Alu polymorphisms of autophagy and apoptosis regulatory genes as human lifespan factors
- Authors: Erdman V.V.1,2, Karimov D.D.1,3, Tuktarova I.А.1, Petintseva A.A.1, Timasheva Y.R.1,2, Nasibullin T.R.1
-
Affiliations:
- Institute of Biochemistry and Genetics – Subdivision of the Ufa Federal Research Centre of the Russian Academy of Sciences
- Bashkir State Medical University
- Ufa Research Institute of Occupational Medicine and Human Ecology
- Issue: Vol 61, No 1 (2025)
- Pages: 91-102
- Section: ГЕНЕТИКА ЧЕЛОВЕКА
- URL: https://ogarev-online.ru/0016-6758/article/view/285542
- DOI: https://doi.org/10.31857/S0016675825010092
- EDN: https://elibrary.ru/VEFHND
- ID: 285542
Cite item
Full Text
Abstract
To assess the contribution to survival of Alu-insertions in the ACE, PLAT, COL13A1, LAMA2, CDH4, SEMA6A, PKHD1L1, STK38L, HECW1, TEAD1 genes, which are candidates of aging and longevity, amid the senile physiological and pathological phenotype, was carried out the association analysis with life expectancy. Survival and mortality data were obtained for 1,382 elderly people, who were selected from the sample of Tatars residing in the Republic of Bashkortostan (total 1790 people from 18 to 109 years). Mortality risk was higher among carriers of the STK38L Alu-insertion genotype (Ya5ac2145*II, HR = 2.07, P = 0.02). Alu-insertion in the HECW1 and TEAD1 genes has demonstrated a survival protection effect (Ya5NBC182*II, HR = 0.71, P = 0.038 and Ya5ac2013*II, HR = 0.74, P = 0.035 respectively). The survival amid the persons with various clinical phenotypes was associated with the Alu polymorphism of the SEMA6A (Yb8NBC597*ID, HR = 0.54, P = 0.016 for the cerebrovascular diseases), TEAD1 (Ya5ac2013*II, HR = 0.57, P = 0.016 for the cardiovascular pathologies) and LAMA2 (Ya5-MLS19*ID, HR = 0.36, P = 0.03 for multimorbidity status) genes. Thus, the genes involved in the regulation of autophagy and apoptosis were associated with survival and longevity.
Keywords
Full Text
Продолжительность жизни человека определяется комплексом средовых, поведенческих и наследственных факторов. При этом динамический характер эндогенных механизмов, регулирующих скорость старения организма, обусловливает специфические особенности поздних этапов онтогенеза. Абсолютное и относительное количество изменений в организме, вызванных повреждением молекул, клеток, органов и их систем, в совокупности приводит к снижению функциональной активности и нарушению гомеостаза как всего организма, так и его частей, без возможности полного выздоровления. Соответственно, процесс старения характеризуется повышением риска развития большого числа заболеваний и ростом вероятности смерти от всех причин [1, 2]. Важно отметить, что доля возрастных патологий, среди которых ведущими являются болезни системы кровообращения, дыхания, онкологические заболевания, варьирует в разных возрастных группах [3].
Изучение роли полиморфизма генома в формировании возраст-ассоциированных заболеваний выступает одним из ключевых направлений молекулярно-генетических исследований детерминации продолжительности жизни. В частности, полиморфное состояние ДНК-сайтов, содержащих мобильные генетические элементы, ассоциировано с повышением нестабильности генома. Инсерции транспозонов могут вызывать различные мутации, хромосомные перестройки, влиять на эпигенетический ландшафт эукариотического генома, процессы регуляции транскрипции и экспрессию генов. Данные эффекты инсерционных событий в большей степени обнаруживаются на поздних этапах онтогенеза [4]. Наиболее распространенным семейством транспозонов человека являются Alu-повторы. Локализованные в генах ключевых сигнальных путей Alu-полиморфные варианты вовлечены в физиологические и патологические внутриклеточные процессы [5, 6]. Ранее нами были установлены ассоциации с долголетием Alu-полиморфных локусов в генах, кодирующих протеинкиназу STK38L, протеинлигазу HECW1, белок кальциевого канала PKHD1L1, клеточный рецептор SEMA6A, транскрипционный фактор TEAD1, ферменты плазмы ACE и PLAT, а также белки адгезии CDH4 и внеклеточного матрикса COL13A1 и LAMA2 [7–9]. Участие данных генов в развитии возраст-зависимых заболеваний, в том числе сердечно-сосудистых, нейродегенеративных, онкологических, а также болезней обмена веществ, установлено в ряде исследований [10–20]. В то же время их вклад в выживаемость, в том числе при различных клинических фенотипах и, более того, в возрасте, превышающем среднестатистический показатель, ранее не был изучен. Alu-транспозоны являются одними из ключевых эндогенных факторов эволюционной адаптации и развития человека как вида [21, 22]. Тем самым данный вид полиморфизма генома можно рассматривать как важный молекулярно-генетический предиктор выживаемости в условиях старческого физиологического фона и, более того, патологического коморбидного состояния.
