Biogeochemical Changes in Arctic Lakes at Climate Warming: Regional Features
- Authors: Moiseenko T.I.1, Bazova M.M.1, Lummens E.O.1
-
Affiliations:
- Vernadsky Institute of Geochemistry and Analytical Chemistry of Russian Academу of Sciences
- Issue: Vol 68, No 4 (2023)
- Pages: 409-423
- Section: Articles
- URL: https://ogarev-online.ru/0016-7525/article/view/134804
- DOI: https://doi.org/10.31857/S0016752523040106
- EDN: https://elibrary.ru/JUWHIZ
- ID: 134804
Cite item
Full Text
Abstract
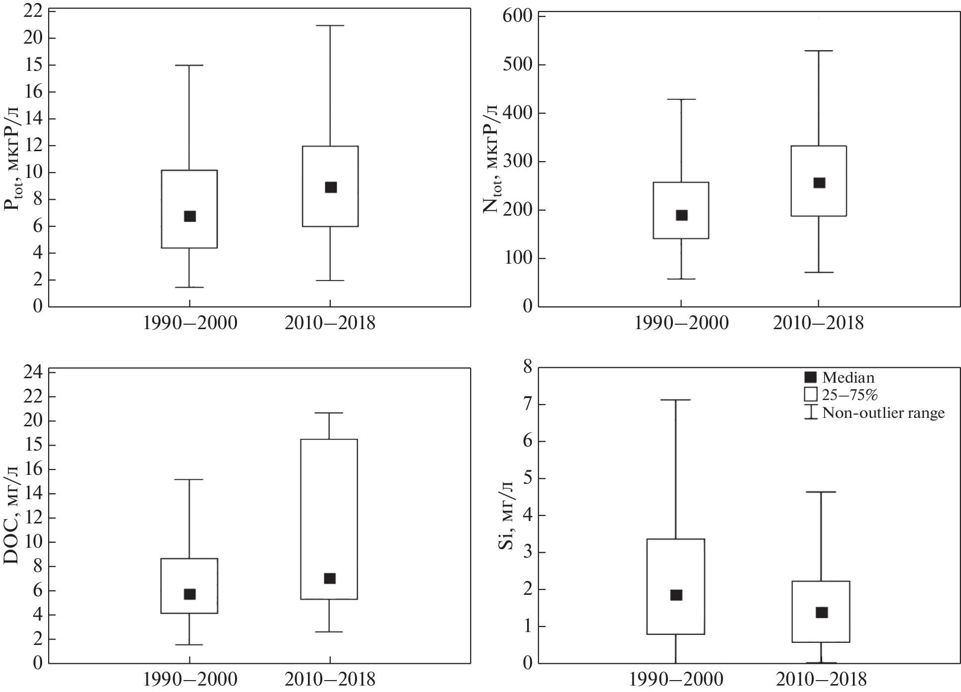
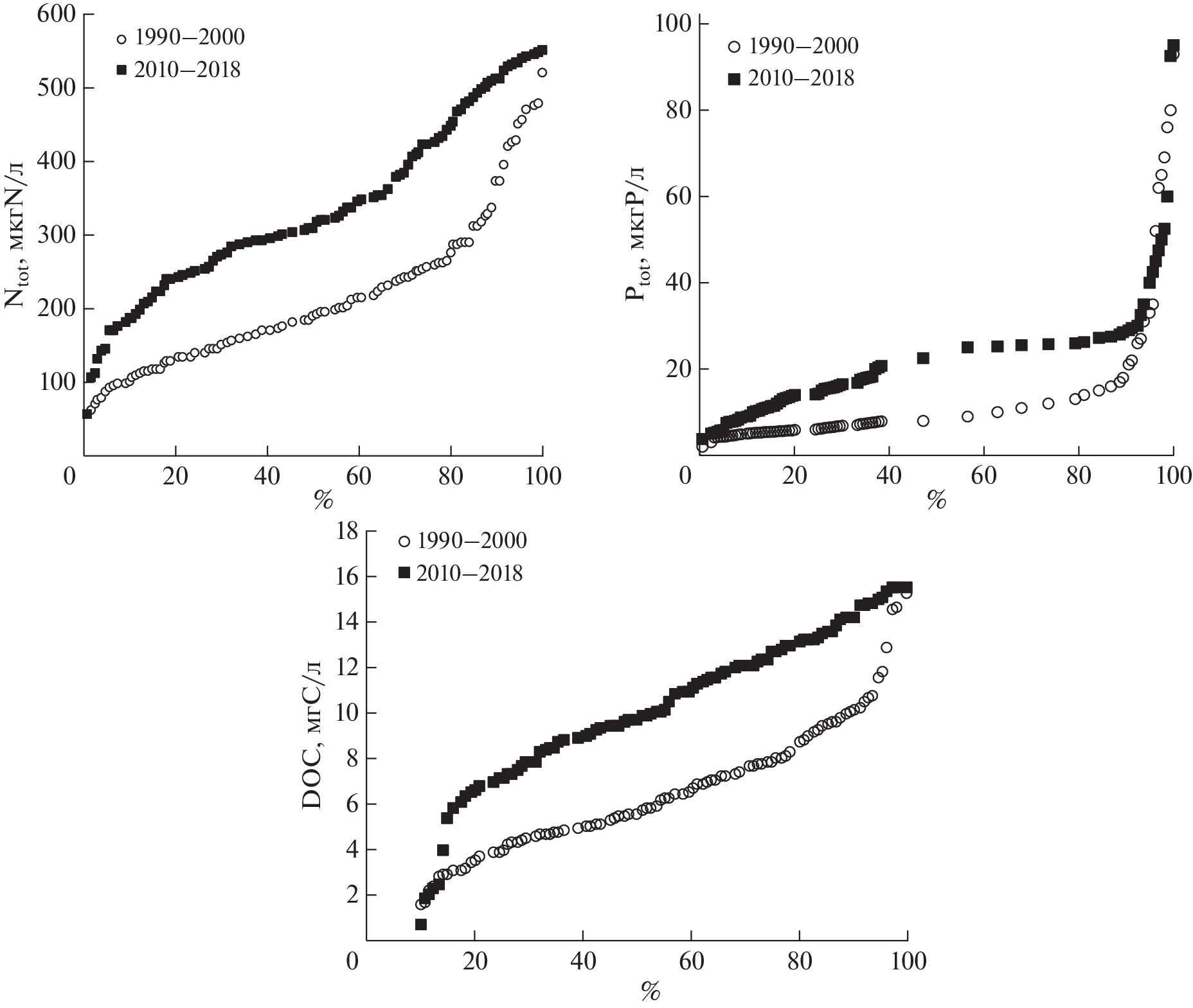
The problem of eutrophication of the waters in remote Arctic regions is discussed as a consequence of climate warming and global dispersion of phosphorus. The analysis of long-term monitoring results of water quality from 1990 through 2018 (once every four to five years) provides evidence that the total concentrations of phosphorus and nitrogen, as well as organic matter, had increased by the last decade, which is confirmed by reliable relationships with temperature conditions. The fluxes of phosphorus into lakes from drainage areas were calculated using V.V. Bouillon’s model and turned out to grow during the last