Sr, Nd, Pb, and Os Isotope Systematics and Derivation of Mesozoic Plume-Related Basalts of Antarctica: Karoo-Maud and Kerguelen Plume Realm
- Authors: Sushchevskay N.M.1, Belyatsky B.V.2, Leitchenkov G.L.3,4, Krymsky R.S.2
-
Affiliations:
- Vernadsky Institute of Geochemistry and Analytical Chemistry (GEOKHI), Russian Academy of Sciences
- Karpinsky All-Russia Research Geological Institute (VSEGEI)
- St-Petersburg State University
- Gramberg All-Russia Research Institute of Geology and Mineral Resources of the World Ocean (VNIIOkeangeologiya)
- Issue: Vol 68, No 1 (2023)
- Pages: 48-68
- Section: Articles
- URL: https://ogarev-online.ru/0016-7525/article/view/134779
- DOI: https://doi.org/10.31857/S0016752523010077
- EDN: https://elibrary.ru/IAATYE
- ID: 134779
Cite item
Full Text
Abstract
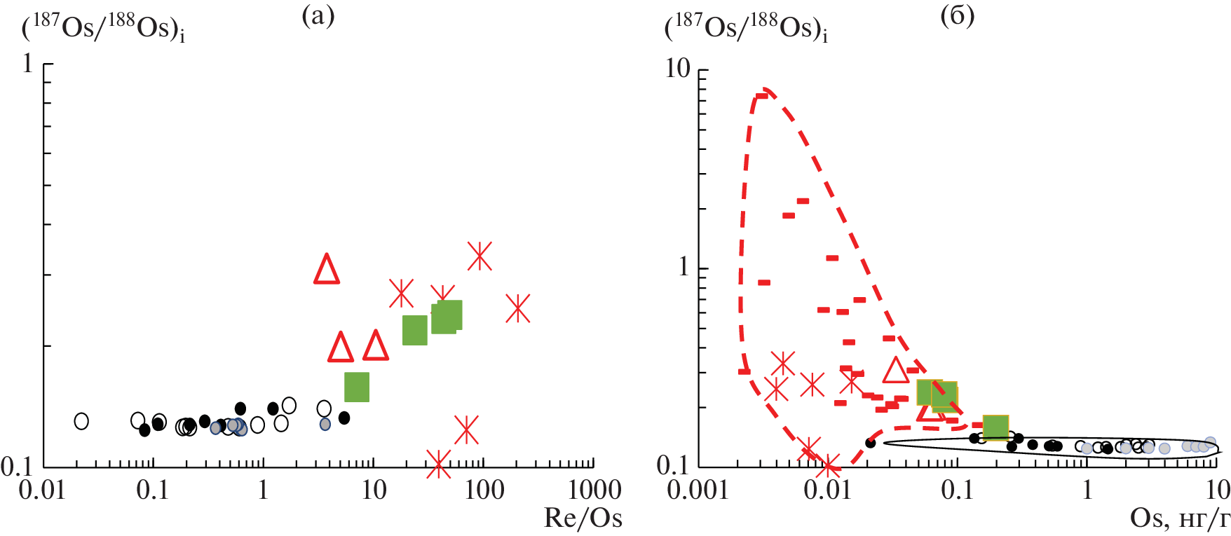
The study of Re–Os isotopic systematics of the Mesozoic magmas in East Antarctica and its comparison with Sr–Nd–Pb–Os published data allowed us to reveal the main features of Antarctic magmatism associated with the activity of the Karoo–Maud (Dronning Maud Land (DML), Karoo and Ferrar provinces) and the Kerguelen (Lambert rift area) plumes. It is shown that a melt source of the 180-Ma Karoo–Maud plume could be enriched lithospheric mantle. Variations of the 187Os/188Os ratio in the range of 0.1242–0.1426 characterize almost all types of melts in the Karoo and DML provinces, including both high- and low-Ti magmas as well as high-Mg ferropicrites produced by melting of mantle pyroxenite. This observation is consistent with previous assumption that magmas derived from pyroxenite mantle at the initial stage of plume impact represented melts of deep lithospheric fragments of ancient Gondwana paleocontinent that were entrapped by plume. Thereby, mantle heterogeneity recorded in the Nd–Pb–Sr isotopic compositions of the basalts is not expressed in the systematic variations of Re–Os isotope system. The magmatic source of the basalts of the Ferrar province differs from the source of Mesozoic magmatism in the Karoo and DML provinces by great variations in the 187Os/188Os ratio: from 0.1 to 0.31, and by the lower osmium contents, with limited variations of other isotopic systems, indicating an admixture of enriched EM-II source. This is consistent with inferred subduction reworking of the mantle of the western Antarctic margin (Sushchevskaya et al., 2022). Ultramafic picritic magmas from the Lambert Glacier area are characterized by a radiogenic osmium isotopic composition: 187Os/188Os 0.1582–0.2388. Source of these magmas could be ancient depleted mantle, which later experienced mantle metasomatism due to the multiple interactions with fluid-saturated melts. Picritic melts of the paleorift zone of the Lambert Glacier are close to a magma source of the Karoo and DML provinces in terms of Sr-Nd isotopic composition, but differ in more radiogenic lead.
About the authors
N. M. Sushchevskay
Vernadsky Institute of Geochemistry and Analytical Chemistry (GEOKHI), Russian Academy of Sciences
Email: nadyas@geokhi.ru
Moscow, 119991 Russia
B. V. Belyatsky
Karpinsky All-Russia Research Geological Institute (VSEGEI)
Email: bbelyatsky@mail.ru
St. Petersburg, 199106 Russia
G. L. Leitchenkov
St-Petersburg State University; Gramberg All-Russia Research Institute of Geology and Mineral Resources of the World Ocean (VNIIOkeangeologiya)
Email: german_l@mail.ru
St. Petersburg, 199034 Russia; St. Petersburg, 190121 Russia
R. Sh. Krymsky
Karpinsky All-Russia Research Geological Institute (VSEGEI)
Author for correspondence.
Email: Robert_Krymsky@vsegei.ru
St. Petersburg, 199106 Russia
References
- Андроников А.В. (1987) Минералы глубинного происхождения из щелочно-ультраосновных пород Восточной Антарктиды. В сб.: Геолого-геофизические исследования в Антарктике. Л.: ПГО Севморгеология, 48-53.
- Беляцкий Б.В., Андроников А.В. (2009) Возраст верхней мантии района озера Бивер (Восточная Антарктика): Sm-Nd изотопная систематика мантийных ксенолитов. Проблемы Арктики и Антарктики. 78(4), 146-169.
