первых, с особым природным аномальным геохимическим полем элементов-индикаторов типа оруденения; во-вторых, с наложенным влиянием антропогенного фактора (горнопромышленного комплекса), усиливающим искажения естественных процессов формирования химического состава почв и грунтов в границах отрабатываемого золоторудного месторождения Пионер.
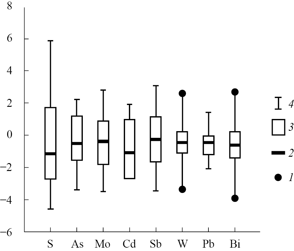
Рис. 3. Диаграмма размаха валового содержания элементов (мг/кг) в почвах и грунтах на территории горнопромышленного комплекса золоторудного месторождения Пионер (1 – выбросы, 2 – медиана, 3 – 25–75 % процентили, 4 – минимум–максимум).
Взаимосвязи между элементами были проанализированы с помощью кластерного анализа. Кластерное дерево построено по правилу объединения – методу Варда и мере близости – 1-r Пирсона (рис. 4).
Рис. 4. Дендрограмма корреляционной матрицы геохимического спектра микроэлементов в почвах и техногенных грунтах на территории горнопромышленного комплекса отрабатываемого месторождения Пионер (пунктирная прямая критического уровня 1-r0.05 = 0.65; n = 32).
Дендрограмма с геохимическим спектром элементов включает два крупных составных кластера. Кластер 1 {Ba–Sr; Bi–As–W–Сr; Te–Sb–Tl–Rb; Pb–Cd–Mo; Zn–Li}. В нем представлены значимые, положительные сильные корреляционные связи между элементами-индикаторами золотосульфидно-кварцевого оруденения.
В кластер 2 вошли ассоциации элементов {Ta–Nb–Hf–Zr; Cs–U–Th–Sn–РЗЭ–Y; Cu–V–Ga–Sc; Co–Ni–Be}. Значимая cильная корреляционная связь между ними связана, по-видимому, с влиянием геологического фактора “петрофонда” и акцессорной минерализацией магматических комплексов в пределах месторождения. Сильные связи между Th, U, Sn предполагают их высокое содержание в глинистых минералах, между Zr и Hf – присутствие минерала циркона, что подтверждается данными минералогического анализа; РЗЭ и Y связаны с глинистыми минералами и цирконом.
Определение антропогенно привнесенных элементов. Для выявления имеющих антропогенное происхождение элементов были вычислены их коэффициенты обогащения. Согласно рассчитанным по медиане коэффициентам обогащения, почвенно-грунтовый покров исследуемой территории характеризуется умеренным обогащением Mо, Bi, Pb, W, значительным – As, очень высоким – Sb и фоновыми концентрациями остальных элементов (табл. 3).
Таким образом, на территории месторождения Пионер представляющими интерес с точки зрения экологии элементами являются Mo, Bi, Sb, As, Pb и W. К ним можно отнести S и Cd, которые имеют EF равные 7.3 и 2.2 соответственно, рассчитанные по среднему. Высокое содержание As и S обусловлено наличием арсенопирита (FeAsS) и пирита (FeS2) в руде. Проявления Bi пространственно приурочены к выходам верхнеамурских гранитоидов и могут быть генетически с ними связаны. Mo и Sb присутствуют как в низкотемпературных метасоматитах, так и в метасоматитах, тяготеющих к медно-порфировому типу оруденения (Ляпунов, 2014). Эти элементы имеют широкий диапазон концентраций в точках отбора образцов на территории месторождения. Содержания Mo, Bi, Sb, As, W и Pb варьировались от 0.47 до 37.5, от 0.07 до 6.6, от 1.2 до 111, от 12.9 до 149, от 0.62 до 38.3 и от 9.1 до 437 мг/кг соответственно при средних концентрациях 7.44, 1.02, 24.9, 135, 6.7 и 47.4 мг/кг. Содержание S достигало 4.7 % при среднем – 0.43 % (табл. 3). Средние значения валового содержания выделенных элементов в исследованных почвах убывают в следующем порядке: S > As > Pb > Sb > >Mo > W > Bi > Cd. Медианные концентрации этих элементов меньше их средних значений (табл. 3), а значения асимметрии больше единицы.
Геохимический фон As, Sb, Mo, Bi, W, S, Pb, Cd на антропогенно преобразованной территории. Элементы в почву могут поступать как из подстилающих пород, так и из антропогенных источников. При открытом способе добычи руды на природный фон элементов в почвах наслаивается техногенная компонента, вызванная атмосферным переносом тонкодисперсной породы от буровзрывных работ, ветровой эрозией с поверхности отвалов, хвостохранилища и бортов карьеров (Радомская и др., 2016а). Показатель геохимического фона позволяет разграничить геогенное и антропогенное обогащение химическими элементами изучаемых почв и грунтов и выделить соотношение природного и антропогенного загрязнения.
Определение локального геохимического фона территории является одной из главных задач при изучении воздействия горнодобывающих предприятий на окружающую среду и, в частности, на параметры почвенного покрова. Определить геохимический фон можно прямым определением показателей на аналогичной по свойствам территории, не имеющей антропогенного загрязнения, либо статистическим методом. При определении фоновых содержаний выбранных элементов статистическим методом применяли квантиль–квантильные графики. На рис. 5 представлены Q–Q–графики для концентраций As, Sb, Mo, Bi.
Рис. 5. Графики квантиль–квантиль для исходных концентраций (мг/кг) As (а), Sb (б), Mo (в), Bi (г) в почвах и грунтах на территории отрабатываемого золоторудного месторождения Пионер.
