Kinetics of Individual С1–С5 Hydrocarbons Formation of Domanik Shale in Hydrothermal Experiments
- Авторлар: Bushnev D.A.1, Burdelnaya N.S.1, Ilchenko A.A.1, Sennikova Y.D.1, Kuzmin D.V.1
-
Мекемелер:
- Institute of Geology of the Komi Scientific Centre of the Ural Branch of the Russian Academy of Sciences
- Шығарылым: Том 69, № 12 (2024)
- Беттер: 1174-1180
- Бөлім: Articles
- URL: https://ogarev-online.ru/0016-7525/article/view/277671
- DOI: https://doi.org/10.31857/S0016752524120044
- EDN: https://elibrary.ru/IDMIRX
- ID: 277671
Дәйексөз келтіру
Толық мәтін
Аннотация
Twelve hydrothermal experiments were conducted with Domanik oil shale from the Ukhta region (Chut River) at temperatures of 250–375 °C and periods of 24 hours (6 experiments), 72 hours (5 experiments), and 48 hours (1 experiment). The composition of hydrocarbon gases C1–C5 was studied for each experiment and quantitative data on their yields were obtained. Based on these data, the kinetic spectra of individual gases C1–C5 were established under hydrothermal experiment conditions. The character of the kinetic spectra of individual alkanes C2–C5 is virtually identical; their main narrow maximum corresponds to Ea 55 kcal/mol with an Arrhenius factor of 1×1014 s-1. The distribution of the methane generation potential by activation energies is distinguished by the fact that a significant part of its generation potential falls within the region of activation energies of 60–70 kcal/mol and by the uncertainty of the distribution character in this region.
Негізгі сөздер
Толық мәтін
ВВЕДЕНИЕ
Кинетические исследования органического вещества являются важнейшим этапом изучения нефтегазоносности территорий при выполнении бассейнового моделирования (Espitalié et al., 1993), в том числе и на малоизученных территориях (Галушкин, Котик, 2023). Для получения данных о распределении углеводородного потенциала по шкале энергий активации могут применяться различные методы (Burnham, 2017). Так, однокомпонентные кинетические спектры (для всей суммы углеводородов) получают по данным пиролиза пород при различных скоростях нагрева (Кашапов и др., 2019; Бурштейн и др., 2024). Изучение кинетики образования индивидуальных углеводородов или их избранных сумм (С1–5, С6+, например) выполняется с использованием методов пиролитической газовой хроматографии (Астахов, 2016; Leushina et al., 2021). Известны работы с исследованием кинетики газообразования по результатам серии изотермических гидротермальных экспериментов (Seewald et al., 1998).
Автоклавный эксперимент более удачно имитирует условия природной среды по сравнению с сухим пиролизом в приборе типа Rock-Eval. В пользу гидротермального опыта говорят присутствие воды, неизбежное в естественном катагенезе и бóльшая продолжительность эксперимента при более низкой температуре. Целью работы является изучение газообразования доманиковым сланцем в автоклаве в присутствии воды и получения данных о распределении генерационного потенциала индивидуальных углеводородов состава С1–С5 по энергиям активации.
ЭКСПЕРИМЕНТАЛЬНАЯ ЧАСТЬ
Гидротермальный эксперимент был проведен в автоклаве объемом 740 мл. В автоклав загружалась экстрагированная порода кусочками (примерно 2×1×0.5 см) и доливалась дистиллированная вода. Данные о температурах эксперимента и временах опыта представлены в таблице. Внутренняя температура автоклава регулировалась электронным терморегулятором и контролировалась образцовым термометром.