- Буйкин А.И., Соловова И.П., Верховский А.Б., Когарко Л.Н., Аверин А.А. (2014) PVT –параметры флюидных включений и изотопный состав С, О, N, Ar в ксенолите гранатового лерцолита из района Оазиса Джетти, Восточная Антарктида. Геохимия. (10), 867-884.
- Buikin A.I., Solovova I.P., Verchovsky A.B., Kogarko L.N., Averin A.A. (2014) PVT-parameters of fluid inclusions and the C, O, N, and Ar isotopic composition in a garnet lherzolite xenolith from the Oasis Jetty, East Antarctica. Geochem. Int. 52(10), 805-821.
- Крымский Р.Ш., Сергеев Д.С., Брюгманн Г.Э., Шевченко С.С., Антонов А.В., Беляцкий Б.В., Сергеев С.А. (2011) Опыт изучения изотопного состава осмия и распределение элементов платиновой группы в перидотитах литосферной мантии восточной Антарктиды. Региональная геология и металлогения. (46), 51-60.
- Крымский Р.Ш., Антонов А.В., Беляцкий Б.В., Сущевская Н.М., Сергеев С.А. (2019) Возраст и эволюция литосферной мантии Восточно-Антарктического кратона: изотопный состав осмия и распределение элементов платиновой группы в ксенолитах щпинелевых лерцолитов. ДАН. 48 (6), 726-731.
- Куринин Р.Г., Гринсон А.С., Дун Цзунь Ин (1988) Рифтовая зона ледника Ламберта как возможная щелочно-ультраосновная провинция в Восточной Антарктиде. ДАН СССР. 299, 944-947.
- Лайба А.А., Андроников А.В., Егоров Л.С., Федоров Л.В. (1987) Штокообразные и дайковые тела щелочно-ультраосновного состава в Оазисе Джетти (горы Принс-Чарльз, Восточная Антарктида). В сб.: Геолого-геофизические исследования в Антарктике. Л.: ПГО Севморгеология, 35-46.
- Лейченков Г.Л., Сущевская Н.М., Беляцкий Б.В. (2003) Геодинамика атлантического и индийского секторов Южного океана. ДАН. 391(5), 675-678.
- Лейченков Г.Л., Дубинин Е.П., Грохольский А.Л., Агранов Г.Д. (2018) Формирование и эволюция микроконтинентов плато Кергелен, южная часть Индийского океана. Геотектоника. (5), 3-21.
- Меланхолина Е.Н., Сущевская Н.М. (2018) Тектоно-магматическое развитие континентальных окраин южной Атлантики и раскрытие Океана. Геотектоника. (2), 20-41.
- Меланхолина Е.Н., Сущевская Н.М. (2019) Тектоника пассивных окраин Южного Океана в регионе Африки – Восточной Антарктиды. Геотектоника. (4), 25-42.
- Меланхолина Е.Н. (2021) Соотношение поверхностной и глубинной тектоника в пределах африканского региона (по геолого-геофизическим данным). Геотектоника. (6), 98-108.
- Пучков В.Н. (2009) “Великая дискуссия” о плюмах: так кто же все-таки прав? Геотектоника. (1), 3-22.
- Соболев А.В., Криволуцкая Н.А., Кузьмин Д.В. (2009) Петрология родоначальных расплавов и мантийных источников магм Сибирской трапповой провинции. Петрология. 17(3), 276-310.
- Соловова И.П., Когарко Л.Н., Аверин А.А. (2015) Условия образования сульфидов в метасоматизированной мантии под Восточной Антарктидой. Петрология. 23(6), 563-588.
- Сущевская Н.М., Беляцкий Б.В., Лейченков Г.Л., Лайба А.А. (2009) Эволюция мантийного плюма Кару-Мод в Антарктике и его влияние на магматизм ранних стадий раскрытия Индийского океана. Геохимия. (1), 3-20.
- Sushchevskaya N.M., Belyatsky B.V., Leichenkov G.L., Laiba A.A. (2009) Evolution of the Karoo–Maud mantle plume in Antarctica and its influence on the magmatism of the early stages of Indian Ocean opening. Geochem. Int. 47(1), 1-17.
- Сущевская Н.М., Мигдисова Н.А., Антонов А.В., Крымский Р.Ш., Беляцкий Б.В., Кузьмин Д.В., Бычкова Я.В. (2014) Геохимические особенности лампроитовых лав четвертичного вулкана Гауссберг (восточная Антарктида) – результат влияния мантийного плюма Кергелен. Геохимия. (12), 1077-1098.
- Sushchevskaya N.M., Migdisova N.A., Antonov A.V., Krymsky R.Sh., Belyatsky B.V., Kuzmin D.V., Bychkova Ya.V. (2014) Geochemical features of the Quaternary lamproitic lavas of Gaussberg volcano, East Antarctica: result of the impact of the Kerguelen plume. Geochem. Int. 52(12), 1030-1048.
- Сущевская Н.М., Беляцкий Б.В., Дубинин Е.П., Левченко О.В. (2017) Эволюция плюма Кергелен и его влияние на магматизм континентальных и океанических областей восточной Антарктиды. Геохимия. (9), 782-799.
- Sushchevskaya N.M., Belyatsky B.V., Dubinin E.P., Levchenko O.V. (2017) Evolution of the Kerguelen plume and its impact upon the continental and oceanic magmatism of East Antarctica. Geochem. Int. 55(9), 775-791.
- Сущевская Н.М., Беляцкий Б.В., Ткачева Д.А., Лейченков Г.Л., Кузьмин Д.В., Жилкина А.В. (2018) Раннемеловой щелочной магматизм восточной Антарктиды (специфика, условия формирования, взаимосвязь с плюмом Кергелен). Геохимия. (11), 1005-1025.
- Sushchevskaya N.M., Belyatsky B.V., Tkacheva D.A., Leitchenkov G.L., Kuzmin D.V., Zhilkina A.V. (2018) Early Cretaceous alkaline magmatism of East Antarctica: peculiarities, conditions of formation, and relationship with the Kerguelen plume. Geochem. Int. 56(11), 1051-1070.
- Сущевская Н.М., Беляцкий Б.В., Лейченков Г.Л., Батанова В.Г., Соболев А.В. (2019) Изотопная характеристика юрского плюмового магматизма в провинции Альманнррюгген (Земля Королевы Мод, Восточная Антарктида). ДАН. 486(1), 97-101.
