Major, Volatile, Ore, and Trace Elements in Magmatic Melts in the Earth’s Dominant Geodynamic Environments. I. Mean Concentrations
- Authors: Naumov V.B.1, Dorofeeva V.A.1, Girnis A.V.2
-
Affiliations:
- Vernadsky Institute of Geochemistry and Analytical Chemistry (GEOKhI), Russian Academy of Sciences, 119991, Moscow, Russia
- Institute of the Geology of Ore Deposits, Petrography, Mineralogy, and Geochemistry (IGEM), Russian Academy of Sciences, 109017, Moscow, Russia
- Issue: Vol 68, No 12 (2023)
- Pages: 1253-1272
- Section: Articles
- URL: https://ogarev-online.ru/0016-7525/article/view/233639
- DOI: https://doi.org/10.31857/S001675252312004X
- EDN: https://elibrary.ru/MAMRBG
- ID: 233639
Cite item
Full Text
Abstract
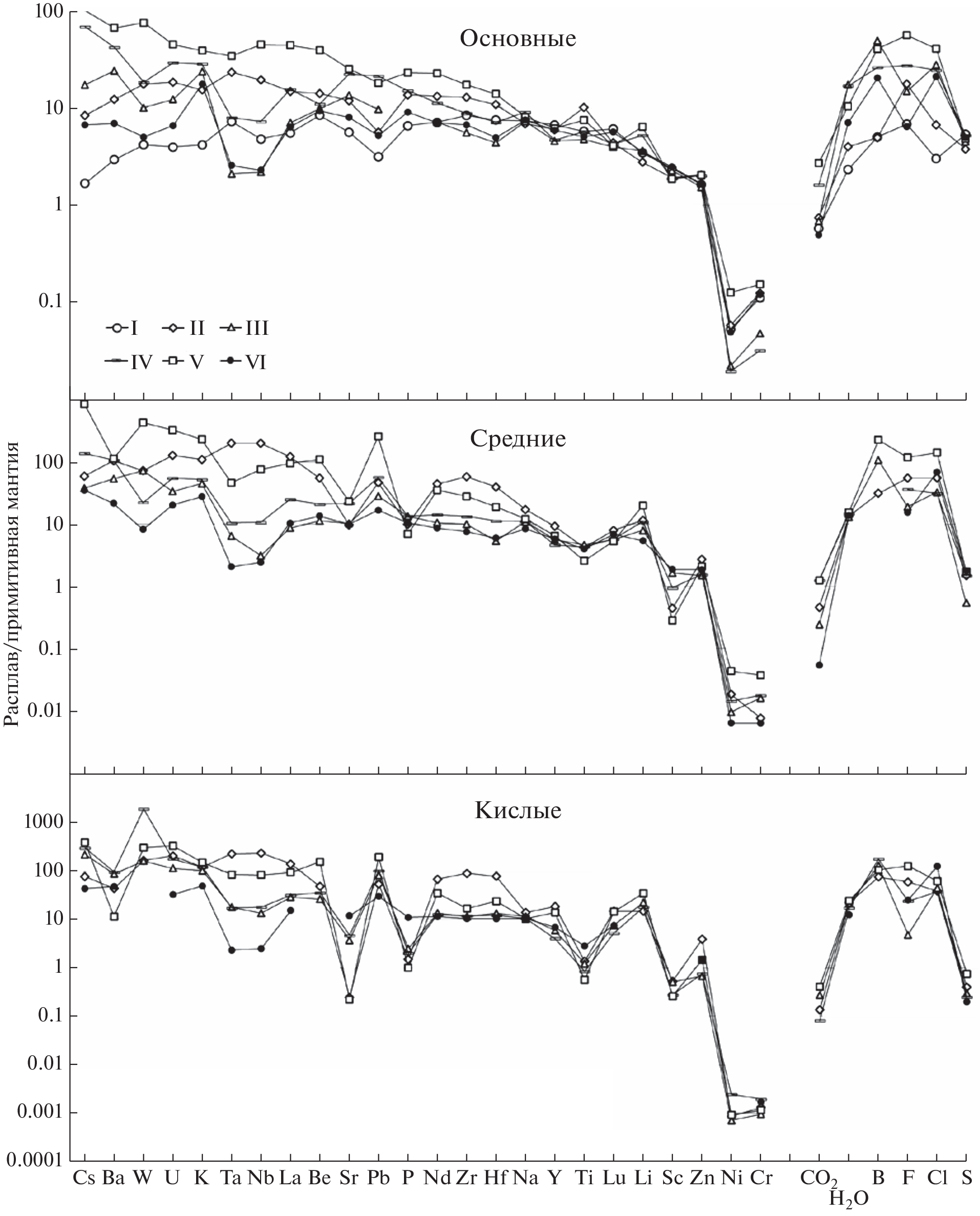
Data from our original database, which includes more than 2 600 000 analyses for 75 elements of mineral-hosted melt inclusions and quench glasses in volcanic rocks, are generalized to calculate the mean concentrations of major, volatile, ore, and trace elements in magmatic melts from the following dominant geodynamic environments: (I) spreading zones of oceanic plates (mid-oceanic ridges), (II) environments affected by mantle plumes in oceanic plates (oceanic islands and lava plateaus), (III, IV) environments related to subduction processes (III is zones of arc magmatism on the oceanic crust, and IV is zones of magmatism in active continental margins in which magma-generating processes involve the continental crust), (V) environments of continental rifts and areas with continental hotspots, and (VI) environments of backarc spreading. A histogram of SiO2 distribution in natural magmatic melts shows a bimodal distribution: one of the maxima falls onto SiO2 concentrations of 50–52 wt % and the other onto 72–76 wt %. The most widely spread melts contain 62–66 wt % SiO2. Mean temperatures and pressures are calculated for each of the environments. The normalized multielemental patterns presented for environments I through VI show the ratios of the mean concentrations of elements in magmatic melts of mafic, intermediate, and felsic composition to the concentrations in the primitive mantle. Mean ratios of incompatible, trace, and volatile components (H2O/Ce, K2O/Cl, Nb/U, Ba/Rb, Ce/Pb, etc.) are evaluated for the melts of each of the environments. The variations in these ratios are calculated, and it is demonstrated that the ratios of incompatible elements are mostly statistically significantly different in the different environments. The differences are particularly significant between the ratios of the most differently incompatible elements (e.g., Nb/Yb) and some ratios involving volatile components (e.g., K2O/H2O).
About the authors
V. B. Naumov