decade. The trophic status indicator (TSI) of the lakes shows that the number of oligotrophic lakes has decreased and the number of meso- and eutrophic ones has increased even where no influence of any anthropogenic factors was identified.
Keywords
About the authors
T. I. Moiseenko
Vernadsky Institute of Geochemistry and Analytical Chemistry of Russian Academу of Sciences
Email: moiseenko.ti@gmail.com
Russia 119330 Moscow, Kosygina street, 19
M. M. Bazova
Vernadsky Institute of Geochemistry and Analytical Chemistry of Russian Academу of Sciences
Email: moiseenko.ti@gmail.com
Russia 119330 Moscow, Kosygina street, 19
E. O. Lummens
Vernadsky Institute of Geochemistry and Analytical Chemistry of Russian Academу of Sciences
Author for correspondence.
Email: moiseenko.ti@gmail.com
Russia 119330 Moscow, Kosygina street, 19
References
- Алимов А.Ф. (2000) Элементы теории функционирования водных экосистем. СПб.: Наука. 147 с.
- Алимов А.Ф., Голубков М.С. (2014) Эвтрофирование водоемов и структура сообщества гидробионтов. Биология внутренних вод. 3, 5-11.
- Архив погоды: Мурманская область (2019) Справочно-информационный портал “Погода и климат” (http://www. pogodaiklimat.ru/archive.php?id=ru®ion=51).