- Сущевская Н.М., Соболев А.В., Лейченков Г.Л., Батанова В.Г., Беляцкий Б.В., Жилкина А.В. (2021) Роль пироксенитовой мантии в формировании расплавов мезозойского плюма Кару (по результатам изучения магматических пород западной части Земли Королевы Мод). Геохимия. 66(4), 308-328.
- Sushchevskaya N.M., Sobolev A.V., Leitchenkov G.L., Batanova V.G., Belyatsky B.V., Zhilkina A.V. (2021) Role of pyroxenite mantle in the formation of the Mesozoic Karoo plume melts: evidence from the Western Queen Maud Land, East Antarctica. Geochem. Int. 59(4), 357-376.
- Сущевская Н.М., Лейченков Г.Л., Беляцкий Б.В., Жилкина А.В. (2022) Эволюция плюма Кару-Мод и его влияние на формирование мезозойских магматических провинций в Антарктиде. Геохимия. 67(6), 503-525.
- Sushchevskaya N.M., Leitchenkov G.L., Belyatsky B.V., Zhilkina A.V. (2022) Evolution of the Karoo-Maud plume and formation of Mesozoic igneous provinces in Antarctica. Geochem. Int. 60(6), 509-529.
- Anderson D.L. (2000) The thermal state of the upper mantle; no role for mantle plumes. Geophys. Res. Lett. 27, 3623-3626.
- Andronikov A.V., Sheraton J.W. (1996) The redox state of the lithospheric upper mantle beneath the East Antarctic Shield. Terra Antarct. 3, 39-48.
- Andronikov A.V., Andronikova I.E., Sidorinova T. (2021) Trace-element geochemistry of sulfides in upper mantle lherzolite xenoliths from East Antarctica. Minerals. 11, 773. https://doi.org/10.3390/min1107077
- Armienti P., Longo P. (2011) Three-dimensional representation of geochemical data from a multidimensional compositional space. Inter. J. Geosci. 2, 231-239.
- Arndt N.T., Christensen U. (1992) The role of lithospheric mantle in continental flood volcanism: thermal and geochemical constraints. J. Geophys. Res. 97(B7), 10 967-10 981.
- Austermann J., Kaye B.T., Mitrovica J.X., Huybers P. (2014) A statistical analysis of the correlation between large igneous provinces and lower mantle seismic structure. Geophys. J. Inter. 197, 1-9.
- Baes M., Sobolev S., Gerya T., Brune S. (2020) Plume-induced subduction initiation: single-slab or multi-slab subduction? Geochem. Geophys. Geosyst. 21, e2019GC008663. https://doi.org/10.1029/2019GC008663
- Betts P.G., Mason W.G., Moresi L. (2012) The influence of a mantle plume head on the dynamics of a retreating subduction zone. Geology 40(8), 739-742.
- Birck J.L., Barman M.R., Capmas F. (1997) Re-Os isotopic measurements at the femtomole level in natural samples. Geostand. Newslett. 20, 19-27.
- Botcharnikov R.E., Holtz H., Mungall J.E., Beermann O., Linnen R.L., Garbe-Schönberg D. (2013) Behavior of gold in a magma at sulfide-sulfate transition: revisited. Am. Mineral. 98, 1459-1464.
- Brauns C.M., Hergt J.M., Woodhead J.D., Maas R. (2000) Os isotopes and the origin of the Tasmanian dolerites. J. Petrol. 41, 905-918.
- Brenan J.M. (2008) Re–Os fractionation by sulfide melt-silicate melt partitioning: a new spin. Chem. Geol. 248, 140-165.
- Buiter S.J.H., Torsvik T.H. (2014) A review of Wilson cycle plate margins: a role for mantle plumes in continental break-up along sutures? Gondwana Res. 26, 627–653.
- Burgess S.D., Bowring S.A., Fleming T.H., Elliot D.H. (2015) High-precision geochronology links the Ferrar large igneous province with early-Jurassic anoxia and biotic crisis. Earth Planet. Sci. Lett. 415, 90-99.
- Burke K. (2011) Plate tectonics, the Wilson cycle, and mantle plumes: geodynamics from the top. Ann. Rev. Earth Planet. Sci. 39, 1-29.
- Burke K., Dewey J.F. (1973) Plume-generated triple junctions: key indicators in applying plate tectonics to old rocks. J. Geol. 81, 406-433.
- Burke K., Steinberger B., Torsvik T.H., Smethurst M.A. (2008) Plume generation zones at the margins of large low shear velocity provinces on the core–mantle boundary. Earth Planet. Sci. Lett. 265, 49-60.
- Burton K.W., Gannoun A., Birck J.-L., Allegre C.-J., Schiano P., Clocchiatti R., Alard O. (2002) The compatibility of rhenium and osmium in natural olivine and their behavior during mantle melting and basalt genesis. Earth Planet. Sci. Lett. 198, 63-76.
- Cai R., Liu J., Pearson D.G., Li D., Xu Y., Liu S.-A., Chu Z., Chen L.-H., Li Sh. (2021) Oxidation of the deep big mantle wedge by recycled carbonates: constraints from highly siderophile elements and osmium isotopes. Geochim. Cosmochim. Acta. 295, 207-223.
- Campbell I.H. (2005) Large igneous provinces and the mantle plume hypothesis. Elements. 1, 265-269.
- Campbell I.H. (2007) Testing the plume theory. Chem. Geol. 241, 153-176.
- Campbell I.H., Griffiths R.W. (1990) Implications of mantle plumes for the evolution of flood basalts. Earth Planet. Sci. Lett. 99, 79-93.
- Campbell I.H., Kerr A.C. (2007) The great plume debate: testing the plume theory. Chem. Geol. 241(3–4), 149-152.
- Carlson R.W. (1991) Physical and chemical evidence on the cause and source characteristics of flood basalt volcanism. Australian J. Earth Sci. 38, 525-544.
- Carlson R.W. (2005) Application of the Pt–Re–Os isotopic systems to mantle geochemistry and geochronology. Lithos. 82, 249-272.
- Chalapathi Rao N.V., Srivastava R.K., Sinha A.K., Ravikant V. (2014) Petrogenesis of Kerguelen mantle plume linked Early Cretaceous ultrapotassic intrusive rocks from the Gondwana sedimentary basins, Damodar Valley, Eastern India. Earth-Sci. Rev. 136, 96-120.
- Chesley J., Righter K., Ruiz J. (2004) Large-scale mantle metasomatism: a Re–Os perspective. Earth Planet. Sci. Lett. 219, 49-60.