Наблюдаемые значения были нанесены по оси x, а значения, ожидаемые для нормального распределения, откладывали по оси y. Согласно полученным графикам (рис. 5) исходные данные не соответствовали нормальному распределению, что вызвало необходимость соответствующего преобразования данных для последующего статистического анализа. Значения концентраций 8 элементов были прологарифмированы по основанию 10. Это преобразование для Sb, W, S, Pb и Cd привело к распределению с более низкими значениями асимметрии, которые составили 0.077, 0.21, 0.62, 0.25 и 0.28 соответственно, и изменению значений асимметрии для As, Bi и Мо с положительных значений на отрицательные (–0.016, –0.87 и –0.057 соответственно) (табл. 4).
Таблица 4. Статистические параметры логарифмически преобразованных содержаний Sb, As, Bi, Мо, W, S, Pb и Cd для исследованных почв и грунтов территории месторождения Пионер
Элемент | m | Хгеом | Xmed | А | Е |
As, мг/кг | 1.84 | 1.77 | 1.82 | –0.016 | –1.05 |
Sb, мг/кг | 0.96 | 0.75 | 1.02 | 0.077 | –1.09 |
S, мг/кг | 2.80 | 2.68 | 2.56 | 0.62 | –0.62 |
Pb, мг/кг | 1.57 | 1.55 | 1.60 | 0.25 | –0.31 |
Bi, мкг/кг | 2.77 | 2.75 | 2.81 | –0.87 | 0.81 |
Mo, мкг/кг | 3.54 | 3.51 | 3.52 | –0.058 | –1.28 |
Cd, мкг/кг | 1.98 | 1.92 | 1.89 | 0.28 | –1.43 |
W, мкг/кг | 3.64 | 3.62 | 3.67 | 0.21 | 0.60 |
Примечания. m – среднее арифметическое; Хгеом – среднее геометрическое; Xmed – медиана; А – коэффициент асимметрии; Е – коэффициент эксцесса.
Распределение логарифмически преобразованных значений более близко приближается к прямой линии. Исключение выбросов в крайних точках преобразованных данных проводили до тех пор, пока точки кривой распределения не приблизились максимально близко к прямой линии (рис. 6). Выявленные таким образом выбросы отнесены к экстремальным значениям.
Рис. 6. Квантиль–квантильные графики для логарифмически преобразованных концентраций As (а), Sb (б), Mo (в), Bi (г) после исключения экстремальных (высоких и низких) значений.
В табл. 5 приведены рассчитанные показатели геохимического фона и аномальных значений по As, Sb, Bi, Mo, W, S, Pb и Cd для почвенно-грунтового покрова территории горнопромышленного комплекса АО “Покровский рудник” отрабатываемого месторождения Пионер.
Таблица 5. Минимально-максимальные, фоновые и аномальные содержания As, Sb, Bi, Mo, S, Pb, W, Cd в мг/ кг для почвенно-грунтового покрова территории горнопромышленного комплекса отрабатываемого золоторудного месторождения Пионер (в скобках – номера точек отбора проб)
Элемент | Min | Max | Фон | Диапазон фоновых значений | Аномалии | |||
−СА | +СА1 | +СА2 | +СА3 | |||||
As | 9.1 | 437 | 63 | 25–158 (1, 1а, 2, 2a, 4-6, 6a, 7б, 7г, 8, 9, 11, 13, 22б, 25, 28) | < 25 (3, 14, 19, 22а, 24, 26) | 158–398 (7а, 16 - 18, 22в, 22г/2, 23) | 398–999 (12, 22г/1) | > 999 |
Sb | 1.2 | 111 | 8.84 | 3.44–23 (1, 2, 4-6, 6а, 7а, 7б, 7г, 8, 16, 18) | < 3.44 (9, 14, 19, 24) | 23–58 (22г/1) | 58–150 (12, 13, 22в, 22г/2, 23) | > 150 |
Bi | 0.072 | 6.60 | 0.69 | 0.41–1.16 (1, 4, 5, 7а, 7б, 7г, 8, 12, 14, 16, 17) | < 0.41 (2, 9, 19, 22а, 22б, 23, 24) | 1.16–1.94 (6, 6а, 13, 18, 22г/1, 22г/2) | 1.94–3.25 | > 3.25 (22в) |
Mo | 0.47 | 375 | 3.54 | 1.07–11.7 (1, 2, 4 -6, 6а, 7г, 8, 9, 13, 14, 17, 18, 22в, 22г/1, 22г/2, 24) | < 1.07 (19, 22а, 22б, 23) | 11.7–38.5 (7а, 7б, 12, 16) | 38.5–127 | > 127 |
S | 33.0 | 47000 | 529 | 241–1165 (7б, 7г, 8, 9, 12, 18, 24) | < 241 (1, 2, 4, 17, 19, 22а, 22б, 22г/2, 23) | 1165–2562 (6) | 2562–5637 (7а, 13, 16) | > 5637 (5, 6а, 22в, 22г/1) |
Cd | <0.05 | 0.61 | 0.11 | 0.045–0.27 (1, 6, 7б, 8, 9, 13, 17, 18, 22г/2, 24) | < 0.045 (2, 4, 14, 19, 22а, 22б, 22в, 22г/1) | 0.27–0.64 (5, 6а, 7а, 7г, 12, 16, 23) | 0.64–1.57 | > 1.57 |
W | 0.62 | 38.3 | 4.19 | 2.26–7.75 (1, 2, 4, 5, 6, 6а, 7а, 7г, 13, 17, 14) | < 2.26 (9, 18, 19, 22а, 22б, 23, 24) | 7.75–14.3 (12, 16, 22г/2) | 14.3–26.5 (22в) | > 26.5 (7б) |
Pb | 12.9 | 149 | 36.5 | 20.7–64.2 (1-6, 7г, 8, 9, 11, 13, 14, 17-19, 22а, 22в, 22г/1, 22г/2, 24) | < 20.7 (22б, 25, 26, 28) | 64.2–113 (6а, 7а, 7б, 12, 16) | 113–199 (23) | > 199 |
Примечания. −СА – отрицательный минимально-аномальный уровень содержаний; +СА1 – положительный низкий диапазон аномальных содержаний; +СА2 – положительный средний диапазон аномальных содержаний; +СА3 – положительный высокий уровень аномальных содержаний.