- Атлас Мурманской области (Карты) (1971) Ред. коллегия: гл. ред. канд. геогр. наук А.Г. Дуров и др. Москва, 1 атл, 33 с.
- Баранов И.В. (1961) Лимнологические типы озер СССР. Л.: Гидрометеоиздат, 275 с.
- Белых О.И., Гладких А.С., Сороковикова Е.Г., Тихонова И.В., Потапов С.А., Бутина Т.В. (2015) Сакситоксин-продуцирующие цианобактерии в озере Байкал. Сибирский экологический журн. 22(2), 229-237.
- Бульон В.В. (1998) Имеет ли место естественное эвтрофирование озер. Водные ресурсы. 25(6), 759-764.
- Бульон В.В. (2018) Биотический поток вещества и энергии в системе “озеро и его водосбор”. Успехи современной биологии. 138(5), 503-515.
- Вернадский В.И. (2003) История природных вод. В.И. Вернадский; отв. ред. С.Л. Шварцев, Ф.Т. Яншина. М.: Наука, 750 с
- Винберг Г.Г. (1960) Первичная продукция водоемов. Минск: Изд-во АН БССР, 329 с.
- Винберг Г.Г. (1974) Эвтрофирование и охрана вод. Гидробиологический журн. 10(2), 129-135.
- Войткевич Г.В., Кокин А.В., Мирошников А.Е., Прохоров В.Г. (1990) Справочник по геохимии. М.: Недра, 480 с.
- Гашкина Н.А., Моисеенко Т.И. (2010) Лимитирование трофности малых озер по основным биогенным элементам. ДАН. 435(3), 394-398.
- Голубков М.С., Голубков С.М., Умнова Л.П. (2008) Первичная продукция и проблемы эвтрофирования эстуарии р. Невы. В кн.: Экосистема эстуарии р. Невы. СПб.: Изд-во “Научн. центр. РАН”, 313-338.
- Даценко Ю.С. (2007) Эвтрофирование водохранилищ. Гидролого-гидрохимические аспекты, 252 с.
- Драбкова В.Г., Измайлова А.В. (2014) Оценка измерения состояния вод крупнейших озер и водохранилищ Российской Федерации. География и природные ресурсы. 4, 22-29.
- Жукова Т.В. (2013) Многолетняя динамика фосфора в Нарочанских озерах и факторы, ее определяющие. Водные ресурсы. 40(5), 468-468.
- Калинкина Н.М., Теканова Е.В., Сярки М.Т. (2017) Экосистема Онежского озера: реакция водных сообществ на антропогенные факторы и климатические изменения. Водное хозяйство России: проблемы, технологии, управление. 1, 4-18.
- Ладога: монография. (2013) Под ред. В.А. Румянцева, С.А. Кондратьева. СПб.: Нестор, 468 с.
- Моисеенко Т.И. (2018) Антропогенно-индуцированные процессы в водах суши арктических регионов и критерии их оценки. Водные ресурсы. 45(4), 1-12.
- Моисеенко Т.И., Базова М.М., Дину М.И., Гашкина Н.А., Кудрявцева Л.П. (2022) Изменение геохимии вод суши в условиях потепления климата и снижения выпадений кислот: восстановление или эволюция озер? Геохимия. 67(6), 1-18.
- Moiseenko T.I., Bazova M.M., Dinu M.I., Gashkina N.A., Kudryavtseva L.P. (2022) Changes in the geochemistry of land waters at climate warming and a decrease in acid deposition recovery of the lakes or their evolution? Geochem. Int. 60(7), 685-701.
- Неверова–Дзиопак Е. (2020) Оценка трофического состояния поверхностных вод: монография. СПб: СПбГАСУ. 176 с.
- Одум Ю. (1986) Экология. Т. 2. М.: Мир, 376 с.
- Першина Н.П., Полищук А.И. (2008) Оценка химического состава атмосферных осадков на территории Северо-западного федерального округа России и Финляндии по результатам международного Росийско-Финско-Норвежского проекта “Экогеохимия Баренцева Региона”. Труды главной геофизической обсерватории им. А.И. Воейкова. 558, 233-251.
- Россолимо Л.Л. (1977) Изменение лимнических систем под воздействием антропогенного фактора. М.: Наука, 205 с.
- Румянцев В.А., Драбкова В.Г., Измайлова А.В. (2014) Крупнейшие озёра мира и перспективы их практического использования. Вестник РАН. 84(1), 41-51.