Таблица 1. Показатели термической зрелости органического вещества доманикового сланца, достигнутые в гидротермальном эксперименте
Температура*, °С | Время, ч | EASY%Ro | EASY%RoDL | Tmax, °С |
До прогрева (исходная порода) | 0 | — | — | 413 |
250 | 24 | 0.43 | 0.39 | 412 |
250 | 72 | 0.48 | 0.43 | 408 |
275 | 24 | 0.52 | 0.46 | 418 |
275 | 72 | 0.59 | 0.50 | 415 |
300 | 24 | 0.64 | 0.54 | 424 |
300 | 72 | 0.71 | 0.59 | 424 |
325 | 24 | 0.76 | 0.63 | 431 |
325 | 72 | 0.85 | 0.72 | 433 |
350 | 24 | 0.92 | 0.81 | 441 |
350 | 48 | 1.02 | 0.92 | 448 |
350 | 72 | 1.08 | 1.00 | 450 |
375 | 24 | 1.18 | 1.16 | 482 |
* Температура гидротермального воздействия на породу.
После охлаждения автоклава до комнатной температуры давление внутри определялось при помощи соответствующего манометра, после чего анализ газа выполнялся методом газовой хроматографии относительно ГСО-ПГС 1 класса. Расчет выхода углеводородных газов проводился с учетом данных об остаточном давлении в автоклаве и объеме автоклава не занятного жидкостью.
Анализ газообразных углеводородов методом газовой хроматографии выполнялся на хроматографе Кристалл-2000М с насадочной колонкой размерами 3 м × 3 мм. Сорбент — Porapak-R. Температура термостата колонок программировалась от 40°С (выдержка 2 мин) до 145°С со скоростью 15°С/мин, затем до 175 со скоростью 10°С/мин (выдержка 3 мин). Ввод пробы из автоклава и ГСО-ПГС осуществлялся при помощи 6-ходового крана-дозатора с петлей фиксированного объема.
Пиролитические исследования по методу Rock-Eval выполнены в ТПУ, г. Томск с использованием прибора Rock-Eval 6 Turbo и МГУ им. М. В. Ломоносова, г. Москва с использованием прибора HAWK.
РЕЗУЛЬТАТЫ И ИХ ОБСУЖДЕНИЕ
В качестве породы, представляющей доманиковые отложения и содержащей незрелое органическое вещество, нами использован битуминозный глинисто-кремнисто-карбонатный сланец из естественного обнажения по р. Чуть, неоднократно становившийся объектом наших исследований (Бушнев и др., 2023a).
Постановка гидротермального эксперимента с нефтегазоматеринскими породами преследует цель имитации природного катагенеза, процесса, сопровождающегося образованием нефтяных и газообразных углеводородов, гетеросоединений. Поэтому, первым этапом таких работ является оценка уровня термической зрелости, достигнутой при моделировании природного процесса. Отметим, что в случае доманикового сланца использование замеров отражательной способности витринита ограничено ввиду его отсутствия в породе. Однако для оценки зрелости можно использовать как расчетные, так и экспериментальные величины (табл. 1).
Значения EASY%Ro и EASY%RoDL рассчитаны исходя из температуры и продолжительности опыта (Sweeney, Burnham, 1990; Burnham, 2017b), значения Tmax по пиролизу Rock-Eval определены экспериментально. Расчетные величины EASY%Ro и EASY%RoDL весьма близки при максимальной температуре опыта (табл.), а в промежуточных значениях EASY%RoDL дает более низкую оценку. Набор значений полученных показателей (табл.) говорит, что в ходе опытов доманиковый сланец достиг начала градации катагенеза МК4 по шкале Н. Б. Вассоевича, а главная фаза нефтеобразования завершена. Рис. 1 иллюстрирует сходимость результатов экспериментального моделирования термического созревания доманикового сланца в автоклаве и природного катагенеза доманикового органического вещества.