Следует отметить, что золоторудное проявление будущего месторождения Пионер было обнаружено в 1978 г. Умлеканской партией Зейской экспедиции. В результате первоначальных геохимических исследований в почвенном покрове были выявлены ореолы золота, серебра, мышьяка, сурьмы и вольфрама, позволившие оценить перспективы месторождения (Степанов, 2020). Перед началом горных работ на территории золоторудного месторождения Пионер в пределах горного отвода было проведено опробование почвенного покрова на площади 52.7 км2 по сети 1 × 1 км (Ляпунов, 2014), которое выявило повышенные концентрации тех же элементов, что выделены нами. Усредненная концентрация As, при колебаниях его содержаний от 30 до 400 мг/кг, составила 96 мг/кг; Bi – 0.55 мг/ кг при колебаниях от 0.15 до 1.5 мг/кг; Sb – 31 мг/кг при колебаниях от 30 до 40 мг/кг; Mo – 1.7 мг/кг при широком разбросе концентраций от 0.6 до 20 мг/ кг, W – 4.0 мг/кг при варьировании от 3 до 6 мг/кг. Средняя концентрация Cd составила 0.7 мг/кг при разбросе от 0.5 до 10 мг/кг. Приведенные данные подтверждают природный источник повышенных концентраций As, Sb, Bi, Mo, W, Сd, обусловленный металлогеническими особенностями горных пород. Таким образом, для территории месторождении Пионер с горнопромышленным комплексом АО “Покровский рудник” на основании среднего геометрического и стандартного отклонения были определены фоновые значения для As, Sb, Bi, Mo, W, S, Pb и Cd, которые на момент отбора проб (2018 г.) составили 63; 8.84; 0.69; 3.54; 4.19; 529; 36.5 и 0.11 мг/кг соответственно.
Анализ полученных значений геохимического фона показал значительное превышение ПДК по As – 63 и 10 мг/кг соответственно, S – 529 и 160 мг/ кг соответственно и Sb – 8.84 и 4.5 мг/ кг соответственно. Фоновое содержание Pb (36.5 мг/кг) также превышает ПДК для песчаных и супесчаных почв, равное 32. Помимо высокого естественного геогенного содержания As в исследованных почвах и грунтах в 6 точках отбора были выявлены его аномальные содержания с максимальным превышением расчетного фона до 7 раз, что свидетельствует о дополнительном привносе элемента при золотодобыче. Аномальные значения Sb, выявленные в 5 точках отбора, свидетельствуют о вкладе антропогенной составляющей в загрязнение почв и грунтов территории горнопромышленного комплекса. Средний и высокий диапазон аномальных содержаний также был зафиксирован для S, W, Bi, Pb.
Для Mo, W и Bi ПДК в РФ не установлены, но, если руководствоваться нормативами других стран (Фомин, Фомин, 2001), значения геохимического фона по Мо (3.54 мг/кг) значительно ниже ПДК, установленных, например, для Нидерландов (40 мг/кг). Даже максимальное содержание Мо (37.5 мг/кг) в почвах и грунтах ниже примененных нами нормативов, что не влечет неблагоприятных экологических последствий.
Оценка степени загрязнения почв и грунтов. Санитарными правилами (СанПиН 1.2.3685-21) регламентируется содержание в объектах окружающей среды некоторых элементов. Согласно ГОСТ Р 70281-2022 выделяются три класса химических элементов по степени их опасности, среди которых As, Cd, Pb, Zn, Hg относятся к 1 классу опасности и являются наиболее высокотоксичными и канцерогенными для человека. Сурьма обладает сходным с мышьяком, но более слабым общетоксическим действием и относится ко 2 классу опасности. Ко 2 классу опасности относятся также Cu и Ni. К 3 классу опасности (вещества малоопасные) принадлежат V и Mn.
На рис. 7 представлены диаграммы размаха коэффициентов опасности загрязнения почв для As, Cd, Pb, Zn, Cu, Ni, S, Sb, V и Mn. Так как исследуемые почвы и грунты имеют различный рН солевой вытяжки и отличаются содержанием глинистой фракции, были применены соответствующие значения ПДК, согласно СанПиН 1.2.3685-21. Было установлено, что из нормируемых элементов только содержание V не превышало ПДК.
Рис. 7. Диаграммы размаха коэффициентов опасности загрязнения почв (а) и техногенных грунтов (б) для As, Cd, Pb, Zn, Cu, Ni, S, Ni, V и Mn на территории горнопромышленного комплекса АО “Покровский рудник” (условные обозначения на рис. 3).
Островки природного ландшафта, представленные суглинистыми почвами (точки 1, 4, 7г, 8, 14, 18, 22а, 23, 24, 25, 26, 28) характеризуются высокими содержаниями As, Sb и S, часто превышающими гигиенические нормативы. Для As коэффициент опасности загрязнения варьировал от 2 до 69, медиана 7 единиц; для Sb – от 0.3 до 15, медианное значение – 1.1, для S – от 0.6 до 6, медиана – 1.5. Вероятно, геохимические особенности подстилающих горных пород обусловили превышение ПДК по As, Sb и S; для Pb, Zn, Ni отмечено превышение ПДК в одной точке, для Mn – в 5.
По содержанию As 100 % образцов техногенных грунтов и 81 % – по содержанию Sb характеризовались превышением ПДК; Ко этих элементов достигал 219 и 25 единиц соответственно. Более половины проб имели превышение ПДК по S; Ко серы варьировался в широком интервале от 0.2 до 294 единиц. Для Ni, Cu, Zn, Pb Ко достигал 3, 7, 2.4, 2.8 единиц соответственно.
