Heavy Metals and Organic Carbon in the Bottom Sediments of Shallow Bights of the Peter the Great Bay
- Authors: Ryumina A.A.1, Tishchenko P.Y.1, Shkirnikova E.M.1
-
Affiliations:
- Il’ichev Pacific Oceanological Institute, Far East Division, Russian Academy of Sciences,
- Issue: Vol 68, No 7 (2023)
- Pages: 709-719
- Section: Articles
- URL: https://ogarev-online.ru/0016-7525/article/view/134823
- DOI: https://doi.org/10.31857/S0016752523060080
- EDN: https://elibrary.ru/DTBUZX
- ID: 134823
Cite item
Full Text
Abstract
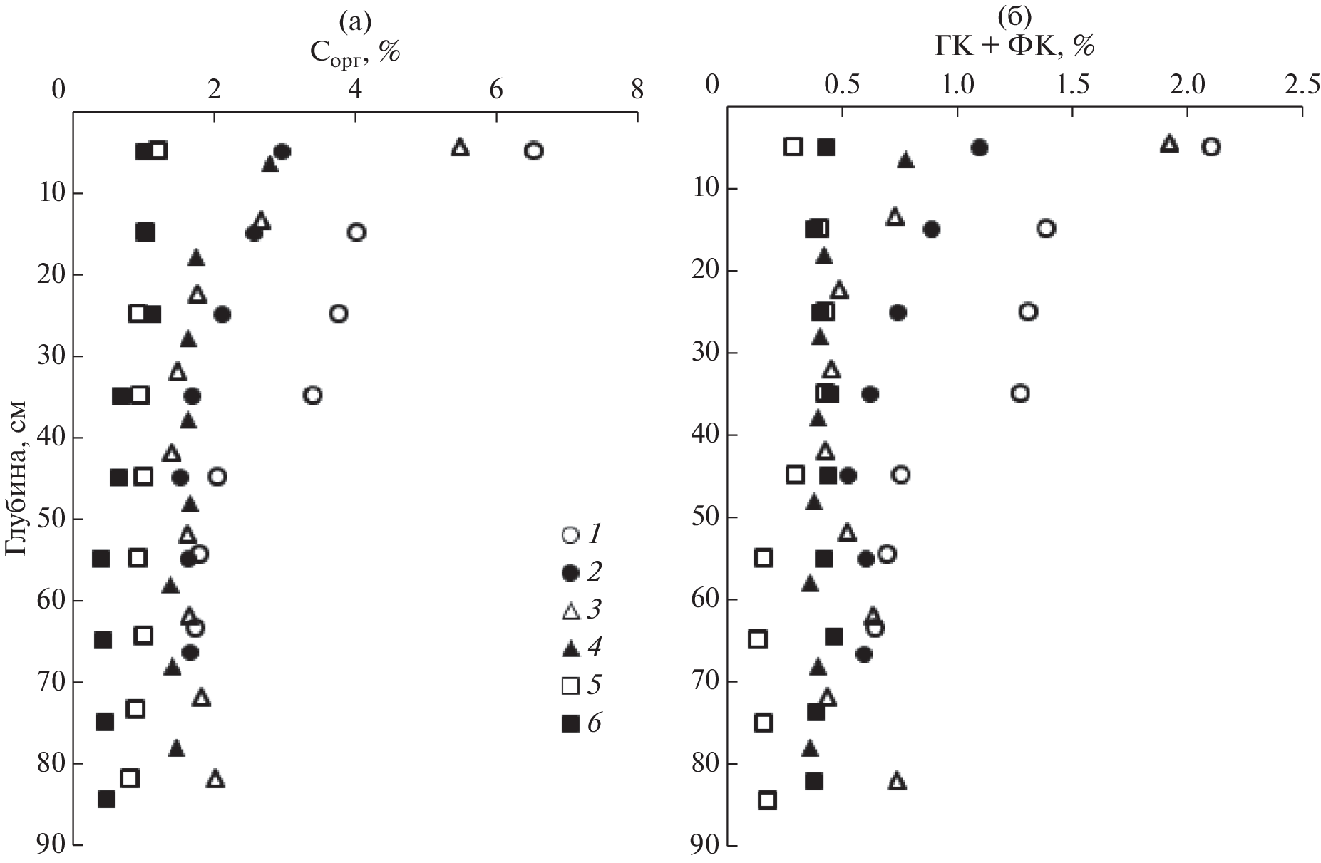
A noticeable feature of labile heavy metals is that they are highly prone to be to bioaccumulated and bioassimilated in natural environments. When in high concentrations, these metals are toxic to living organisms, as is particularly evident in the coastal shallow marine zones, which are most strongly affected by anthropogenic processes. This paper presents data on the contents of heavy metals, concentrations of organic carbon, and the granulometric composition of bottom-sediment cores in three shallow bights of the Peter the Great Bay, in two of which (Voevoda and Novgorodskaya bights), large bottom areas are overgrown with seagrass Zostera marina L. (sea zostera, ZM). Data on the vertical distribution of heavy metals and organic carbon in the cores showed that the highest concentrations of Zn and Cu (up to 204 and 91 mg/kg, respectively) occur in samples from Voevoda bight, and the highest concentrations of Mn and Pb (up to 344 and 45 mg/kg, respectively) were found in Novgorodskaya bight, where meadows of the seagrass grow. The highest Cr, Ni, and Co contents (up to 69, 31, and 13 mg/kg, respectively) were identified in Uglovoy bight, where sea grass is practically absent.