Рис. 1. Эволюция органического вещества доманиковых отложений в природных условиях (1) по данным из (Бушнев и др., 2023а) и в результате автоклавных опытов (2). HI — водородный индекс, Tmax — температура максимальной генерации углеводородов по результатам пиролиза Rock-Eval. Линии отвечают изменению соответствующих типов (I — III) керогена
Кинетические исследования процесса образования углеводородов производились с учетом следующих уравнений кинетики для реакций первого порядка (1, 2):
Скорость реакции в момент времени:
. (1)
При условии, что начальная концентрация реагента составляет С0 при t = 0 концентрация реагента в момент времени t определяется следующим уравнением:
. (2)
Величина константы скорости химической реакции (k), согласно уравнению Аррениуса, зависит от температуры (T), энергии активации (Ea) и предэкспоненциального множителя (частотного фактора или константы Аррениуса (A)) (3).
. (3)
Количество образовавшегося углеводородного газа (V) при температуре и времени одного опыта рассчитываться как сумма псевдокомпонентов (то есть условных, не имеющих химической расшифровки компонентов), образующих данный углеводородный газ и обладающих отличающимися заданными значениями энергиями активации (4):
, (4)
где С0 — максимально возможный выход углеводородного газа (совпадает с концентрацией структуры — предшественника), i — номер псевдокомпонента, ai — доля псевдокомпонента, а Eai — его энергия активации. Константа Аррениуса принималась одинаковой для всех псевдокомпонентов.
Задача получения распределения начального потенциала образования углеводородов сводится к поиску значений ai, отвечающих значениям энергии активации Eai. Необходимые для расчетов данные о максимально возможном выходе углеводородных газов (С0) при термическом разложении керогена принимались нами как сумма выхода данного УВ при гидротермальном воздействии 375°С/24 час и сухого (800°С, 10 с) пиролиза остаточного керогена из этого опыта (Бушнев и др., 2023b, 2023c). Нереализованный потенциал по данным сухого пиролиза остаточного керогена приводился к массе органического углерода исходной породы. Этот подход позволяет учесть в расчете часть нереализованного в гидротермальном эксперименте углеводородного потенциала. Таким образом, для расчета использовались данные по 12 экспериментальным точкам из автоклавных экспериментов и одна