Vernadsky Institute of Geochemistry and Analytical Chemistry (GEOKhI), Russian Academy of Sciences, 119991, Moscow, Russia
Email: naumov@geokhi.ru
Россия, 119991, Москва, ул. Косыгина, 19
V. A. Dorofeeva
Vernadsky Institute of Geochemistry and Analytical Chemistry (GEOKhI), Russian Academy of Sciences, 119991, Moscow, Russia
Email: girnis@igem.ru
Россия, 119991, Москва, ул. Косыгина, 19
A. V. Girnis
Institute of the Geology of Ore Deposits, Petrography, Mineralogy, and Geochemistry (IGEM), Russian Academy of Sciences, 109017, Moscow, Russia
Author for correspondence.
Email: girnis@igem.ru
Россия, 119017, Москва, Старомонетный пер., 35
References
- Коваленко В.И., Наумов В.Б., Гирнис А.В., Дорофеева В.А., Ярмолюк В.В. (2006) Оценка средних содержаний H2O, Cl, F, S в деплетированной мантии на основе составов расплавных включений и закалочных стекол срединно-океанических хребтов. Геохимия. (3), 243-266.
- Kovalenko V.I., Naumov V.B., Girnis A.V., Dorofeeva V.A., Yarmolyuk V.V. (2006) Estimation of the average content of H2O, Cl, F, and S in the depleted mantle on the basis of the compositions of melt inclusions and quenched glasses of mid-ocean ridge basalts. Geochem. Int. 44, 209-231.
- Коваленко В.И., Наумов В.Б., Гирнис А.В., Дорофеева В.А., Ярмолюк В.В. (2007) Средние составы магм и мантии срединно-океанических хребтов и внутриплитных океанических и континентальных обстановок по данным изучения расплавных включений и закалочных стекол базальтов. Петрология. 15, 361-396.
- Коваленко В.И., Наумов В.Б., Гирнис А.В., Дорофеева В.А., Ярмолюк В.В. (2009) Кислые агпаитовые расплавы островных дуг, активных континентальных окраин и внутриплитных континентальных обстановок (по данным изучения расплавных включений в минералах и закалочных стекол пород). Петрология. 17, 437-456.
- Наумов В.Б., Коваленко В.И., Дорофеева В.А., Ярмолюк В.В. (2004) Средние содержания петрогенных, летучих и редких элементов в магматических расплавах различных геодинамических обстановок. Геохимия. (10), 1113-1124.
- Naumov V.B., Kovalenko V.I., Dorofeeva V.A., Yarmolyuk V.V. (2004) Average concentrations of major, volatile, and trace elements in magmas of various geodynamic settings. Geochem. Intern. 42 (10), 977-987.
- Наумов В.Б., Коваленко В.И., Дорофеева В.А., Гирнис А.В., Ярмолюк В.В. (2010) Средний состав магматических расплавов главных геодинамических обстановок по данным изучения расплавных включений в минералах и закалочных стекол пород. Геохимия. (12), 1266-1288.
- Naumov V.B., Kovalenko V.I., Dorofeeva V.A., Girnis A.V., Yarmolyuk V.V. (2010) Average compositions of igneous melts from main geodynamic settings according to the investigation of melt inclusions in minerals and quenched glasses of rocks. Geochem. Int. 48(12), 1185-1207.