В настоящей работе мы проанализировали вклад Alu-полиморфных вариантов генов, кодирующих структурные компоненты клетки, межклеточных взаимодействий, а также вовлеченных в ключевые сигнальные пути клеточной активности, в выживаемость среди лиц преклонного возраста и долгожителей.
Материалы и методы
Выборка из жителей Республики Башкортостан формировалась на протяжении 2001–2015 гг. и включала 1790 человек в возрасте от 18 до 109 лет, татар по этнической принадлежности. Критериями включения лиц среднего возраста (18–59 лет) в исследование являлись отсутствие в медицинском анамнезе сахарного диабета, перенесенного инфаркта и/или инсульта, аутоиммунных и онкологических заболеваний. В отношении людей старшей возрастной когорты (60–89 лет) допускалось наличие в анамнезе атеросклероза, кардиосклероза и церебросклероза. В группу долгожителей включались все лица, достигшие 90 лет.
Образцы ДНК получали методом фенольно-хлороформной экстракции из 8 мл цельной венозной крови. Alu-полиморфные локусы в генах ACE, PLAT, COL13A1, LAMA2, CDH4, SEMA6A, PKHD1L1, STK38L, HECW1, TEAD1 были выбраны в качестве генетических предикторов выживаемости на основании сведений об их функциональной значимости и ранее обнаруженной связи с возрастными заболеваниями и долголетием [7–20]. Генотипирование проводили методом ПЦР с последующим разделением амплифицированных фрагментов в 1%-ном агарозном геле. Условия идентификации Alu-полиморфных локусов приведены в табл. 1.
Таблица 1. Alu-полиморфные локусы, вошедшие в исследование, их локализация, условия амплификации и длина амплифицируемых фрагментов
Alu-элемент | Ген, локализация* | Последовательности праймеров | Температура отжига, оС | Аллели (длина фрагмента, п.н.) |
Ya5ACE | ACE 17q23.3 | F 5’-ctg gag acc act ccc atc ctt tct-3’ R 5’-gat gtg gcc atc aca ttc gtc aga t-3’ | 68 | I (490) D (190) |
Ya5NBC182 | HECW1 7p13 | F 5’-gaa gga cta tgt agt tgc aga agc-3’ R 5’-aac cca gtg gaa aca gaa gat g-3’ | 64 | I (563) D (287) |
Yb8NBC597 | SEMA6A 5q23.1 | F 5’-tga ggt gtt gca gac gat gt-3’ R 5’-cgc atg ctt tag aga ata ccc-3’ | 63 | I (429) D (108) |
Yb8NBC516 | CDH4 20q13.33 | F 5’-ggg ctc agg gat act atg ctc-3’ R 5’-gcc tag gcc tac cac tca ga-3’ | 60 | I (445) D (124) |
Ya5ac2145 | STK38L 12p11.23 | F 5’-tgt tct aat gac cat gcc tac tt-3’ R 5’-tgc ctt tag gaa gct aca gat tta-3’ | 60 | I (465) D (135) |
Yb8AC702 | PKHD1L1 8q23.2 | F 5’-tgt ttg gaa ata agc caa aca at-3’ R 5’-ggg tag caa cct ttt tca tct tt-3’ | 60 | I (482) D (161) |
Ya5ac2013 | TEAD1 11p15.2 | F 5’-tgg cag att ctg act ggc ta-3’ R 5’-cac gta agg tga aaa ggg ga-3’ | 60 | I (489) D (212) |
TPA25 | PLAT 8p11.21 | F 5’-caa cca atg aaa acc act ga-3’ R 5’-gtt ctc ctg aca tct tta ttg-3’ | 60 | I (518) D (217) |
Ya5ac1986 | COL13A1 10q22.1 | F 5’-tct agt ggg atg agg ata ac-3’ R 5’-tgt gcc atg ggg taa gaa ac-3’ | 60 | I (431) D (134) |
Ya5-MLS19 | LAMA2 6q22.33 | F 5’-cta tga cgg agt aaa aag aag t-3’ R 5’-gaa aga gtg cca acc ctg tcc-3’ | 63 (7 циклов) 60 (22 цикла) | I (401) D (106) |
Примечание. F – прямой праймер, R – обратный праймер; п.н. – пар нуклеотидов; * – данные базы UCSC.