- Choi S.H., Mukasa S.B., Ravizza G., Fleming T.H., Marsh B.D., Bédard J.H.J. (2019) Fossil subduction zone origin for magmas in the Ferrar Large Igneous Province, Antarctica: evidence from PGE and Os isotope systematics in the Basement Sill of the McMurdo Dry Valleys. Earth Planet. Sci. Lett. 506, 507-519.
- Coffin M.F., Pringle M.S., Duncan R.A., Gladezenko T.P., Storey M., Muller R.D., Gahagan L.A. (2002) Kerguelen hotspot magma output since 130 Ma. J. Petrol. 43, 1121-1139.
- Dale C.W., Gannoun A., Burton K.W., Argles T.W., Parkinson I.J. (2007) Rhenium-osmium isotope and elemental behavior during subduction of oceanic crust and the implications for mantle recycling. Earth Planet. Sci. Lett. 253, 211-225. https://doi.org/10.1016/j.epsl.2006.10.029
- Dale C.W., Macpherson C.G., Pearson D.G., Hammond S.J., Arculus R.J. (2012) Inter-element fractionation of highly siderophile elements in the Tonga arc due to flux melting of a depleted source. Geochim. Cosmochim. Acta. 89, 202-225.
- Dalziel I.W.D., Lawver L.A., Murphy J.B. (2000) Plumes, orogenesis, and supercontinental fragmentation. Earth Planet. Sci. Lett. 178, 1-11.
- Day J.M.D. (2013) Hotspot volcanism and highly siderophile elements. Chem. Geol. 341, 50-74.
- Deplech G., Lorand J.-P., Gregoire M., Cottin J.-Y., O’Reilly S. (2012) In-situ geochemistry of sulfides in highly metasomatized mantle xenoliths from Kerguelen, southern Indian Ocean. Lithos. 154, 296-314. https://doi.org/10.1016/j.lithos.2012.07.018
- Duncan R.A., Hooper P.R., Rehacek J., Mash J.S., Duncan A.R. (1997) The timing and duration of the Karoo igneous event, southern Gondwana. J. Geophys. Res., Solid Earth. 102, 18127-18138.
- East M., Müller R.D., Williams S., Zahirovic S. (2020) Subduction history reveals Cretaceous superflux as a possible cause for the mid-Cretaceous plume pulse and supeswell events. Gondwana Res. 79, 125-139.
- Ellam R.M., Cox K.G. (1989) A Proterozoic lithospheric source for Karoo magmatism: evidence from the Nuanetsi picrites. Earth Planet. Sci. Lett. 92, 207-218.
- Ellam R.M., Carlson R.W., Shirey S.B. (1992) Evidence from Re–Os isotopes for plume–lithosphere mixing in Karoo flood basalt genesis. Nature. 359(6397), 718-721.
- Elliot D.H., Fleming T.H. (2000) Weddell triple junction: the principal focus of Ferrar and Karoo magmatism during initial breakup of Gondwana. Geology. 28, 539-542.
- Elliot D.H., Fleming T.H. (2004) Occurrence and dispersal of magmas in the Jurassic Ferrar large igneous province, Antarctica. Gondwana Res. 7, 223-237.
- Elliot D.H., Fleming T.H. (2008) Physical volcanology and geological relationships of the Jurassic Ferrar Large Igneous Province, Antarctica. J. Volcanol. Geotherm. Res. 172, 20-37.
- Elliot D.H., Fleming T.H. (2018) The Ferrar Large Igneous Province: field and geochemical constraints on supra-crustal (high-level) emplacement of the magmatic system. GSL Spec. Publ. 463, 41-58.
- Elliot D.H., Fleming T.H. (2021) Ferrar Large Igneous Province: petrology. GSL Memoirs. 55, 93-119. https://doi.org/10.1144/M55-2018-39
- Ernst W.G. (2007) Speculations on evolution of the terrestrial lithosphere-asthenosphere system – plumes and plates. Gondwana Res. 11, 38-49.
- Ernst R.E., Buchan K.L. (2001) Large mafic magmatic events through time and links to mantle-plume heads. GSA Spec. Paper. 352, 483-575.
- Ernst R.E., Buchan K.L. (2002) Maximum size and distribution in time and space of mantle plumes: evidence from large igneous provinces. J. Geodynamics. 34, 309-342.
- Ernst R.E., Buchan K.L. (2003) Recognizing mantle plumes in the geological record. Ann. Rev. Earth Planet. Sci. 31, 469-523.
- Ernst R.E., Liikane D.A., Jowitt S.M., Buchan K.L., Blanchard J.A. (2019) A new plumbing system framework for mantle plume-related continental large igneous provinces and their mafic-ultramafic intrusions. J. Volcanol. Geotherm. Res. 384, 75-84.
- Farnetani C.G., Richards M.A. (1994) Numerical investigations of the mantle plume initiation model for flood basalt events. J. Geophys. Res. 99(B7), 13813-13833.
- Ferraccioli F., Jones P.C., Curtis M.L., Leat P.T., Riley T.R. (2005) Tectonic and magmatic patterns in the Jutulstraumen rift (?) region, East Antarctica, as imaged by high-resolution aeromagnetic data. Earth Planet. Space. 57, 767-780.
- Fletcher M., Wyman D.A., Zahirovic S. (2020) Mantle plumes, triple junctions and transforms: a reinterpretation of Pacific Cretaceous-Tertiary LIPs and the Laramide connection. Geosci. Front. 11, 1133-1144.
- Foley S.F., Andronikov A.V., Jacob D.E., Melzer S. (2006) Evidence from Antarctic mantle peridotite xenoliths for changes in mineralogy, geochemistry and geothermal gradients beneath a developing rift. Geochim. Cosmochim. Acta. 70, 3096-3120.
- Foley S.F., Andronikov A.V., Halpin J.A., Daczko N.R., Jacob D.E. (2021) Mantle rocks in East Antarctica. GSL Memories. 56. https://doi.org/10.1144/M56-2020-8
- Fonseca R.O.C., Mallmann G., O’Neill HSt.C.O., Campbell I.H. (2007) How chalcophile is rhenium? An experimental study of the solubility of Re in sulphide mattes. Earth Planet. Sci. Lett. 260, 537-548.
- Foulger G.R. (2010) Plates vs plumes: a geological controversy. Wiley-Blackwell, Chichester UK, 364 p.