дополнительная, данные которой брались из результатов сухого пиролиза (800°С, 10 с) остаточного керогена, полученного при 375°С за 24 часа. Расчеты производились с фиксированным значением частотного фактора . Численное решение задачи о минимизации суммы квадратов разницы между экспериментальными и расчетными значениями выхода газов выполнялось в программе Excel с использованием надстройки Solver.
Полученные гистограммы потенциала образования газов состава С1–С5 и их суммы приведены на рис. 2а, е.
Рис. 2. Распределение энергий активации образования углеводородных газов в гидротермальном эксперименте. Где а-е: а — метан, б — этан, в – пропан+пропилен, г — н-бутан, д — н-пентан, е — сумма предельных и непредельных газов состава С1-С5 без пентенов
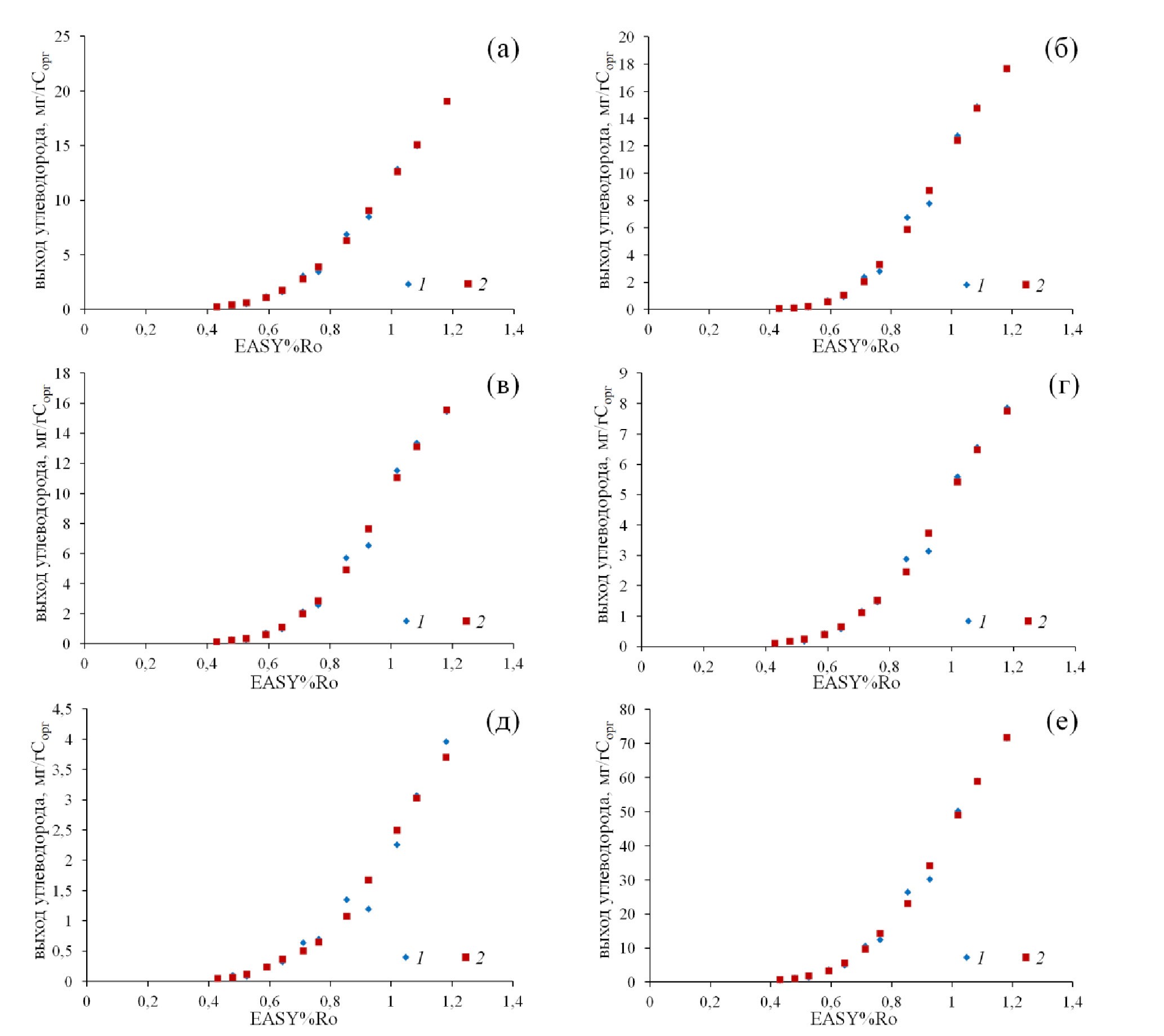
Рисунки 3а, е иллюстрируют сходимость экспериментальных данных и расчетных значений выходов газов.
Рис. 3. Сопоставление экспериментальных данных и результатов расчета выходов углеводородных газов при гидротермальном воздействии в соответствии с распределением энергий активации на рис. 2. Где а-е: а — метан, б — этан, в – пропан + пропилен, г — н-бутан, д — н-пентан, е — сумма предельных и непредельных газов состава С1-С5 без пентенов. 1 — экспериментальные данные, 2 — результаты расчета
Распределение потенциалов генерации по величинам энергий активации образования для газов С2–С5 практически одинаково. Оно характеризуется узким максимумом при 55 ккал/моль. Часть первоначального потенциала образования метана имеет такое же значение энергии активации (55÷56 ккал/моль), а часть генерационного потенциала метана относительно равномерно распределена по области 60–70 ккал/моль. Причина такого явления следующая. Для газов состава С2–С5 их выходы, фиксируемые при максимальной температуре опыта близки к максимально возможным, то есть интервал температур гидротермального опыта приводит к практически полному исчерпанию структур — предшественников (Бушнев и др., 2023а). В случае же метана гидротермальная обработка при 375°С/24 часа способствует реализации менее чем половины генерационного потенциала. То есть при нашем гидротермальном эксперименте кинетика образования метана в области высоких температур не охарактеризована, а значит и распределение потенциала образования метана выше по энергии активации основного максимума носит условный характер.