Таким образом, почвенно-грунтовый покров исследуемой территории характеризуется полиэлементным загрязнением. Согласно МУ 2.1.7.730-99 при полиэлементном загрязнении оценка степени опасности загрязнения почвы рассчитывается по наиболее токсичному элементу с максимальным содержанием в почве. Таким элементом является As – элемент 1 класса опасности. Ко мышьяка изменялся от 2 до 219 единиц, что соответствует очень сильной степени загрязнения всех проб отбора почв и грунтов. Максимально высоким содержанием As характеризовались техногенно-переработанные горные породы. К ним относятся пробы, отобранные в окрестностях карьеров Николаевский, Александра, кучи выщелачивания, хвостохранилища, водохранилища, грунты отвалов.
Для оценки полиэлементной токсикации почв в настоящее время применяют суммарный показатель загрязнения (Zс). Коэффициенты концентрации (табл. 6), используемые при расчете Zс, были рассчитаны по полученным в ходе исследования локальным фоновым концентрациям As, Sb, Mo, Bi, W, S, Pb, Cd, что позволяет учесть местные литолого-геохимические условия.
Таблица 6. Коэффициенты концентрации для почвенно-грунтового покрова территории горнопромышленного комплекса отрабатываемого золоторудного месторождения Пионер
Элемент | m | Хгеом | Xmed | Min | Max |
S | 7.9 | 1.2 | 0.7 | 0.1 | 88.8 |
As | 1.9 | 1.1 | 1.1 | 0.1 | 6.9 |
Mo | 2.0 | 1.1 | 1.2 | 0.1 | 10.6 |
Cd | 1.7 | 0.9 | 0.7 | 0.2 | 5.5 |
Sb | 2.7 | 1.2 | 1.2 | 0.1 | 12.4 |
W | 1.6 | 1.0 | 1.1 | 0.1 | 9.1 |
Pb | 1.2 | 1.0 | 1.1 | 0.4 | 4.1 |
Bi | 1.4 | 0.9 | 1.0 | 0.1 | 9.6 |
Примечания. Min – минимум; Max – максимум; m – среднее арифметическое; Хгеом – среднее геометрическое; Xmed – медиана.
Согласно градации коэффициента концентрации значение Кс < 1 означает отсутствие загрязнения, 1 < Кс < 2 – низкое загрязнение, 2 < Кс < 3 – умеренное, 3 < Кс < 5 – сильное, Кс > 5 очень сильное (Kowalska et al., 2018). Сильное и очень сильное загрязнение (Кс > 3) отмечено в 13 точках отбора образцов: около отработанного карьера Александра (точка 5) по S; вблизи действующего карьера Александра (6а) по S и As; в районе законсервированного карьера Николаевский (точки 22в, 22г/1, 22г/2) по S, As, Mo, Cd, Sb, W; в окрестности кучи выщелачивания (точки 16, 17) по S, As, Mo, Cd, Sb; вблизи хвостохранилища (точка 12) по As, Mo, Cd, Sb, W; около водохранилища (13) по S, Sb; на территории отвалов (7а, 7б) по As, Mo, Cd, W; в природных почвах (7г, 18, 23) в разных вариациях по As, Сd, Sb, Pb.
На основании рассчитанных значений суммарного показателя загрязнения Zс установлено, что техногенные грунты (точки 5, 7а, 7б, 12, 13, 16, 22г/2) и образец природной почвы (точка 23) характеризуются умеренно опасной категорией загрязнения; 3 пробы техногенных грунтов (6а, 22в, 22г/1) – карьеры Александра и Николаевский имеют опасный уровень загрязнения. Таким образом, суммарный показатель загрязнения позволяет выделить локальные участки загрязнения. Zс превышает допустимый уровень (16) под влиянием породы карьеров Александра и Николаевский, отвалов пустой породы, хвостохранилища, грунтов вблизи водохранилища и кучи выщелачивания. Почвы и грунты остальных точек отбора, согласно градации, были отнесены к чистым или имели допустимый уровень загрязнения. Максимальные значения Zс формировались в пробах, наиболее близких к карьерам, и по мере удаления от них происходит постепенное уменьшение этих значений.
Однако такая разбивка по уровню загрязнения входит в противоречие с регламентируемым содержанием элементов 1–3 класса опасности. Для почв с Zс < 16 содержание элементов 1–3 класса опасности должно быть меньше ПДК. Данное требование не выполняется ни для одной точки отбора по содержанию мышьяка, частично по содержанию серы, сурьмы, а в техногенных грунтах еще и по свинцу. Для техногенных грунтов, имеющих опасный уровень загрязнения по Zс, содержание As выше Кmax, а в пробе 22в добавляется также Sb, хотя по требованиям СанПиН 1.2.3685-21, содержание не должно превышать Кmax, что дает повод отнести локальные территории этих 3 точек к категории имеющих чрезвычайно опасное загрязнение. С другой стороны, так как показатель Zс разработан для почв населенных мест и сельскохозяйственных угодий, то не вполне корректно применять его к почвогрунтам техногенных территорий. Поэтому, на наш взгляд, этот показатель на таких территориях может быть использован только в качестве справочной информации, и градация по уровню загрязнения в этом случае является достаточно условной.
В дополнение к сказанному выше, согласно приведенной в СанПиН 1.2.3685-21 оценке степени загрязнения почв неорганическими веществами по их содержанию, все отобранные образцы природных почв и техногенных грунтов характеризуются очень сильным загрязнением. Но такая ситуация складывается в результате природной геохимической аномалии месторождения.
