Elemental Composition of the Lemnaceae Family in Urbanized Territories of the Russian Federation
- Authors: Baranovskaya N.V.1, Baranovskaya A.Y.1, Sudyko A.F.1
-
Affiliations:
- National Research Tomsk Polytechnic University
- Issue: Vol 68, No 6 (2023)
- Pages: 638-648
- Section: Articles
- URL: https://ogarev-online.ru/0016-7525/article/view/134818
- DOI: https://doi.org/10.31857/S0016752523040027
- EDN: https://elibrary.ru/IVJFSS
- ID: 134818
Cite item
Full Text
Abstract
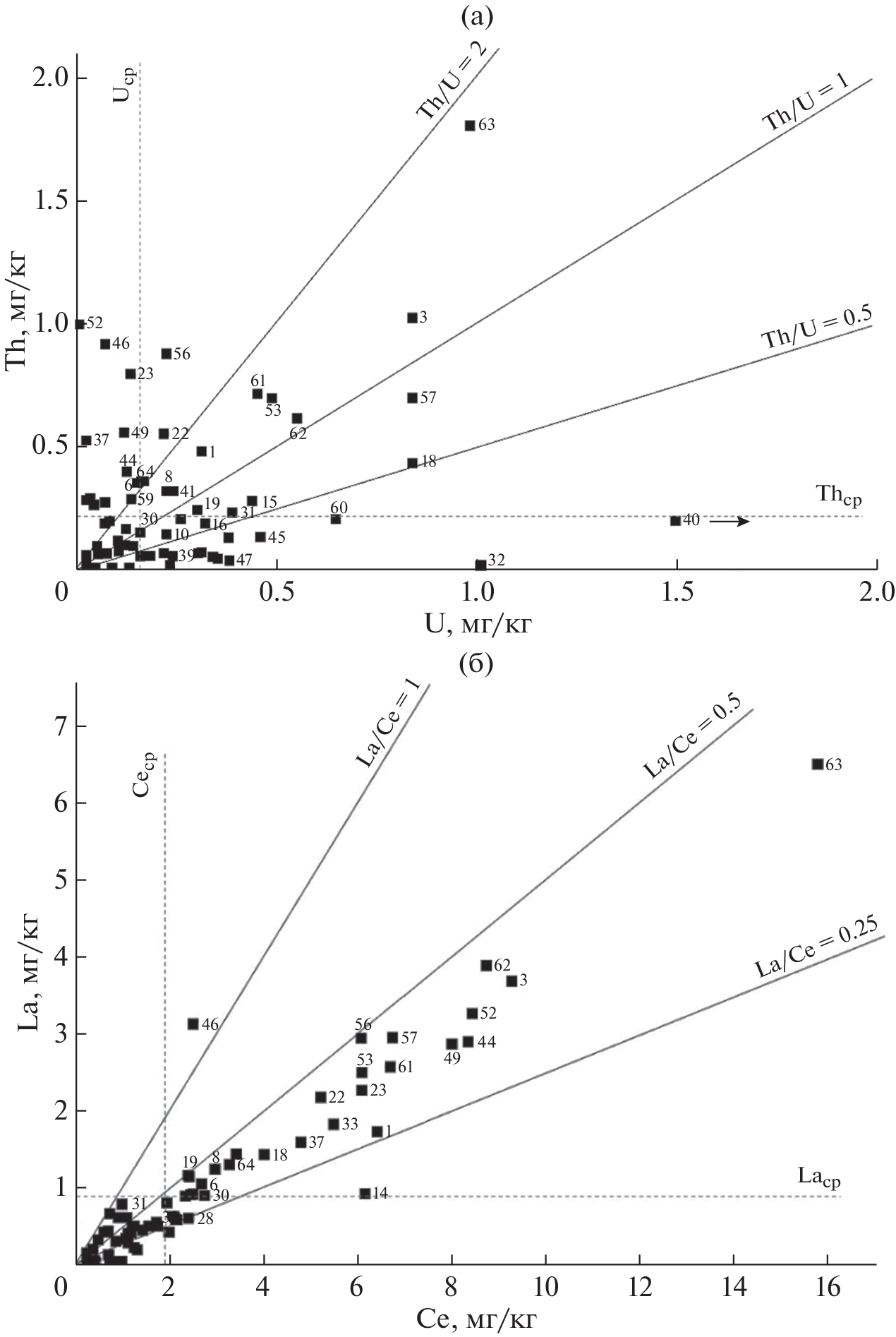
The paper presents the first ever data on the contents of 28 elements in aquatic plants of the duckweed family (Lemnaceae) in the territory of 65 population centers of the Russian Federation. Data are presented on the elemental composition of duckweed in the urbanized regions of Russia and on the spatial distribution of the studied elements and their calculated concentration coefficients relative to the estimated mean values in the macrophytes. The elemental composition of duckweed is shown to provide significant information about the current ecological and geochemical situation in the study area and can serve as an unbiased indicator of the impact of anthropogenic and natural factors on the environment.