- Foulger G.R., Natland J.H., Presnell D.C., Anderson D.L. (2005) Plates, Plumes, and Paradigms. GSA Spec. Paper. 388, 881 p.
- Frey F.A., McNaughton N.J., Nelson D.R., de Laeter J.R., Duncan R.A. (1996) Petrogenesis of the Bunbury Basalt, Western Australia: interaction between the Kerguelen plume and Gondwana lithosphere. Earth Planet. Sci. Lett. 144, 163-183.
- Gannoun A., Burton K.W., Day J.M.D., Harvey J., Schiano P., Parkinson I. (2016) Highly siderophile element and Os isotope systematics of volcanic rocks at divergent and convergent plate boundaries and in intraplate settings. Rev. Mineral. Geochem. 81, 651-724.
- Ghatak A., Basu A.R. (2013) Isotopic and trace element geochemistry of alkalic-mafic-ultramafic-carbonatitic complexes and flood basalts in NE India: origin in a heterogeneous Kerguelen plume. Geochim. Cosmochim. Acta. 115, 46-72.
- Gerya T.V., Stern R.J., Baes M., Sobolev S.V., Whattam S.A. (2015) Plate tectonics on the Earth triggered by plume-induced subduction initiation. Nature. 527, 221-225.
- Giacomoni P.P., Bonadiman C., Casetta F., Faccini B., Ferlito C., Ottolini L., Zanetti A., Coltorti M. (2020) Long-term storage of subduction-related volatiles in Northern Victoria Land lithospheric mantle: insight from olivine-hosted melt inclusions from McMurdo basic lavas (Antarctica). Lithos. 378–379, 105826. https://doi.org/j.lithos.2020.105826
- Goodge J.W. (2020) Geological and tectonic evolution of the Transantarctic Mountains, from ancient craton to recent enigma. Gondwana Res. 80, 50-122. https://doi.org/10.1016/ j.gr.2019.11.001
- Hagen-Peter G., Cottle J.M. (2016) Synchronous alkaline and subalkaline magmatism during the late Neoproterozoic-early Paleozoic Ross orogeny, Antarctica: insights into magmatic sources and processes within a continental arc. Lithos. 262, 677-698.
- Hart S.R. (1984) A large-scale isotope anomaly in the southern hemisphere mantle. Nature. 309, 753-757.
- Harvey J., Gannoun A., Burton K.W., Rogers N.W., Schiano P., Alard O. (2010) Unravelling the effects of melt depletion and secondary infiltration on mantle Re–Os isotopes beneath the French Massif Central. Geochim. Cosmochim. Acta. 74, 293-320.
- Harvey J., Dale C.W., Gannoun A., Burton K.W. (2011) Osmium mass balance in peridotite and the effects of mantle-derived sulphides on basalt petrogenesis. Geochim. Cosmochim. Acta. 75, 5574-5596.
- Hassan R., Flament N., Gurnis M., Bower D.J., Müller D. (2015) Provenance of plumes in global convection models. Geochem. Geophys. Geosyst. 16, 1465-1489. https://doi.org/10.1002/2015GC005751
- Hastie A.R., Kerr A.C. (2010) Mantle plume or slab window?: physical and geochemical constraints on the origin of the Caribbean oceanic plateau. Earth-Sci. Rev. 98, 283-293. https://doi.org/10.1016/j.earscirev.2009.11.001
- He D., Liu Y., Moynier F., Foley S.F., Chen Ch. (2020) Platinum group element mobilization in the mantle enhanced by recycled sedimentary carbonate. Earth Planet. Sci. Lett. 541, 116262. https://doi.org/10.1016/j.epsl.2020.116262
- Heinonen J.S., Luttinen A.V. (2008) Jurassic dikes of Vestfjella, western Dronning Maud Land, Antarctica: geochemical tracing of ferropicrite sources. Lithos 105(3–4), 347-364.
- Heinonen J.S., Carlson R.W., Luttinen A.V. (2010) Isotopic (Sr, Nd, Pb, and Os) composition of highly magnesian dikes of Vestfjella, western Dronning Maud Land, Antarctica: a key to the origins of the Jurassic Karoo large igneous province? Chem. Geol. 277, 227-244.
- Heinonen J.S., Carlson R.W., Riley T.R., Luttinen A.V., Horan M.F. (2014) Subduction-modified oceanic crust mixed with a depleted mantle reservoir in the sources of the Karoo continental food basalt province. Earth Planet. Sci. Lett. 394, 229-241.
- Heinonen J.S., Carlson R.W., Luttinen A.V., Bohrson W.A. (2016) Enriched continental flood basalts from depleted mantle melts: modeling lithospheric contamination of Karoo lavas from Antarctica. Contrib. Mineral. Petrol. 171, 121-129.
- Heinonen J.S., Luttinen A.V., Whitehouse M.J. (2018) Enrichment of 18O in the mantle sources of the Antarctic portion of the Karoo large igneous province. Contrib. Mineral. Petrol. 173, 21-37. https://doi.org/10.1007/s00410-018-1447-4
- Hergt J.M., Chappell B.W., McCulloch M.T., McDougall I., Chivas A.R. (1989) Geochemical and isotopic constraints on the origin of the Jurassic dolerites of Tasmania. J. Petrol. 30, 841-883.
- Hergt J.M., Peate D.W., Hawkesworth C.J. (1991) The petrogenesis of mesozoic Gondwana low-Ti flood basalts. Earth Planet. Sci. Lett. 105, 134-148.
- Heron P.J. (2019) Mantle plumes and mantle dynamics in the Wilson cycle. GSL Spec. Publ. 470, 87-103. https://doi.org/10.1144/SP470-2018-97
- Herzberg C., Asimow P.D., Arndt N., Niu Y., Lesher C.M., Fitton J.G., Cheadle M.J., Saunders A.D. (2007) Temperatures in ambient mantle and plumes: constraints from basalts, picrites, and komatiites. Geochem. Geophys. Geosyst. 8(2), Q02006, 1-34. https://doi.org/10.1029/ 2006GC001390
- Hill R.I., Campbell I.H., Davies G.F., Griffiths R.W. (1992) Mantle plumes and continental tectonics. Science. 256(5054), 186-193.
- Hinsbergen van D.J.J., Steinberger B., Guilmette C., Maffione M., Gurer D., Peters K., Plunder A., McPhee P.J., Gaina C., Advokaat E.L., Vissers R.L.M., Spakman W. (2021) A record of plume-induced plate rotation triggering subduction initiation. Nature Geosci. 14, 626-630. https://doi.org/10.1038/s41561-021-00780-7
- Hofmann A.W., Hart S.R. (2007) Another nail in which coffin? Science. 315, 39-40.