Оценка степени загрязнения почвенно-грунтового покрова с использованием индекса геоаккумуляции. Индекс геоаккумуляции характеризует уровень поступления элемента в объекты окружающей среды в результате естественных геологических процессов и антропогенной деятельности. Этот индекс впервые был предложен Г. Мюллером для оценки уровня загрязнения донных отложений. Для расчета индекса геоаккумуляции в качестве геохимического фона были использованы значения локального фона, определенные в данном исследовании.
Индексы геоаккумуляции для рассматриваемых элементов в образцах почв и грунтов в большинстве случаев относятся к 0 или к 1 классу (рис. 8). Величину Igeo выше 3 класса, указывающую на сильное загрязнение почв и грунтов, наблюдали для S в точках 5, 6а (карьеры Александра – недействующий и действующий), в точках 22в, 22г/1 (законсервированный карьер Николаевский): для Sb в точке 22г/2 (законсервированный карьер Николаевский); по As – вблизи хвостохранилища (12), по Мо, W – в районе отвалов вскрышных пород (7б); по Bi – в районе законсервированного карьера Николаевский (22в). Таким образом, значения Igeo свидетельствуют о том, что для части точек отбора не отмечено привноса антропогенного характера, тогда как на участках вблизи карьеров, хвостохранилища, отвалов вскрышных пород, т.е. в производственной зоне, деятельность человека способствовала локальному загрязнению почв и грунтов.
Рис. 8. Диаграммы размаха Igeo для некоторых элементов в почвах и грунтах на территории горнопромышленного комплекса АО «Покровский рудник» (условные обозначения на рис. 3).
Кислотопродуцирующий и кислотонейтрализующий потенциалы почвенно-грунтового покрова. Для определения возможных последствий воздействия дренажных стоков на природные компоненты применяют методы прогнозных оценок степени подвижности токсичных компонентов при взаимодействии атмосферных осадков с веществом отвалов, почв, техногенных грунтов. Прогноз кислотности возможных стоков строится на расчете кислотопродуцирующего и кислотонейтрализующего потенциалов веществ отвальных грунтов.
Анализ полученных результатов показывает, что большинство образцов характеризуются кислотообразующими свойствами, так как показатели кислотопродуцирующего потенциала варьировались от 0.05 до 121 кг CaCO3/т, в то время как значения кислотонейтрализующего потенциала были низкими, на уровне нуля. Только для точек (7г) и (12) значения кислотонейтрализующего потенциала были равны 0.89 и 7.97 кг CaCO3/т. Это также подтверждается значениями рН водной вытяжки почв и грунтов, которые изменялись от кислого (2.54) до щелочного (8.42). Две пробы имели щелочную реакцию, 37 % проб – нейтральную, остальные – кислую. Низкие значения рН растворов характерны для отвалов с наличием сульфидных минералов в виде пирита или арсенопирита и при отсутствии органического углерода (содержание неорганического углерода в пробах было ниже предела обнаружения). Таким образом, подвижность токсичных элементов будет минимальная только локально (в точках 7г и 12), и рассеяние элементов поверхностным стоком во время ливневых дождей будет незначительно, что нельзя сказать в отношении остальной территории, где из-за длительного окисления, эрозии и выщелачивания ТМ будут обладать повышенной мобильностью и будут загрязнять прилегающую территорию, грунтовые и поверхностные воды бассейна.
Для выделения аномальных участков в районе исследования построены картосхемы распределения As, Mo, Bi, Sb в почвах и грунтах, представленные на рис. 9.
Рис. 9. Распределение As (а), Sb (б), Bi (в), Mo (г) в почвенно-грунтовом покрове территории отработки золоторудного месторождения Пионер. Условные обозначения 1–6 представлены на рис. 2; 7 – изолинии концентраций химических элементов (мг/кг); 8 – ореолы надфоновых минимальноаномальных содержаний (Хгеом/d–Хгеом·d); 9 – ореолы среднего диапазона аномальных содержаний (Хгеом·d–Хгеом·d2); 10 – ореолы высоких аномальных содержаний (Хгеом·d2–Хгеом·d3); изолинии и ореолы изображены в относительных координатах; врезка – годовая роза ветров.
Изолинии распределения As на этих картосхемах оказались аналогичными распределению Sb. Самые высокие значении As и Sb, значительно превышающие установленные фоновые значения, были характерны для одних и тех же точек: вблизи золотоизвлекательной фабрики и хвостохранилища (технологической емкости 1) – (12), около карьера Николаевской рудной зоны (точка 22а) и в точке (23).
Литохимические аномалии As и Sb около юго-восточного карьера связаны с тем, что руды Николаевской зоны относятся к золото-сульфосольно-антимонитовой ассоциации. Первичные руды Николаевской зоны имеют самые высокие содержания мышьяка и сурьмы из всех рудных ассоциаций на месторождении Пионер. Также превышения фонового диапазона содержаний для As и Sb наблюдались рядом с участком кучного выщелачивания в точке отбора (16).
Согласно конфигурации ореолов, более высокие концентрации As и Sb проявляются с подветренной стороны от хвостохранилищ, что свидетельствует о важной роли механического переноса, миграции элементов под действием ветра (дефляции) (Дорохова и др., 2020). Повышенные концентрации Bi и Мо имеют локальное распространение: Bi – вокруг карьеров и отвалов рудных зон Бахмут, Северо-восточная и Николаевская (точки 11 и 22а) и площадки кучного выщелачивания (точка 18), Мо – в районе отвалов (точка 7) и хвостохранилища (точка 12), вероятно потому, что Mo и Bi характеризуются как малоподвижные и умеренно подвижные элементы, которые трудно высвобождаются из минералов.