About the authors
N. V. Baranovskaya
National Research Tomsk Polytechnic University
Email: nata@tpu.ru
634050, Tomsk, Russia, Lenin Ave., 30
A. Yu. Baranovskaya
National Research Tomsk Polytechnic University
Email: kyzmen44@mail.ru
634050, Tomsk, Russia, Lenin Ave., 30
A. F. Sudyko
National Research Tomsk Polytechnic University
Author for correspondence.
Email: sudykoAF@yandex.ru
634050, Tomsk, Russia, Lenin Ave., 30
References
- Алексеенко В.А., Алексеенко А.В. (2013) Химические элементы в геохимических системах. Кларки почв селитебных ландшафтов. Ростов н/Д.: Издательство Южного федерального университета, 380 с.
- Арбузов С.И., Машенькин В.С., Рыбалко В.И., Судыко А.Ф. (2014) Редкометалльный потенциал углей Северной Азии (Сибирь, российский Дальний Восток, Казахстан, Монголия). Геология и минерально-сырьевые ресурсы Сибири. (3), 32-36.
- Бруновский Б.К., Кунашева К.Г. (1930) О содержании радия в некоторых растениях. ДАН СССР. (20), 537-540.
- Павленко Ю.В., Поляков О.А. (2010) Восточно-Забайкальская сурьмяная провинция. Вестник Забайкальского государственного университета. (9), 77-84.
- Вернадский В.И., Виноградов А.П. (1931) О химическом элементарном составе рясок как видовом признаке. ДАН СССР. (9), 473-476.
- Глазовский Н.Ф. (1982) Техногенные потоки веществ в биосфере. Добыча полезных ископаемых и геохимия природных экосистем. М.: Наука, 7-28.
- Гула К.Е., Крупская Л.Т., Дербенцева А.М., Волобуева Н.Г. (2012) Использование водных растений в процессе очистки сточных вод золотодобывающих предприятий. Проблемы региональной экологии. (5), 144-147.
- Дайнеко Н.М., Тимофеев С.Ф., Жадько С.В. (2016) Накопление тяжелых металлов прибрежно-водной растительностью водоемов вблизи г. Жлобина Гомельской области Республики Беларусь. Известия Томского политехнического университета. Инжиниринг георесурсов. (5), 124-132.
- Ермаков В.В., Петрунина Н.С., Тютиков С.Ф., Данилова В.Н., Хушвахтова С.Д., Дегтярев А.П., Кречетова Е.В. (2015) Концентрирование металлов растениями рода Salix и их значение при выявлении кадмиевых аномалий. Геохимия. (11), 978-978. Ermakov V.V., Petrunina N.S., Tyutikov S.F., Danilova V.N. Khushvakhtova S.D., Degtyarev A.P., Krechetova E.V. (2015) Concen tration of metals by plants of the genus Salix and their implica tion in detection of cadmium anomalies. Geochem. Int. 53(11), 951-963.
- Ермаков В.В., Ковальский Ю.В. (2018) Живое вещество биосферы: масса и химический элементный состав. Геохимия. (10), 931-944.
- Ermakov V.V., Kovalsky Y.V. (2018) Living Matter of the Biosphere: Mass and Chemical Elemental Composition. Geochem. Int. 56(10), 969-981.