- Румянцев В.А., Драбкова В.Г., Измайлова А.В. (2015) Озера европейской части России: монография. СПб.: ЛЕМ-А, 392 с.
- Рыжаков А.В., Сабылина А.В. (2015) Фосфатазная активность и скорость оборота фосфора в воде Ладожского и Онежского озер. Экологическая химия. 24(2), 111-115.
- Трифонова И.С., Афанасьева А.Л., Макарцева Е.С., Бардинский Д.С. (2016) Соотношение фито- и зоопланктона в разнотипных озерах Карельского перешейка. Известия Самарского научного центра Российской академии наук. 18(2-2), 515-519.
- Хендерсон-Селлерс Б., Маркленд Х.Б. (1990) Умирающие озера: Причины и контроль антропогенного эвтрофирования. Л.: Гидрометеоздат, 278 с.
- Цветкова Л.И. (1980) Оценка и прогноз эвтрофирования в слабоминерализованных нестратифицированных водоемах: дис. … д-ра биолог. наук. Л.: ЛИСИ, 239 с.
- Шаров А.Н. (2020) Фитопланктон холодноводных озерных экосистем под влиянием природных и антропогенных факторов. Автореферат на соискание докт. Биол. Наук. https://www.sciencemag.org/content/ 286/5442/1129.long
- Abid A.A., Gill S.S. (2014) Eutrophication: Causes, Consequences and Control Volume 2. Springer, Dordrecht, Heidelberg, London, N.Y., 262 p.
- Bakker C.K.G. (2021) Nutrients and biota in a lake system before and after restoration; a data analysis of the Swedish eutrophication case study Växjösjön. Master thesis in Sustainable Development at Uppsala University. 24, 36 p.
- Carlson R.E. (1977) A trophic state index for lakes. Limnol. Oceanogr. 22(1), 361-369.
- Cunha D.G.F., Casali S.P., De Falco P.B., Thornhill I., Loiselle S.A. (2017) The contribution of volunteer-based monitoring data to the assessment of harmful phytoplankton blooms in Brazilian urban streams. Sci. Total Environ. 584, 586-594.
- De Wit H.A., Valinia S., Weyhenmeyer G.A., Futter M.N., Kortelainen P., Austnes K., Hessen D.O., Räike A., Laudon H., Vuorenmaa J. (2016) Current browning of surface waters will be further promoted by wetter climate. Environ. Sci. Technol. Lett. 3(430-5).
- Dillon P.J., Rigler F.H. (1974) A test of a simple nutrient budget model predicting the phosphorus concentration in lake water. J Fish Res. Board Can. 31, 1771-1778.
- Driscoll C.T., Driscoll K.M., Fakhraei H., Civerolo K. (2016) Long-term temporal trends and spatial patterns in the acid-base chemistry of lakes in the Adirondack region of N.Y. in response to decreases in acidic deposition. Atmos. Environ. 146, 5-14.
- Eaton A., Arnold E., Archie A.E., Rice E.W., Clesceri L.S. (1992) Standard Methods for the Examination of Water and Wastewater. 17th edn. Washington, DC: American Public Health Association (APHA).
- Hakanson L., Boulion V.V. (2001) A practical approach to predict the duration of the growing season for European lakes Ecol. Model. 140, 235-245.
- Hakanson L., Boulion V.V. (2002) The Lake Foodweb – modelling predation and abiotic/biotic interactions. Leiden: Backhuys Publishers, 344 p.
- Henriksen A., Kämäri I., Posh M., Wilander A. (1992) Critical loads of acidity: Nordic surface waters. Ambio. 21, 356-363.
- Huang C., Wang X., Yang H., Li Y., Wang Y., Chen X., Xu L. (2014) Satellite data regarding the eutrophication response to human activities in the plateau lake Dianchi in China from 1974 to 2009. Sci. Total Environ. 485–486, 1-11.
- Huang J., Xu C.-C., Ridoutt B.G., Wang X.-C., Ren P.-A. (2017) Nitrogen and phosphorus losses and eutrophication potential associated with fertilizer application to cropland in China. J. Cleaner Prod. 159, 171-179.
- ICP-water report: Acidification of surface water in Europe and North America (2007): Trends, biological recovery and heavy metals.