ЗАКЛЮЧЕНИЕ
Оценка химического состава почвенно-грунтового покрова на территории горнопромышленного комплекса АО «Покровский рудник» в районе отрабатываемого золоторудного месторождения Пионер в Амурской области с использованием геохимического подхода и статистических методов анализа выявила существенное обогащение (в скобках коэффициент обогащения по медиане) As (14.5), Sb (29), Bi (4.3), Mo (3.9), W (2.6), Pb (2.5). Наличие высоких содержаний токсичных элементов в почвенно-грунтовом покрове исследуемой территории обусловлено не только антропогенным привносом, но и природными металлогеническими особенностями территории. Исследуемый участок размещается в области природной геохимической аномалии. Выявлено значительное обогащение рудоносных пород Sb и As по сравнению с кларком верхней континентальной коры по медиане в 88 и 16 раз соответственно.
Фоновые значения As, Sb, Bi, Mo, S, W, Pb и Cd для почвенно-грунтового покрова техногенно измененной территории золоторудного месторождения Пионер, рассчитанные методами математической статистики, составили соответственно 63; 8.84; 0.69; 3.54; 529; 4.19; 36.5 и 0.11 мг/кг.
Выявлена умеренно опасная и опасная категория суммарного показателя загрязнения почвенно-грунтового покрова ТМ на территории горноперерабатывающего предприятия АО «Покровский рудник» (месторождение Пионер) вблизи карьеров, как законсервированных, так и действующих, по-видимому, в результате взрывных работ, в районе отвалов вскрышных пород, хвостохранилища, кучи выщелачивания.
Анализ кислотопродуцирующего и кислотонейтрализующего потенциалов вещества грунтов подтвердил, что участками наибольшего потенциального риска загрязнения являются карьер Николаевской рудной зоны, участок кучного выщелачивания и хвостохранилище.
Авторы выражают благодарность научному редактору статьи и рецензентам за полезные замечания, позволившие улучшить качество публикации.
Работа выполнена по государственному заданию ИГиП ДВО РАН (тема № 122041800128-5).
Авторы заявляют об отсутствии конфликта интересов.
Авторлар туралы
V. Radomskaya
Institute of Geology & Nature Management FEB RAS
Хат алмасуға жауапты Автор.
Email: radomskaya@ascnet.ru
Ресей, Relochnyy lane, 1, Blagoveshchensk, 675000
L. Pavlova
Institute of Geology & Nature Management FEB RAS
Email: radomskaya@ascnet.ru
Ресей, Relochnyy lane, 1, Blagoveshchensk, 675000
N. Moiseenko
Institute of Geology & Nature Management FEB RAS
Email: radomskaya@ascnet.ru
Ресей, Relochnyy lane, 1, Blagoveshchensk, 675000
M. Lyapunov
Branch of Atlas Mining LLC
Email: mik.8133@gmail.com
Ресей, Lenin st., 140/1, Blagoveshchensk, 675000
D. Yusupov
Amur State University
Email: yusupovd@mail.ru
Ресей, Ignatievskoe highway, 21, Blagoveshchensk, 675000
Әдебиет тізімі
- Абатурова И.В., Петрова И.Г., Клокова Ю.В. (2022). Оценка состояния почвенного покрова на территории золото-медно-порфирового месторождения для проектирования горнопромышленного комплекса. ГИАБ. (5–1), 21–34. doi: 10.25018/0236_1493_2022_51_0_21.
- Алексеев В.А., Кочнова Л.Н., Бычкова Я.В., Кригман Л.В. (2011). Экспериментальное исследование извлечения нормируемых элементов водой из загрязненных пород. Геохимия. 49(12), 1317–1342.
- Alekseyev V.A., Kochnova L.N., Bychkova Y.V., Krigman L.V. (2011). Extraction of hazardous elements by water from contaminated rocks: an experimental study. Geochem. Int. 49(12), 1239–1262.
- Алексеев В.Н., Козырев А.В., Ряховский С.М. (2013). Флотационно-гидрометаллургическая переработка упорных золотосульфидных руд месторождений Маломыр и Пионер. Разведка и охрана недр. (11), 76–79.
- Власов Н.Г., Курник Л.П. (2013). Роль субмеридиональных геологических структур в формировании рудных узлов Приамурья. Разведка и охрана недр. (11), 7–11.
- Власов Н.Г., Дмитренко В.С., Ожогин Д.О., Орлова Н.И., Соколов С.В., Шувалова Ю.Н. (2012). Геолого-минералогические особенности руд золота месторождения Пионер (Амурская область). Золото и технологии. 3(17), 74.
- Гаськова О.Л., Бортникова С.Б. (2007). К вопросу о количественном определении нейтрализующего потенциала вмещающих пород. Геохимия. 45(4), 461–464.
- Gas’kova O.L., Bortnikova S.B. (2007). On the quantitative evaluation of the neutralizing potential of host rocks. Geochem. Int. 45(4), 409–412.
- Головин А.А., Москаленко Н.Н., Ачкасов А.И., Волочкович К.Л., Гуляева Н.Г., Гусев Г.С., Кuлиnко В.А., Крuночкuн Л.А., Морозова И.А., Трефилова Н.Я., Гuнзбург Л.Н., Бедер А.Б., Клюев О.С., Колотов Б.А. (2002). Требования к производству и результатам многоцелевого геохимического картирования масштаба 1: 200000. М.: ИМГРЭ, 92 с.
- ГОСТ 12536-2014. Межгосударственный стандарт. Грунты. Методы лабораторного определения гранулометрического (зернового) и микроагрегатного состава. 2015, 22 с.
- ГОСТ 17.4.3.01-2017. Межгосударственный стандарт. Охрана природы. Почвы. Общие требования к отбору проб. 2017, 5с.
- ГОСТ Р 70281-2022. Национальный стандарт Российской Федерации. Охрана окружающей среды. Почвы. Классификация химических веществ для контроля загрязнения. 2022, 5 с.