About the authors
A. A. Ryumina
Il’ichev Pacific Oceanological Institute, Far East Division, Russian Academy of Sciences,
Email: Ryumina.aa@poi.dvo.ru
690041, Vladivostok, Russia
P. Ya. Tishchenko
Il’ichev Pacific Oceanological Institute, Far East Division, Russian Academy of Sciences,
Email: Ryumina.aa@poi.dvo.ru
690041, Vladivostok, Russia
E. M. Shkirnikova
Il’ichev Pacific Oceanological Institute, Far East Division, Russian Academy of Sciences,
Author for correspondence.
Email: Ryumina.aa@poi.dvo.ru
690041, Vladivostok, Russia
References
- Барабанщиков Ю.А., Тищенко П.Я., Семкин П.Ю., Михайлик Т.А., Косьяненко А.А. (2018) Условия образования лечебных грязей в бухте Воевода (Амурский залив, Японское море). Известия ТИНРО. 192, 167-176.
- Бергер В.Я. (2011) О продукции зостеры Zostera Marina Linnaeus, 1753 в Белом море. Биология моря. 37(5), 362-366.
- Ващенко М.А., Жадан П.М., Альмяшова Т.Н., Ковалева А.Л., Слинько Е.Н. (2010) Оценка уровня загрязнения донных осадков Амурского залива (Японского моря) и их потенциальной токсичности. Биология моря. 36(5), 354-361.
- Григорьева Н.И. (2012) Залив Посьета: физико-географическая характеристика, климат, гидрологический режим. Современное экологическое состояние залива Петра Великого Японского моря (Под ред. Христофоровой Н.К.). Владивосток: Изд. дом ДВФУ, 31-61.
- Иванов Д.В., Валиев В.С., Зиганшин И.И., Шамаев Д.Е., Паймикина Э.Е., Марасов А.А., Маланин В.В., Хасанов Р.Р., Унковская М.А. (2020) Структурная взаимосвязь гранулометрического состава, содержания органического вещества и тяжелых металлов в донных отложениях. Гидроэкология. (2), 23-30.
- Ковековдова Л.Т., (2011) Микроэлементы в морских промысловых объектах Дальнего Востока России. Автореферат дис. … докт. биол. наук. Владивосток: ТИНРО-Центр, 40 с.
- Коженкова С.И., (2000) Мониторинг состояния прибрежно-морских вод Приморья по содержанию тяжелых металлов в бурых водорослях: Автореферат дис. … канд. биол. наук. Владивосток: ИБМ, 24 с.
- Лоция северо-западного берега Японского моря (1996) СПб.: ГУНИО МО, 354 с.
- Петухов В.И., Петрова Е.А., Лосев О.В. (2019) Загрязнение вод залива Углового тяжелыми металлами и нефтепродуктами в феврале 2010‒2016 гг. Водные ресурсы. 46(1), 102-113.
- Раков В.А. (2010) Распространение и экология устричных рифов северной части Амурского залива. Экологический вестник. (4), 21-30.