Единое значение максимума распределения начального потенциала для исследованных нами углеводородов по шкале энергий активации является следствием их образования при акватермолизе доманикового сланца вследствие разрушения одних и тех же структур. Судя по данным ИК-спектроскопии керогена, после автоклавного эксперимента наблюдается параллелизм между поглощением в характеристичных для алкильных фрагментов областях и образованием газов С2–С5 при сухом пиролизе (Бушнев и др., 2023b). Было показано, что для всех углеводородных газов состава С2–С5 наблюдается четкая корреляция между интегральной оптической плотностью керогена в области 2750–3000 см-1 и выходом исследуемых газов при сухом пиролизе при 800°С, а для метана такая связь отсутствует (Бушнев и др., 2023b). Установлено, что гидротермальное воздействие при температуре 375°С/24 часа приводит к расходованию от 72 до 86% алифатических фрагментов керогена (Бушнев и др., 2023c). Проведение гидротермального эксперимента в закрытом на протяжении опыта автоклаве предполагает, что газы, образующиеся в ходе эксперимента, могут получаться как из керогена горючего сланца, так и из продуктов его трансформации в битумоид и его компоненты, которые также образуются в ходе опыта. То есть проведение гидротермального опыта с анализом суммарного выхода углеводородного газа не позволяет дифференцировать является ли этот газ продуктом первичного крекинга, либо вторичным.
ЗАКЛЮЧЕНИЕ
Впервые, на основе совокупности данных о выходах углеводородных газов при гидротермальном воздействии на доманиковый сланец определены распределения начального потенциала образования индивидуальных углеводородов состава С1–С5 по шкале значений энергии активации. Основной максимум распределения потенциала образования исследуемых углеводородов представлен узким пиком при 55 ккал/моль при значении частотного фактора 1×1014 с-1. Характер распределения потенциала образования углеводородов С2–С5 подтверждает образование данных соединений за счет термического преобразования алкильных структур керогена в едином процессе. Образование метана также имеет основной максимум распределения при значениях энергии активации при 55–56 ккал/моль, но на долю этого максимума приходится меньшая часть его генерационного потенциала (43%) по сравнению с индивидуальными С2–С5 (75–83%). До половины генерационного потенциала метана равномерно распределено в области 60–70 ккал/моль и не может быть детально охарактеризовано более детально по результатам проведенных экспериментов.
Авторы выражают глубокую признательность научному редактору В.Б. Полякову и рецензентам за ценные советы и рекомендации к статье.
Работа выполнена при финансовой поддержке РНФ (проект № 23-27-00139, «Изучение образования газообразных углеводородов керогеном доманика при моделировании его термического преобразования в гидротермальном эксперименте и сухом пиролизе».
Авторлар туралы
D. Bushnev
Institute of Geology of the Komi Scientific Centre of the Ural Branch of the Russian Academy of Sciences
Хат алмасуға жауапты Автор.
Email: boushnev@geo.komisc.ru
Ресей, Syktyvkar
N. Burdelnaya
Institute of Geology of the Komi Scientific Centre of the Ural Branch of the Russian Academy of Sciences
Email: boushnev@geo.komisc.ru
Ресей, Syktyvkar
A. Ilchenko
Institute of Geology of the Komi Scientific Centre of the Ural Branch of the Russian Academy of Sciences
Email: boushnev@geo.komisc.ru
Ресей, Syktyvkar
Ya. Sennikova
Institute of Geology of the Komi Scientific Centre of the Ural Branch of the Russian Academy of Sciences
Email: boushnev@geo.komisc.ru
Ресей, Syktyvkar
D. Kuzmin
Institute of Geology of the Komi Scientific Centre of the Ural Branch of the Russian Academy of Sciences
Email: boushnev@geo.komisc.ru
Ресей, Syktyvkar
Әдебиет тізімі
- Астахов С.М. (2016) Кинетические аспекты реакций преобразования органического вещества нефтегазоматеринских отложений. Нефтегазовая геология. Теория и практика 11(1). http://www.ngtp.ru/rub/1/5_2016.pdf
- Бурштейн Л.М., Дешин А.А., Парфенова Т.М., Ярославцева Е.С., Козырев А.Н., Сафронов П.И. (2024) Кинетические характеристики керогенов куонамского комплекса нижнего и среднего кембрия Сибирской платформы. Геология и геофизика 65(1), 133–150.