- Зеньков И.В., Хунг Чинь Ле, Вокин В.Н., Кирюшина Е.В., Латынцев А.А., Кондрашов П.М., Павлова П.Л., Конов В.Н., Лунев А.С., Скорнякова С.Н., Маглинец Ю.А., Раевич К.В. (2022). Исследование экологического состояния горнопромышленных ландшафтов на месторождениях руд цветных металлов в регионах Сибири и Дальнего Востока. Экология и промышленность России. 26(1), 42–47.
- Зимовец Б.А. (1966). Почвенно-геохимические процессы муссонно-мерзлотных ландшафтов. М.: Наука, 166 с.
- Дорохова Л.А., Юсупов Д.В., Рихванов Л.П. (2020). Геохимические и минералогические индикаторы ветровой дефляции на урбанизированных территориях с использованием листьев тополя. Известия Томского политехнического университета. Инжиниринг георесурсов. 331(11), 137–146.
- Еделев А.В. (2009). Использование результатов анализа твердого вещества отходов рудоперерабатывающей промышленности для прогноза химического состава дренажных вод. Химия в интересах устойчивого развития. 17(5), 487–494.
- Еделев А.В. (2013). Прогнозная оценка состава дренажных вод, взаимодействующих с сульфидсодержащим веществом. Геология и геофизика. 54(1), 144–157.
- Единый государственный реестр почвенных ресурсов России. (2019). М.: Почвенный институт им. В.В. Докучаева. https://egrpr.esoil.ru/index.htm
- Иванов Г.И. (1976). Почвообразование на юге Дальнего Востока. М.: Наука, 200 с.
- Константинов М.М. (2006). Золоторудные провинции мира. М.: Научный мир, 358 с.
- Константинов М.М. (2010). Золоторудные месторождения России. М.: Акварель, 365 с.
- Куликова М.А. (2013). Обоснование необходимости формирования защитного экрана для отсыпки отвалов при разработке месторождений. Записки Горного института. 203, 185–189.
- Ляпунов М.Ю. (2014). Закономерности распределения химических элементов в почвах золоторудного месторождения “Пионер” Амурской области. Известия Томского политехнического университета. 325(1), 57–68.
- Напрасников А.Т., Богоявленский Б.А., Буфал А.В., Кириченко В.В., Авсеев В.В., Домбровский И.А. (1983). Гидроклиматические ресурсы Амурской области. Благовещенск: Хабаровское книжное из-во, Амурское отделение, 70 с.
- Никаноров А.М. (2009). Правило Оддо-Гаркинса и распространенность химических элементов в пресноводных экосистемах. ДАН. 426(1), 110–114.
- МУ 2.1.7.730-99. Методические указания. Гигиеническая оценка качества почвы населенных мест. 1999, 26 с.
- Остапенко Н.С., Нерода О.Н. (2023). Причины и факторы формирования бонанцев в рудных телах зоны Бахмут штокверкового золоторудного месторождения Пионер (Приамурье). Тихоокеанская геология. 42(3), 52–71. doi: 10.30911/0207-4028-2023-42-3-52-71.
- Павлова Л.М. (2022). Влияние разных способов отработки золоторудных месторождений на биогеохимическую подвижность химических элементов (на примере месторождений Приамурья). Проблемы региональной экологии. (6), 14–20. doi: 10.24412/1728-323X-2022-6-14-20.
- Плюснин А.М., Гунин В.И. (2001). Природные гидрогеологические системы, формирование химического состава и реакция на техногенное воздействие (на примере Забайкалья). Улан-Удэ: Изд-во БНЦ СО РАН, 137 с.
- Природа Амурской области (1959). Под ред. Москаленко А.В. Благовещенск: Амурское книжное из-во, 311 с.
- Радомская В.И., Радомский С.М., Кулик Е.Н., Рогулина Л.И., Шумилова Л.П., Павлова Л.М. (2016). Геохимическая специфика редкоземельных элементов в поверхностных и подземных водах поля Албынского золоторудного месторождения (Амурская область). Водные ресурсы. 43(6), 648–660.
- Радомская В.И., Радомский С.М., Кулик Е.Н., Павлова Л.М. (2016). Распределение и миграция элементов-токсикантов в системе почва-растение на Албынском золоторудном месторождении (Амурская область). География и природные ресурсы. (3), 62–69.
- Радомская В.И., Радомский С.М., Павлова Л.М., Шумилова Л.П. (2019). Гидрогеохимические аспекты разработок Албынского золоторудного месторождения (Приамурье). Водные ресурсы. 46(2), 191–206.
- Радомский С.М., Радомская В.И. (2022). Свойства благородных металлов золоторудного месторождения Пионер. Науки о Земле и недропользование. 45(1), 50–59.
- СанПиН 1.2.3685-21. Гигиенические нормативы и требования к обеспечению безопасности и (или) безвредности для человека факторов среды обитания. Docs.cntd.ru [Электронный ресурс]. URL: https://docs.cntd.ru/document/573500115#6560IO (13.08.2021).
- Сера. Метод III категории. Химические методы. Инструкции № I_X, 2_X, 3_X. (1986). М., 12 с.
- Соколов С.В., Власов Н.Г., Курник Л.П., Юрченко Ю.Ю. (2016). Геохимические поиски месторождений в областях развития площадных кор выветривания и озерно-аллювиальных отложений повышенной мощности (на примере Пионер-Покровского рудного района). Разведка и охрана недр. (1), 15–21.
- Соломин Г.А., Крайнов С.Р. (1994). Кислотные составляющие природных и сточных кислых вод. Процессы нейтрализации этих вод кальцитом. Геохимия. 32(12), 1755–1775.
- Степанов В.А., Мельников А.В. (2016). Месторождения золото-сульфидно-кварцевой формации Приамурской провинции. Региональная геология и металлогения. (68), 108–116.
- Степанов В.А., Мельников А.В. (2016а). Золоторудные формации Приамурской провинции. Известия вузов. Геология и разведка. (4), 42–49.