- Тищенко П.Я., Борисенко Г.В., Барабанщиков Ю.А., Павлова Г.Ю., Рюмина А.А., Сагалаев С.Г., Семкин П.Ю., Тищенко П.П., Уланова О.А., Швецова М.Г., Шкирникова Е.М. (2022) Оценка потоков биогенных веществ на границе раздела вода-дно в мелководных бассейнах залива Петра Великого (Японское море). Геохимия. 2022. 67(9), 881-895.
- Tischenko P.Y., Borisenko G.V., Barabanshchikov Y.A., Pavlova G.Y., Ryumina A.A., Sagalaev S.G., Semkin P.Y., Tischenko P.P., Ulanova O.A., Shvetsova M.G., Shkirnikova E.M. (2022) Estimation of Nutrient Fluxes on the Interface Bottom Water–Sediments in Shallow Bights of the Peter the Great Bay, Sea of Japan. Geochem. Int. 2022. 60(9), 891-904.
- Тищенко П.Я., Шкирникова Е.М., Горячев В.А., Рюмина А.А., Сагалаев С.Г., Тищенко П.П., Уланова О.А., Тибенко Е.Ю. (2022) Депонированный органический углерод мелководных бухт залива Петра Великого (Японское море). Геохимия. 2022а. 67(10), 1004-1012.
- Tischenko P.Y., Shkirnikova E.M., Goryachev V.A., Ryumina A.A., Sagalaev S.G., Tischenko P.P., Ulanova O.A., Tibenko E.Y. (2022) Accumulated Organic Carbon in the Sediments of Shallow Bights of the Peter the Great Bay, Sea of Japan. Geochem. Int. 2022a. 60(10), 1005-1013.
- Тищенко П.Я., Барабанщиков Ю.А., Павлова Г.Ю., Рюмина А.А., Сагалаев С.Г., Семкин П.Ю., Тищенко П.П., Уланова О.А., Швецова М.Г., Шкирникова Е.М., Тибенко Е.Ю. (2021) Гидрохимическое состояние залива Угловой (Амурский залив) в разные сезоны. Известия ТИНРО. 201(1), 138-157.
- Тищенко П.Я., Ходоренко Н.Д., Барабанщиков Ю.А., Волкова Т.И., Марьяш А.А., Михайлик Т.А., Павлова Г.Ю., Сагалаев С.Г., Семкин П.Ю., Тищенко П.П., Швецова М.Г., Шкирникова Е.М. (2020) Диагенез органического вещества в осадках покрытых зарослями зостеры морской (Zostera marina L.). Океанология. 60(3), 393-406.
- Христофорова Н.К., Емельянов А.А., Ефимов А.В. (2018) Биоиндикация загрязнения прибрежно-морских вод о. Русского (залив Петра Великого, Японское море) тяжелыми металлами. Известия ТИНРО. 192, 157-166.
- Христофорова Н.К., Шулькин В.М., Кавун В.Я., Чернова Е.Н. (1994) Тяжелые металлы в промысловых и культивируемых моллюсках залива Петра Великого. Владивосток: Дальнаука, 296 с.
- Христофорова Н. К. (1989) Биоиндикация и мониторинг загрязнения вод тяжелыми металлами. Ленинград: Наука, 192 с.
- Шишлова М.А., (2002) Зостера морская (Zostera marina L.) как индикатор загрязнения среды тяжелыми металлами. Дис. … канд. биол. наук. Владивосток: ИБМ, 145 с.
- Шулькин В.М. (2004) Металлы в экосистемах морских мелководий. Владивосток: Дальнаука, 278 с.
- Чернова Е.Н. (2012) Фоновые концентрации металлов в Зостере морской из залива Петра Великого и оценка его современного экологического состояния. Современное экологическое состояние залива Петра Великого Японского моря (Под ред. Христофоровой Н.К.). Владивосток: Изд. дом ДВФУ, 382-396.
- Чернова Е.Н., Коженкова С.И. (2016) Определение пороговых концентраций металлов в водорослях-индикаторах прибрежных вод северо-западной части Японского моря. Океанология. 56(3), 393-402.
- Arici E., Bat L. (2020) Sediment-water interactions with eelgrass (Zostera spp.) from Sinop shores of the Black Sea. Caspian J. Environ. Sci. 18(2), 123-130.