- Злобина А.Н., Рихванов Л.П., Барановская Н.В., Фархутдинов И.М., Нанпинг В. (2019) Радиоэкологическая опасность для населения в районах распространения высокорадиоактивных гранитов. Известия Томского политехнического университета. Инжиниринг георесурсов. 330(3), 111-125.
- Иванова А.И., Лазарева Г.А., Кузнецова Н.В. (2018) Оценка качества воды реки Волгуши по макрофитам. Вестник Международного университета природы, общества и человека “Дубна”. 39(2), 9-15.
- Капитонова О.А. (2019) Материалы к биологии и экологии рясковых (Lemnaceae) Сибири. Проблемы ботаники Южной Сибири и Монголии. 1(18), 127-131.
- Коковкин А.А. (2013) Новейшая структура Сихотэ-Алинского орогена, металлогения Сихотэ-Алинской рудной провинции. Региональная геология и металлогения. 53, 105-113.
- Коломиец Н.Э., Туева И.А., Мальцева О.А., Дмитрук С.Е., Калинкина Г.И. (2004) Оценка перспективности некоторых видов лекарственного растительного сырья с точки зрения их экологической чистоты. Химия растительного сырья. (4), 25-28.
- Колубаева Ю.В. (2015) Химический состав подземных вод зоны активного водообмена территории северной части Колывань-Томской складчатой зоны. Вестник Томского государственного университета. (391), 202-208.
- Лапин П.С., Оленченко В.В. (2018) Проявление интрузивных тел в современном рельефе земной поверхности Колывань-Томской складчатой зоны. Интерэкспо Гео-Сибирь. 2(3), 176-183.
- Моисеенко Т.И. (2017) Эволюция биогеохимических циклов в современных условиях антропогенных нагрузок: пределы воздействий. Геохимия (10), 841-862. Moiseenko T.I. (2017) Evolution of biogeochemical cycles under anthropogenic loads: Limits impacts. Geochem. Int. 55(10), 841-860.
- Поляков Г.В., Изоx А.Э., Кpивенко А.П. (2006) Платиноноcные ультpамафит-мафитовые фоpмации подвижныx пояcов Центpальной и Юго-Воcточной Азии. Геология и геофизика. 47(12), 1227-1241.
- Рихванов Л.П., Барановская Н.В., Волостнов А.В., Архангельская Т.А., Межибор А.М., Берчук В.В., Иванов А.Ю., Таловская А.В., Шатилова Е.Г., Язиков Е.Г. (2007) Радиоактивные элементы в окружающей среде. Известия Томского политехнического университета. Инжиниринг георесурсов. 311(1), 128-136.
- Рябова В.Н., Васильева В.А. (2009) Восстановление растительности рекультивированных прудов западной ветви водоподводящей системы г. Петергофа. Вестник Санкт-Петербургского университета. 3(3), 146-157.
- Удодов П.А., Паршин П.Н., Левашева Б.М., Лукин А.А., Рассказов Н.М., Копылова Ю.Г., Коробейникова Е.С., Солодовникова Р.С., Фатеев А.Д., Шестаков Б.И. (1971) Гидрогеохимические исследования Колывань-Томской складчатой зоны. Томск: Издательство Томского университета, 284 с.
- Уфимцева М.Д. (2015) Закономерности накопления химических элементов высшими растениями и их реакции в аномальных биогеохимических провинциях. Геохимия. (5), 450-460.
- Шахова Т.С., Таловская А.В., Язиков Е.Г. (2018) Эколого-геохимические особенности снежного покрова (твердой фазы) в районах размещения нефтеперерабатывающих заводов (г. Омск, Ачинск, Павлодар). Вопросы естествознания. 4, 125-130.
- Юсупов Д.В., Рихванов Л.П., Судыко А.Ф., Барановская Н.В., Дорохова Л.А. Радиоактивные элементы (торий, уран) в листьях тополя на урбанизированных территориях и их индикаторная роль. Разведка и охрана недр. (2), 61-68.
- Янченко О.М., Ворошилов В.Г., Тимкин Т.В., Мартыненко И.В., Мансур З. (2019) Морфология и состав золота кор выветривания Томь-Яйского междуречья. Известия Томского политехнического университета. Инжиниринг георесурсов. 330(3), 84-92.