- Ingle S., Weis D., Scoates J.S., Frey F.A. (2002) Relationship between the earlier Kerguelen plume and continental flood basalts of the paleo-eastern Gondwanan margins. Earth Planet. Sci. Lett. 197, 35-50.
- Ingle S., Scoates J.S., Weis D., Brügmann G., Kent R.W. (2004) Origin of Cretaceous continental tholeiites in southwestern Australia and eastern India: insights from Hf and Os isotopes. Chem. Geol. 209, 83-106.
- Ionov D.A., Griffin W.L., O’Reilly S.Y. (1997) Volatile-bearing minerals and lithophile trace elements in the upper mantle. Chem. Geol. 141, 153-184.
- Ivanov A.V., Meffre S., Thompson J., Corfu F., Kamenetsky V.S., Kamenetsky M.B., Demonterova E.I. (2017) Timing and genesis of the Karoo-Ferrar large igneous province: new high precision U-Pb data for Tasmania confirm short duration of the major magmatic pulse. Chem. Geol. 455, 32-43.
- Jellinek A.M., Manga M. (2004) Links between long-lived hot spots, mantle plumes, D”, and plate tectonics. Rev. Geophys. 42, 1-35, RG3002. https://doi.org/10.1029/ 2003RG000144
- Jourdan F., Bertrand H., Sharer U., Blichert-Toft J., Feraud G., Kampunzu A.B., Le Gall B., Watkeys M.K. (2007) Major and trace element and Sr, Nd, Hf, and Pb isotope compositions of the Karoo Large Igneous Province, Botswana-Zimbabwe: lithosphere vs mantle plume contribution. J. Petrol. 48, 1043-1077.
- Kent R. (1991) Lithospheric uplift in eastern Gondwana: evidence for a long-lived mantle plume system? Geology. 19, 19-23.
- Kent R.W., Storey M., Saunders A.D. (1992) Large igneous provinces: sites of plume impact or plume incubation? Geology. 20, 891-894.
- Kerr R.A. (2006) Rising plumes in Earth’s mantle: phantom or real? Science. 313, 726.
- Kerr R.A. (2013) The deep Earth machine is coming together. Science. 340, 22-24. https://doi.org/10.1126/science.340.6128.22
- Kerr A.C., Saunders A.D., Tarney J., Berry N.H., Hards V.L. (1995) Depleted mantle-plume geochemical signatures: no paradox for plume theories. Geology. 23(9), 843-846.
- Koptev A., Burov E., Calais E., Leroy S., Gerya T., Guillou-Frottier L., Cloetingh S. (2016) Contrasted continental rifting via plume-craton interaction: applications to Central East African Rift. Geosci. Front. 7, 221-236. https://doi.org/10.1016/j.gsf.2015.11.002
- Korenaga J. (2008) Plate tectonics, flood basalts and the evolution of Earth’s oceans. Terra Nova. 20, 419-439. https://doi.org/10.1111/j.1365-3121.2008.00843.x
- Korenaga J. (2011) Velocity-depth ambiguity and the seismic structure of large igneous province: a case study from the Ontog Java Plateau. Geophys. J. Int. 185, 1022-1036. https://doi.org/10.1111/j.1365-246X.2011.04999.x
- Korenaga J., Kelemen P.B., Holbrook W.S. (2002) Methods for resolving the origin of large igneous provinces from crustal seismology. J. Geophys. Res. 107(B9), 2178. https://doi.org/10.1029/2001JB001030
- Kranendonk M.J. (2010) Two types of Archean continental crust: plume and plate tectonics on early Earth. Am. J. Sci. 310, 1187-1209. https://doi.org/10.2475/ 10.2010.01
- Kumar A., Dayal A.M., Padmakumari V.M. (2003) Kimberlite from Rajmahal magmatic province: Sr-Nd-Pb isotopic evidence for Kerguelen plume derived magmas. Geophys. Res. Lett. 30(20), 2053. https://doi.org/10.1029/2003GL018462
- Kyle P.R., Elliot D.H., Sutter J.F. (1981) Jurassic Ferrar Supergroup tholeiites from the Transantarctic Mountains, Antarctica, and their relation to the initial fragmentation of Gondwana. In: Cresswall M.M., Vella P. (eds) Gondwana Five: Proceedings of the Fifth Gondwana Symposium, Wellington, New Zealand, Rotterdam: A.A. Balkema, 283-287.
- Leitchenkov G., Guseva J., Gandyukhin V., Grikurov G., Kristoffersen Y., Sand M., Golynsky A., Aleshkova N. (2008) Crustal structure and tectonic provinces of the Riiser-Larsen Sea area (East Antarctica): results of geophysical studies. Marine Geophys. Res. 29, 135-158.
- Li Zh.-X., Zhong Sh. (2009) Supercontinent-superplume coupling, true polar wander and plume mobility: plate dominance in whole-mantle tectonics. Phys. Earth Planet. Inter. 176, 143-156. https://doi.org/10.1016/j.pepi.2009.05.004
- Liu J., Rudnick R.L., Walker R.J., Gao Sh., Wu F., Piccoli Ph.M. (2010) Processes controlling highly siderophile element fractionations in xenolithic peridotites and their influence on Os isotopes. Earth Planet. Sci. Lett. 297, 287-297. https://doi.org/10.1016/j.epsl.2010.06.030
- Lohmann F.C., Hort M., Morgan J.Ph. (2009) Flood basalts and ocean island basalts: a deep source or shallow entrainment? Earth Planet. Sci. Lett. 284, 553-563. https://doi.org/10.1016/j.epsl.2009.05.025
- Lorand J.-P., Alard O., Luguet A., Keays R.R. (2003) Sulfur and selenium systematics of the subcontinental lithospheric mantle: inferences from the Massif Central xenolith suite (France). Geochim. Cosmochim. Acta. 67, 4137-4151.
- Lorand J.-P., Luguet A., Alard O. (2013) Platinum-group element systematics and petrogenetic processing of the continental upper mantle: a review. Lithos. 164–167, 2-21. https://doi.org/10.1016/j.lithos.2012.08.017
- Luguet A., Reisberg L. (2016) Highly siderophile element and 187Os signatures in non-cratonic basalt-hosted peridotite xenoliths: unraveling the origin and evolution of the post-Archean lithospheric mantle. Rev. Mineral. Geochem. 81, 305-367.