- Kane D.D., Conroy J.D., Richards R.P., Baker D.B., Culver D.A. (2014) Re-eutrophication of Lake Erie: Correlations between tributary nutrient loads and phytoplankton biomass. J. Great Lakes Res. 40(3), 496-501.
- Karydis M. (2009) Eutrophication, assessment of coastal waters based on indicators: a literature review. Global Nest Journal. 10(10), 20-21.
- Lepori F., Roberts. J.J. (2017) Effects of internal phosphorus loadings and food-web structure on the recovery of a deep lake from eutrophication. J. Great Lakes Res. 43(2), 255-264.
- Lerman A., Mackenzie F.T., May Ver L. (2004) Coupling of the perturbed C-N-P cycles in industrial time. Aquat. Geochem. 10, 3-32.
- Liu Y., Chen W., Li D., Huang Z., Shen Y., Liu Y. (2011) Cyanobacteria-/cyanotoxin-contaminations and eutrophication status before Wuxi Drinking Water Crisis in Lake Taihu, China. J. Environ. Sci. 23(4), 575-581.
- Mekonnen, M.M., Hoekstra, A.Y. (2018) Global anthropogenic phosphorus loads to freshwater and associated grey water footprints and water pollution levels: A high resolution global study. Water Resour. Res. 54, 345-358.
- Moiseenko T.I., Dinu M.I., Bazova M.M., Heleen A. de Wit. (2015) Long-term changes in the water chemistry of subarctic lakes as a response to reduction of air pollution: case study in the Kola North, Russia. Water, Air, Soil Pollut. 226(98), 1-12.
- Moiseenko T., Sharov A. (2019) Large Russian lakes Ladoga, Onega, and Imandra under strong pollution and in the period of revitalization: a review. Geosciences. 9(12), 492.
- Monteith D.T., Stoddard J.L., Evans C.D., de Wit H.A., Forsius M., Hogasen T., Wilander A., Skjelkvale B.L., Jeffries D.S., Vuorenmaa J., Keller B., Kopacek J. and Vesely J. (2007) Dissolved organic carbon trends resulting from changes in atmospheric deposition chemistry. Nature. 450, 537-539.
- Mosello R., Bianchi M. (1994–1997) Geiss HAQUACON-MedBas “Acid rain analysis”, 1996. Ispra.
- Neverova–Dziopak E. (2010) Podstawy zarzadzania procesem eutrofizacji antropogenicznej. Krakow: AGH, 132 p.
- Toledo P. Jr., Talartico M., Chinez S.J., Agudo E.G. (1983) A Aplicacao de Modelos Simplificados para a Avaliacao do Processo de Eutrofizacao em Lagos e Reservatórios Tropicais. In: Congresso Brasileiro de Engenharia Sanitária e Ambiental, 12, 34.
- San Clements M.D., Fernandez I.J., Lee R.H., Roberti J.A., Adams M.B., Rue G.A., McKnight D.M. (2018) Long-Term Experimental Acidification Drives Watershed Scale Shift in Dissolved Organic Matter Composition and Flux Environ. Sci. Technol. 52, 2649-2657.
- Schindler D.W. (1971) Carbon, nitrogen, phosphorus and the eutrophication of freshwater lakes. J. Phycol. 7, 321-329.
- Standart methods for the examination of water and wasterwater. (1992) Wash. (D.C.): Amer, Publ, Health Assoc.
- Sterner R.W., Andersen T., Elser J.J., Hessen D.O., Hood J.M., McCauley E., Urabe J. (2008) Limnol. Oceanogr. 53(3), 1169.
- Stoddard J.L., Van Sickle J., Herlihy A.T., Brahney J., Paulsen S., Peck D.V., Mitchell R., Pollard A.I. (2016) Continental-scale increase in lake and stream phosphorus: Are oligotrophic systems disappearing in the United States? Environ. Sci. Technol. 50, 3409-3415.
- Strock K.E, Nelson S.J., Kahl J.S., Saros J.E., Mc Dowell W.H. (2014) Decadal trends reveal recent acceleration in the rate of recovery from acidification in the northeastern U.S. Environ. Sci. Technol. 48, 4681-4689.
- Strock K.E., Theodore N., Gawley W.G., Ellsworth A.C., Saros J.E. (2017) Increasing dissolved organic carbon concentrations in northern boreal lakes: implications for lake water transparency and thermal structure. J. Geophys. Res. Biogeosci. 122, 1022-35.
Supplementary files