- Бушнев Д.А., Бурдельная Н.С., Большакова М.А. (2023a) Геохимия углеводородов — биомаркеров и изотопов углерода органического вещества доманиковых отложений Тимано-Печорского бассейна. Геохимия 68(2), 139–148.
- Bushnev D.A., Burdelnaya N.S., Bolshakova M.A. (2023a) Geochemistry of Hydrocarbons-Biomarkers and Carbon Isotopes of Organic Matter in the Domanik Deposits of the Timan–Pechora Basin. Geochem. Int. 61(2), 127–136.
- Бушнев Д.А., Бурдельная Н.С., Ильченко А.А., Сенникова Я.Д. (2023b) Состав углеводородных газов сухого пиролиза керогена доманикового сланца после гидротермального эксперимента. Нефтехимия 63(5), 671–678.
- Бушнев Д.А., Бурдельная Н.С., Ильченко А.А., Сенникова Я.Д. (2023c) Образование углеводородных газов доманиковым сланцем при пиролизе в автоклаве в присутствии воды. Вестник геонаук 10(346), 37–41.
- Галушкин Ю.И., Котик И.С. (2023) Оценка реализации углеводородного потенциала нефтегазоматеринских пород юго-западного борта Коротаихинской впадины, Тимано-Печорский бассейн. Геохимия 68(4), 395–408.
- Galushkin Yu.I., Kotik I.S. (2023) Assessment of hydrocarbon potentialconversion in source rocks in the southwestern flank of the Korotaikha depression, Timan-Pechora basin. Geochem. Int. 61(4), 374–386.
- Кашапов P.C., Обласов Н.В., Гончаров И.В., Самойленко В.В., Гринько А.А. Трушков П.В., Фадеева С.В. (2019) Определение кинетических параметров пиролитической деструкции органического вещества нефтегазоматеринских пород. Нефтегазовая геология. Теория и практика 14(1). https://www.ngtp.ru/upload/iblock/667/6_2019.pdf
- Burnham A.K. (2017) Global Chemical Kinetics of Fossil Fuels: How to Model Maturation and Pyrolysis. Amsterdam: Springer, 330 p.
- Burnham A. K., (2017b). Advances needed for kinetic models of vitrinite reflectance. Technical Report, December 2017, Stanford University.
- Espitalié J., Marquis F., Drouet S. (1993) Critical Study of Kinetic Modelling Parameters. In Basin Modelling: Advances and Applications. Spec. Publ. 3 (Eds. Dore A.G., Hermanrud C., Steward D.J., Sylta Ø.). Amsterdam: Elsevier, Norw. Petrol. Soc., 233–242.
- Leushina E., Mikhaylova P., Kozlova E., Polyakov V., Morozov N., Spasennykh M. (2021) The effect of organic matter maturity on kinetics and product distribution during kerogen thermal decomposition: the Bazhenov Formation case study. J. Pet. Sci. Eng. 204, 108751.
- Seewald J.S., Benitez-Nelson B.C., Whelan J.K. (1998) Laboratory and theoretical constraints on the generation and composition of natural gas. Geochim. Cosmochim. Acta 62(9), 1599–1617.
- Sweeney J.J., Burnham A.K. (1990) Evaluation of a simple model of vitrinite reflectance based on Chemical kinetics. AAPG Bulletin 74(10), 1559–1570.
Қосымша файлдар