- Basiglini E., Pintore M., Forni C. (2018) Effects of treated industrial wastewaters and temperatures on growth and enzymatic activities of duckweed (Lemna minor L.). Ecotoxicology and environmental safety. 153, 54-59.
- Bocuk H., Yakar A., Turker O.C. (2013) Assessment of Lemna gibba L. (duckweed) as a potential ecological indicator for contaminated aquatic ecosystem by boron mine effluent. Ecological indicators. 29, 538-548.
- Borisjuk1 N., Peterson A.A., Lv J., Qu G., Luo Q., Shi L., Chen G., Kishchenko O., Zhou Y., Shi J. (2018). Structural and biochemical properties of duckweed surface cuticle. Frontiers in chemistry. 6, 317-324.
- Ceschin S., Crescenzi M., Iannelli M.A. (2020) Phytoremediation potential of the duckweeds Lemna minuta and Lemna minor to remove nutrients from treated waters. Environmental Science and Pollution Research. 27, 1-9.
- Chytry M., Sumberova K., Hajkova P., Hajek M., Hroudova Z., Navratilova J. (2011). Vegetace České republiky 3. Vodní a mokřadní vegetace. Praha: Academia, 827 p.
- Ekperusi A.O., Sikoki F.D., Nwachukwu E.O. (2019) Application of common duckweed (Lemna minor) in phytoremediation of chemicals in the environment: State and future perspective. Chemosphere. 223, 285-309.
- Farias D.R., Hurd C.L., Eriksen R.S., Macleod C.K. (2018). Macrophytes as bioindicators of heavy metal pollution in estuarine and coastal environments. Marine Pollution Bulletin. 128, 175-184.
- Landolt E., Kandeler R. (1987) Biosystematic investigations in the family of duckweeds (Lemnaceae), Vol. 4: the family of Lemnaceae-a monographic study, Vol. 2 (phytochemistry, physiology, application, bibliography). Veroeffentlichungen des Geobotanischen Instituts der ETH, Stiftung Ruebel (Switzerland), 317 p.
- Mkandawire M., Teixeira J.A., Dudel E.G. (2014) The Lemna bioassay: contemporary issues as the most standardized plant bioassay for aquatic ecotoxicology. Critical Reviews in Environmental Science and Technology. 44(2), 154-197.
- Prasad M.N., Greger M., Aravind P. (2005) Biogeochemical cycling of trace elements by aquatic and wetland plants: relevance to phytoremediation. Trace elements in the environment, 469-500.
- Rofkar J.R., Dwyer D.F., Bobak D.M. (2014) Uptake and toxicity of arsenic, copper, and silicon in Azolla caroliniana and Lemna minor. International J. phytoremediation. 16(2), 155-166.
- Oyedeji S., Fatoba P.O., Ogunkunle C.O., Akanbi G.M. (2013) Water hyacinth and duckweed as indicator of heavy metal pollution in River Asa. J. Ind. Pollut. Control. 29(2), 155-162.
- Sasmaz M., Obek E., Sasmaz A. (2016) Bioaccumulation of uranium and thorium by Lemna minor and Lemna gibba in Pb–Zn–Ag tailing water. Bulletin of environmental contamination and toxicology. 97(6), 832-837.
- Sasmaz M., Obek E., Sasmaz A. (2018) The accumulation of La, Ce and Y by Lemna minor and Lemna gibba in the Keban gallery water, E lazig T urkey. Water and Environment J. 32(1), 75-83.
- Teles C.C., Mohedano R.A., Tonon G., Belli Filho P., Costa R.H.R. (2017) Ecology of duckweed ponds used for wastewater treatment. Water Sci. Technol. 75(12), 2926-2934.
- Varga M., Horvatić J., Čelić A. (2013) Short term exposure of Lemna minor and Lemna gibba to mercury, cadmium and chromium. Central European J. Biology. 8(11), 1083-1093.
- Wiegleb G. (1978) Der soziologische konnex der 47 häufigsten makrophyten der gewässer mitteleuropas. Vegetatio. 38(3), 165-174.
Supplementary files