- Степанов В.А. (2019). Перспективы Приамурья на рудное золото. Региональная геология и металлогения. (77), 98–109.
- Степанов В.А. (2019а). Упорные и труднообогатимые руды золоторудных месторождений Дальневосточного Федерального округа. Разведка и охрана недр. (2), 55–61.
- Степанов В.А. (2000). Геология золота, серебра и ртути. Часть 2. Золото и ртуть Приамурской провинции. Владивосток: Дальнаука, 161 с.
- Степанов В.А. (2020). Золоторудное месторождение “Пионер”: история открытия, геологическое строение и состав руд. Вестник АмГУ. 91. 58–63.
- Терентьев А.Т. (1969). Почвы Амурской области и их сельскохозяйственное использование. Владивосток: Дальневосточное книжное издательство, 262 с.
- Фомин Г.С., Фомин А.Г. (2001). Почва. Контроль качества и экологической безопасности по международным стандартам. Справочник. М.: Протектор, 334 с.
- Dold B. (2017). Acid rock drainage prediction: a critical review. J. Geochem. Explor. 172. 120–132.
- Chopard A., Marion P., Mermillod-Blondin R., Plante B., Benzaazoua M. (2019). Environmental impact of mine exploitation: an earlypredictive methodology based on ore mineralogyand contaminant speciation. Minerals. (9), 397. doi: 10.3390/min9070397.
- Hageman P.L., Seal R.R., Diehl S.F., Piatak N.M., Lowers H.A. (2015). Evaluation of selected static methods used to estimate element mobility, acid-generating and acid-neutralizing potentials associated with geologically diverse mining wastes. Appl. Geochem. (57), 125–139. doi: 10.1016/j.apgeochem.2014.12.007.
- IUSS Working Group WRB. (2022). World Reference Base for Soil Resources. International soil classification system for naming soils and creating legends for soil maps. 4th edition. International Union of Soil Sciences (IUSS), Vienna, Austria.
- Kowalska J.B., Mazurek R., Gasiorek M., Zaleski T. (2018). Pollution indices as useful tools for the comprehensive evaluation of the degree of soil contamination. – A review. Environ. Geochem. Health. 40, 2395–2420. doi: 10.1007/s10653-018-0106-z.
- Mazurek R., Kowalska J.B., Gąsiorek M., Zadrożny P., Wieczorek J. (2019). Pollution indices as comprehensive tools for evaluation of the accumulation and provenance of potentially toxic elements in soils in Ojców National Park. J. Geochem. Explor. 201, 13–30. doi: 10.1016/j.gexplo.2019.03.001.
- Miesch A.T. (1967). Methods of computation for estimating geochemical abundance. U.S. Geological Survey Professional Paper. 574-B, 157. doi: 10.3133/pp574B.
- Müller, G. (1969). Index of Geoaccumulation in Sediments of the Rhine River. GeoJournal. (2), 108–118.
- Okereafor U., Makhatha M., Mekuto L., Uche-Okereafor N., Sebola T., Mavumengwana V. (2020). Toxic metal implications on agricultural soils, plants, animals, aquatic life and human health. Int. J. Environ. Res. Public. Health. 17, 2204. doi: 10.3390/ijerph17072204.
- Paktunc A.D. (1999). Mineralogical constraints on the determination of neutralization potential and prediction of acid mine drainage. Environ. Geol. 39(2), 103–112. doi: 10.1007/s002540050440.
- Papastergios G., Fernandez-Turiel J.L., Filippidis A., Gimeno D. (2011). Determination of geochemical background for environmental studies of soils via the use of HNO3 extraction and Q–Q plots. Environ. Earth Sci. (6), 743–751. doi: 10.1007/s12665-010-0894-7.
- Pavlova L.M., Shumilova L.P., Radomskaya V. I., Kezina T. V. (2022). Assessment of Arsenic Content in the Elements of the Man-General Ecosystem of the Gold Deposit. Rus. J. General. Chem. 92(13), 2999–3012.
- Plante B., Bussière B., Benzaazoua M. (2012). Static Tests Response on 5 Canadian Hard Rock Mine Tailings with Low Net Acid-Generating Potentials. J. Geochem. Explor. 114, 57–69.
- Radomskaya V.I., Pavlova L.M., Shumilova L.P., Voropaeva E.N., Osipova N.A. (2021). Predictive assessment of toxicants migration from technogenic gold-mining wastes (case study of the tailings management facility of Tokur mill, Amur region, Russia). Environ. Earth Sci. 80, 771. https://doi.org/10.21203/rs.3.rs-202868/v1.
- Reimann C., Filzmoser P., Garrett R.G. (2005). Background and threshold: Critical comparison of methods of determination. Sci. Total. Environ. 346, 1–16.
- Reimann, C., Garrett, R. G. (2005). Geochemical background – Concept and reality. Sci. Total. Environ. 350, 12–27.
- Rudnick R.L., Gao S. (2014). Composition of the Continental Crust. Treatise on Geochemistry. 1–51. https://doi.org/10.1016/B978-0-08-095975-7.00301-6.
- Sobek A.A., Schuller W.A., Freeman J.R., Smith R.M. (1978). Field and Laboratory Methods Applicable to Overburden and Mine Soils. U.S. EPA. 600/2-78-054. 203 p.
- Skousen J., Simmons J., McDonald L.M., Ziemkiewicz P. (2002). Acid-base accounting to predict post-mining drainage quality on surface mines. J. Environ. Quality. 31(6), 2034–2044.
- Yusupov D.V., Baranovskaya N.V., Robertus Y.V., Radomskaya V.I., Pavlova L.M., Sudyko A.F., Rikhvanov L.P. (2020). Rare earth elements in poplar leaves as indicators of geological environment and technogenesis. Environ. Sci. Pollut. Research. 27(2), 27111–27123.
Қосымша файлдар