- Lustrino M., Foulgrer G.R., Hole M., Natland J.H. (2022) Constraints on the formation of basaltic magmas. Comment on “Lithosphere thickness controls the extent of mantle melting, depth of melt extraction and basalt compositions in all tectonic settings on Earth – a review and new perspectives” by Yaoling Niu. Earth-Sci. Rev.https://doi.org/10.1016/j.earscirev.2022.103942
- Luttinen A.V. (2018) Bilateral geochemical asymmetry in the Karoo large igneous province. Sci. Rep. 8, 5223-5234.
- Luttinen A.V., Furnes H. (2000) Flood basalts of Vestfjella: Jurassic magmatism across an Archaean-Proterozoic lithospheric boundary in Dronning Maud Land, Antarctica. J. Petrol. 41, 1271-1305. https://doi.org/10.1093/petrology/41.8.1271
- Luttinen A.V., Leat P.T., Furnes H. (2010) Björnnutane and Sembberget basalt lavas and the geochemical provinciality of Karoo magmatism in western Dronning Maud Land, Antarctica. J. Volcanol. Geotherm. Res. 198, 1-18. https://doi.org/10.1016/j.jvolgeores.2010.07.011
- Luttinen A.V., Heinonen J.S., Kurhila M., Jourdan F., Mänttäri I., Vuori S.K., Huhma H. (2015) Depleted mantle-sourced CFB magmatism in the jurassic Africa–Antarctica Rift: petrology and 40Ar/39Ar and U/Pb chronology of the Vestfjella dyke swarm, Dronning Maud Land, Antarctica. J. Petrol. 56, 919-952. https://doi.org/10.1093/petrology/egv022
- Mallmann G., O’Neill H.St.C. (2007) The effect of oxygen fugacity on the partitioning of Re between crystals and silicate melt during mantle melting. Geochim. Cosmochim. Acta. 71, 2837-2857.
- McNutt M.K. (2006) Another nail in the plume coffin? Science. 313, 394-396.
- Meisel Th., Walker R.J., Irving A.J., Lorand J.-P. (2001) Osmium isotopic compositions of mantle xenoliths: a global perspective. Geochim. Cosmochim. Acta. 65, 1311-1323.
- Meisel Th., Reisberg L., Moser J., Carignan J., Melcher F., Brügmann G. (2003) Re–Os systematics of UB-N, a serpentinized peridotite reference material. Chem. Geol. 201, 161-179.
- Melchiorre M., Coltorti M., Bonadiman C., Faccini B., O’Reilly S.Y, Pearson N.J. (2011) The role of eclogite in the rift-related metasomatism and Cenozoic magmatism of Northern Victoria Land, Antarctica. Lithos. 124, 319-330.
- Molzahn M., Reisberg L., Worner G. (1996) Os, Sr, Nd, Pb, O isotope and trace element data from the Ferrar flood basalts, Antarctica: evidence for an enriched subcontinental lithospheric source. Earth Planet. Sci. Lett. 144, 529-546.
- Morgan W.J. (1971) Convective plumes in the lower mantle. Nature. 230, 42-44.
- Mortimer N., Parkinson D., Raine J.I., Adams C.J., Graham I.J., Oliver P.J., Palmer K. (1995) Ferrar magmatic province rocks discovered in New Zealand: implications for Mesozoic Gondwana geology. Geology. 23, 185-188.
- Mungall J.E., Hanley J.J., Arndt N.T., Debecdelievre A. (2006) Evidence from meimechites and other low-degree mantle melts for redox controls on mantle-crust fractionation of platinum group elements. PNAS. 103, 12695-12700.
- Mungall J.E., Brenan J.M. (2014) Partitioning of platinum-group elements and Au between sulfide liquid and basalt and the origins of mantle-crust fractionation of the chalcophile elements. Geochim. Cosmochim. Acta. 125, 265-289.
- Natali C., Beccaluva L., Bianchini G., Siena F. (2017) Comparison among Ethiopia-Yemen, Deccan, and Karoo continental flood basalts of central Gondwana: insights on lithosphere versus asthenosphere contributions in compositionally zoned magmatic provinces. GSA Spec. Paper. 526, 191-215. https://doi.org/10.1130/2017.2526(10)
- Neumann E.-R., Svensen H., Galerne C.Y., Planke S. (2011) Multistage evolution of dolerites in the Karoo Large Igneous Province, Central South Africa. J. Petrol. 52, 959-984.
- Niu Y.L. (2021) Lithosphere thickness controls the extent of mantle melting, depth of melt extraction and basalt compositions in all tectonic settings on Earth – a review and new perspectives. Earth-Sci. Rev. 217, 103614.
- Niu Y.L. (2022) Paradigm shift for controls on basalt magmatism: discussion with Lustrino et al. on the paper I recently published in Earth-Science Reviews. Earth-Sci. Rev. https://doi.org/10.1016/j.earthscirev.2022.103943
- Norman M.D, Garcia M.O., Kamenetsky V.S., Roger L., Nielsen R.L. (2002) Olivine-hosted melt inclusions in Hawaiian picrites: equilibration, melting, and plume source characteristics. Chem. Geol. 183, 143-168.
- Olierook H.K.H., Merle R.E., Jourdan F. (2017) Toward a Greater Kerguelen large igneous province: evolving mantle source contributions in and around the Indian Ocean. Lithos. 282–283, 163-172.
- Panter K.S., Martin A.P. (2021) West Antarctic mantle deduced from mafic magmatism. GSL Memoirs. 56, 1-17. https://doi.org/10.1144/M56-2021-10
- Panter K.S., Li Y., Smellie J.L., Blusztajn J., ReindelJ., Odegaard K., Spicuzza M.J., Hart S. (2022) Mantle sources and melting processes beneath East Antarctica: geochemical and isotopic (Sr, Nd, Pb, O) characteristics of alkaline and tholeiite basalt from the Earth’s southernmost (87° S) volcanoes. Contrib. Mineral. Petrol. 177, 51. https://doi.org/10.1007/s00410-022-01914-9
- Pernet-Fisher J.F., Howarth G.H., Pearson D.G., Woodland S., Barry P.H., Pokhilenko N.P., Pokhilenko L.N., Agashev A.M., Taylor L.A. (2015) Plume impingement on the Siberian SCLM: evidence from Re–Os isotope systematics. Lithos 218–219, 141-154. https://doi.org/10.1016/j.lithos.2015.01.010
- Radhakrishna T., Soumya G.S., Satyanarayana K.V.V. (2017) Palaeomagnetism of the Cretaceous lamproites from Gondwana basin of the Damodar Valley in India and migration of the Kerguelen plume in the Southeast Indian Ocean. J. Geodynamics. 109, 1-9.