- Brix H., Lyngby J.E. (1982) The distribution of cadmium copper, lead and zinc in eelgrass (Zostera marina L.). Sci. Total Envir. 24, 51-63.
- Chelomin V.P., Bobkova E.A., Lukyanova O.N., Chekmasova N.M. (1995) Cadmium-induced alterations in essential trace element homoeostasis in the tissues of scallop Mizuhopecten yessoensis. Camp. Biorhem. Physiol. 110C(3), 329-335.
- Feng W., Wang Z., Xu H., Zhang D., Zhang H., Zhu W. (2020) Species-specific bioaccumulation of trace metals among fish species from Xincun Lagoon, South China Sea. Sci. Rep. 10 (21800). https://doi.org/10.1038/s41598-020-77917-y
- Goldberg E.D. (1986) The mussel watch concept. Environ. Monit. Assess. 7, 91-103.
- Hart B.T. (1982) Uptake of trace metals by sediments and suspended particulates: a review. Hydrobiologia. 91, 299-313.
- Hosokawa S., Konuma S., Nakamura Y. (2016) Accumulation of trace metal elements (Cu, Zn, Cd and Pb) in surface sediment via decomposed seagrass leaves: A mesocosm experiment using Zostera marina L. PLoS ONE. 11(6), https://doi.org/10.1371/journal.pone.0157983
- Khozhaenko E.V., Khotimchenko R.Y., Kovalev V.V., Khotimchenko M.Y., Podkorytova E.A. (2015) Metal Binding Activity of Pectin Isolated from Seagrass Zostera marina and Its Derivatives. Rus. J. Mar. Biol. 41(6), 485-489.
- Lyngby J.E., Brix H. (1989) Heavy metals in eelgrass (Zostera marina L.) during growth and decomposition. Hydrobiologia. 176/177, 189-196.
- Macias-Zamora J.V., Sanchez-Osorio J.L., Rios-Mendoza L.M., Ramırez-Alvarez N., Huerta-Diaz M.A., Lopez-Sanchez D. (2008) Trace metals in sediments and Zostera marina of San Ignacio and Ojo de Liebre Lagoons in the Central Pacific Coast of Baja California, Mexico. Arch. Environ. Contam. Toxicol. 55, 218-228.
- Mantoura R.F.C., Dickson A., Riley J.P. (1978) The complexation of metals with humic materials in natural waters. Estuarine Coastal Mar. Sci. 6, 387-408.
- McRoy C.P. (1974) Seagrass productivity: carbon uptake experiments in eelgrass, Zoster marina. Aquaculture. 4, 131-137.
- Morel F.M.M., Hudson R.J.M., Price N.M. (1991) Limitation of productivity by trace metals in the sea. Limnol. Oceanogr. 36(8), 1742-1755.
- Riosmena-Rodríguez R., Talavera-Sáenz A., Acosta-Vargas B., Gardner S.C. (2010) Heavy metals dynamics in seaweeds and seagrasses in Bahía Magdalena, B.C.S., México. J. Appl. Phycol. 22, 283-291.
- Sanz-Lázaro C., Malea P., Apostolaki E.T., Kalantzi I., Mar’ın A., Karakassis I. (2012) The role of the seagrass Posidonia oceanica in the cycling of trace elements. Biogeosciences. 9, 2497-2507.
- Schaller J. (2014) Bioturbation/bioirrigation by Chironomus plumosus as main factor controlling elemental remobilization from aquatic sediments? Chemosphere. 107, 336-343.
- Larkum A.W.D., Orth R.J., Duarte C.M. (2006) Seagrasses: Biology, Ecology and Conservation. Netherlands: Springer, 691 p.
- Sunda W.G. (2012) Feedback interactions between trace metal nutrients and phytoplankton in the ocean. Frontiers in Microbiology. 3(204), https://doi.org/10.3389/fmicb.2012.00204
- Richir J., N. Luy N., Lepoint G., Rozet E., Azcarate A.A., Gobert S. (2013) Experimental in situ exposure of the seagrass Posidonia oceanica (L.) Delile to 15 trace elements. Aquat. Toxicol. 140–141, 157-173.
- Wong C.S., Boyle E., Bruland K.W., Burton J.D., Goldberg E.A. (1983) Trace metals in sea water. N.Y.: Plenum Press, 920 p.
Supplementary files