- Наумов В.Б., Гирнис А.В., Дорофеева В.А., Коваленкер В.А. (2016) Концентрация рудных элементов в магматических расплавах и природных флюидах по данным изучения включений в минералах. Геология рудных месторождений. 58, 367-384.
- Наумов В.Б., Дорофеева В.А., Гирнис А.В., Коваленкер В.А. (2022) Летучие, редкие и рудные элементы в магматических расплавах и природных флюидах по данным изучения включений в минералах. I. Средние концентрации 45 элементов в главных геодинамических обстановках Земли. Геохимия. (4), 318-338.
- Naumov V.B., Dorofeeva V.A., Girnis A.V., Kovalenker V.A. (2022) Volatile, trace, and ore elemets in magmatic melts and natural fluids: Evidence from mineral-hosted inclusions. I. Mean concentrations of 45 elemets in the main geodynamic settings of the Earth. Geochem. Int. 60, 325-344.
- Anderson O.E., Jackson M.G., Rose-Koga E.F., Marske J.P., Peterson M.E., Price A.A., Byerly B.L., Reinhard A.A. (2021) Testing the recycled gabbro hypothesis for the origin of “Ghost Plagioclase” melt signatures using 87Sr/86Sr of individual olivine-hosted melt inclusions from Hawai’i. Geochemistry. Geophysics. Geosystems. 22(4), 1-21.
- Ayers J. (1998) Trace element modeling of aqueous fluid-peridotite interaction in the mantle wedge of subduction zones. Contrib. Mineral. Petrol. 132, 390-404.
- Bouvier A.-S., Metrich N., Deloule E. (2008) Slab-derived fluids in the magma sources of St. Vincent (Lesser Antilles Arc): Volatile and light element imprints. J. Petrol. 49(8), 1427-1448.
- Eiler J.M., Schiano P., Valley J.W., Kita N.T., Stolper E.M. (2007) Oxygen-isotope and trace element constraints on the origins of silica-rich melts in the subarc mantle. Geochemistry. Geophysics. Geosystems. 8(9), 1-21.
- Gale A., Dalton C.A., Langmuir C.H., Su Y., Schilling J.-G. (2013) The mean composition of ocean ridge basalts. Geochem. Geophys. Geosystems. 14, https://doi.org/10.1029/2012GC004334
- Harlou R., Pearson D.G., Nowell G.M., Ottley C.J., Davidson J.P. (2009) Combined Sr isotope and trace element analysis of melt inclusions at sub-ng levels using micro-milling, TIMS and ICPMS. Chem. Geol. 260, 254-268.
- Hart S.R., Gaetani G.A. (2006) Mantle Pb paradoxes: the sulfide solution. Contrib. Mineral. Petrol. 152, 295-308.
- Hartley M.E., de Hoog J.C.M., Shorttle O. (2021) Boron isotopic signatures of melt inclusions from North Iceland reveal recycled material in the Icelandic mantle source. Geochim. Cosmochim. Acta. 294, 273-294.
- Kawaguchi M., Koga K.T., Rose-Koga E.F., Shimizu K., Ushikubo T., Yoshiasa A. (2022) Sulfur isotope and trace element systematics in arc magmas: Seeing through the degassing via a melt inclusion study of Kyushu Island volcanoes, Japan. J. Petrol. 63(7), 1-31.
- Layne G.D., Kent A.J.R., Bach W. (2009) δ37Cl systematics of a backarc spreading system: The Lau Basin. Geology. 37(5), 427-430.
- Le Voyer M., Rose-Koga E.F., Laubier M., Schiano P. (2008) Petrogenesis of arc lavas from the Rucu Pichincha and Pan de Azucar volcanoes (Ecuadorian arc): Major, trace element, and boron isotope evidences from olivine-hosted melt inclusions. Geochemistry. Geophysics. Geosystems. 9(12), 1-27.
- Li X.H., Ren Z.G., Li S.Z., Zeng Z.G., Yang H.X., Zhang L. (2021) Geochemical and lead isotope compositions of olivine-hosted melt inclusions from the Yaeyama Graben in the Okinawa Trough: Implications for slab subduction and magmatic processes. Lithos. 398–399, 106263.
- Rudnick R.L., Gao S. (2003) Composition of the continental crust. Treatise on Geochemistry 3, 1-64.
- Sun S.S., McDonough W.F. (1989) Chemical and isotopic systematics of oceanic basalts: implications for mantle composition and processes. In: A.D.Saunders and M.J.Norry, Eds. Magmatism in the Ocean Basins. Geological Society Special Publication, London. 42, 313-345.
- Wittenbrink J., Lehmann B., Wiedenbeck M., Wallianos A., Dietrich A., Palacios C. (2009) Boron isotope composition of melt inclusions from porphyry systems of the Central Andes: a reconnaissance study. Terra Nova. 21, 111-118.
Supplementary files