- Rapela C.W., Pankhurst R.J., Fanning C.M., Herve F. (2005) Pacifc subduction coeval with the Karoo mantle plume: the early Jurassic subcordilleran belt of northwestern Patagonia. GSL Spec. Publ. 246, 217-239.
- Reisberg L. (2021) Osmium isotope constraints on formation and refertilization of the non-cratonic continental mantle lithosphere. Chem. Geol. 574, 120245. https://doi.org/10.1016/j.chemgeo.2021.120245
- Richards M.A., Duncan R.A., Courtillot V.E. (1989) Flood basalts and hot-spot tracks: plume heads and tails. Science. 246, 103-107.
- Righter K., Hauri E.K. (1998) Compatibility of rhenium in garnet during mantle melting and magma genesis. Science. 280, 1737-1741.
- Riley T.R., Jordan T.A., Leat P.T., Curtis M.L., Millar I.L. (2020) Magmatism of the Weddell Sea rift system in Antarctica: implications for the age and mechanism of rifting and early stage of the Gondwana breakup. Gondwana Res. 79, 185-196.
- Riley T.R., Leat P.T., Curtis M.L., Millar I.L., Duncan R.A., Fazel A. (2005) Early–Middle Jurassic dolerite dykes from western Dronning Maud Land (Antarctica): identifying mantle sources in the Karoo Large Igneous Province. J. Petrol. 46, 1489-1524.
- Roy-Barman M., Allegre C.J. (1995) 187Os/186Os in oceanic island basalts: tracing oceanic crust recycling in the mantle. Earth Planet. Sci. Lett. 129, 145-161.
- Saunders A.D., England R.W., Reichow M.K., White R.V. (2005) A mantle plume origin for the Siberian traps: uplift and extension in the West Siberian Basin, Russia. Lithos. 79, 407-424. https://doi.org/10.1016/j.lithos.2004.09.010
- Scott J.M., Pearson D.G., Liu J., Auer A., Cooper A.F., Li D., Palmer M.C., Read S.E., Reid M.R., Woodland S.J. (2021) Osmium isotopes in peridotite xenoliths reveal major mid-Proterozoic lithosphere formation under the Transantarctic Mountains. Geochim. Cosmochim. Acta. 312, 25-43. https://doi.org/10.1016/j.gca.2021.08.009
- Segev A. (2002) Flood basalts, continental breakup and the dispersal of Gondwana: evidence for periodic migration of upwelling mantle flows (plumes). EGU Stephean Muller Spec. Publ. Ser. 2, 171-191.
- Senda R., Shimizu K., Suzuki K. (2016) Ancient depleted mantle as a source of boninites in the Izu-Bonin-Mariana arc: evidence from Os isotopes in Cr-spinel and magnetite. Chem. Geol. 439, 110-119. https://doi.org/10.1016/j.chemgeo.2016.06.018
- Shirey S.B., Walker R.J. (1998) The Re–Os isotope system in cosmochemistry and high temperature geochemistry. Ann. Rev. Earth Planet. Sci. 26, 423-500.
- Sleep N.H. (1990) Hotspots and mantle plumes – some phenomenology. J. Geophys. Res. Solid Earth. 95(B5), 6715-6736.
- Sleep N.H. (2006) Mantle plumes from top to bottom. Earth-Sci. Rev. 77, 231-271.
- Smellie J.L., Panter K.S., Geyer A. (2021) Introduction to volcanism in Antarctica: 200 million years of subduction, rifting and continental break-up. GSL Memoirs. 55, 1-6. https://doi.org/10.1144/M55-2020-14
- Sobolev S.V., Sobolev A.V., Kuzmin D.V., Krivolutskaya N.A., Petrunin A.G. Arndt N.T., Radko V.A., Vasiliev Y.R. (2011) Linking mantle plumes, large igneous provinces and environmental catastrophes. Nature. 477, 312-316. https://doi.org/10.1038/nature10385
- Storey B.C. (1995) The role of mantle plumes in continental breakup: case histories from Gondwanaland. Nature. 377, 301-308. https://doi.org/10.1038/377301a0
- Storey M., Kent R.W., Saunders A.D., Salters V.J., Hergt J., Whitechurch H., Sevigny J.H., Thirlwall M.F., Leat P., Ghose N.C., Gifford M. (1992) Lower Cretaceous volcanic rocks on continental margins and their relationship to the Kerguelen Plateau. Proc. Ocean Drill. Prog. Sci. Results. 120, 33–53.
- Sushchevskaya N.M., Belyatsky B.V., Laiba A.V. (2011) Origin, distribubution and evolution of plume magmatism in East Antarctica. In: Volcanology (ed. Fr. Stoppa), INTECH, Rijeka, Croatia, 3-29. ISBN: 978-953-307-434-4.
- Suzuki K., Senda R., Shimizu K. (2011) Osmium behavior in a subduction system elucidated from chromian spinel in Bonin Island beach sands. Geology. 39, 999-1002.
- Torsvik T.H., Smethurst M.A., Burke K., Steinberger B. (2006) Large igneous provinces generated from the margins of the large low-velocity provinces in the deep mantle. Geophys. J. Int. 167, 1447-1460.
- Torsvik T.H., Steinberger B., Ashwal L.D., Doubrovine P.V.,Tronnes R.G. (2016) Earth evolution and dynamics – A tribute to Kevin Burke. Canadian J. Earth Sci. 53(11), 1073-1087.
- Waters C.L., Day J.M.D., Watanabe S., Sayit K., Zanon V., Olson K.M., Hanan B.B., Widom E. (2020) Sulfide mantle source heterogeneity recorded in basaltic lavas from the Azores. Geochim. Cosmochim. Acta. 268, 422-445. https://doi.org/10.1016/j.gca.2019.10.012
- White R.S., McKenzie D.P. (1989) Magmatism at rift zones: the generation of volcanic continental margins and flood basalts. J. Geophys. Res. Solid Earth. 94(B6), 7685-7729.
- White R.S., McKenzie D.P. (1995) Mantle plumes and flood basalts. J. Geophys. Res. 100, 17543-17585.
- Widom E. (2011) Recognizing recycled osmium. Geology. 39, 1087-1088.
Supplementary files