Информация о выживаемости и смертности всех лиц старше 60 лет и 115 человек старше 45 лет, вошедших ранее в группу исследования (всего 1382 человека), собиралась в период с 2022 по 2023 г. путем опроса их родственников. На момент завершения данного этапа работы (30 декабря 2023 г.) были получены сведения о статусе выживаемости 1069 человек (процент отклика составил 77.35%), из них 944 человека умерли, 125 были живы. Исследуемая выборка была дифференцирована по возрасту на контрольную группу, группу лиц старческого возраста и долгожителей. Верхняя граница для контрольной группы соответствовала показателю средней продолжительности жизни населения Республики Башкортостан, который был установлен на основании официальных данных Федеральной службы государственной статистики (https://rosstat.gov.ru/, дата обращения 25 января 2024 г.). Характеристика сформированных групп представлена в табл. 2.
Таблица 2. Характеристика группы исследования
Группы | n (% всех случаев) | Возрастной диапазон, лет | M ± σ |
Всего | 1790 (100) | 18–109* | 67.85 ± 21.22 |
мужчины женщины | 809 (45.2) 981 (54.8) | ||
Возрастные группы | |||
Средний возраст | 631 | 18–65 (для мужчин) 18–74 (для женщин) | 43.93 ± 15.86 |
Старческий возраст | 724 | 66–89 (для мужчин) 75–89 (для женщин) | 84.11 ± 10.45 |
Долгожители | 435 | 90–114 | 94.5 ± 3.61 |
Статус выживаемости | |||
Всего | 1069 | 45–114 | 83.3 ± 10.8 |
живые | 125 (11.7) | 45–96 | 70.82 ± 11.8 |
умершие | 944 (88.3) | 45–114 | 85.59 ± 9.35 |
Причины смерти: | |||
старость | 352 (37.29) | 70–114 | 88.96 ± 6.21 |
ССЗ | 241 (25.53) | 46–104 | 84.67 ± 8.74 |
ЦВЗ | 166 (17.59) | 53–105 | 87.09 ± 8.63 |
ХОБЛ в анамнезе | 26 (2.75) | 53–98 | 83.52 ± 8.19 |
СД2Т в анамнезе | 10 (1.06) | 59–97 | 83.45 ± 8.19 |
рак | 41 (4.34) | 45–99 | 78.82 ± 11.83 |
другие причины | 42 (4.45) | 49–97 | 78.98 ± 13.35 |
полиморбидность | 66 (6.99) | 59–100 | 84.22 ± 8.54 |
Примечание. ССЗ – сердечно-сосудистые заболевания; ЦВЗ – цереброваскулярные заболевания; ХОБЛ – хроническая обструктивная болезнь легких; СД2Т – сахарный диабет второго типа; n – объем выборки (группы); M – средний возраст, σ – стандартное отклонение; * – сведения о возрасте на момент сбора материала.
Данные исследования обрабатывали на платформе IBM SPSS V22.0 (Чикаго, Иллинойс, США), а также в программной среде Python [23]. Частоты всех Alu-полиморфных вариантов генов были проверены на соответствие равновесию Харди–Вайнберга в контрольной группе. Изменение с возрастом распределения частот генотипов по каждому выбранному Alu-полиморфному локусу оценивали путем попарного сравнения возрастных групп с помощью χ2-теста Пирсона. Связь между Alu-полиморфными вариантами и смертностью от всех причин устанавливали с применением регрессии пропорциональных рисков Кокса. Кроме того, был проведен стратифицированный анализ выживаемости с учетом пола и по причинам смертности от различных патологий возраста. Кривые показателя относительного риска смерти (hazard ratio – HR) построены с использованием пакетов lifelines и mathplotlib.
Результаты
В этнической группе татар, проживающих в Республике Башкортостан, охарактеризовано распределение частот аллелей и генотипов по Alu-полиморфным локусам в интронах генов ACE, COL13A1, LAMA2, TEAD1, PLAT, PKHD1L1, STK38L, CDH4, HECW1, SEMA6A как в общей выборке, так и с учетом возраста. Наблюдаемое распределение частот генотипов всех изученных полиморфных маркеров в группе лиц среднего возраста соответствовало теоретически ожидаемому равновесию Харди–Вайнберга (PХВ > 0.05, табл. 3). Изменение спектра частот генотипов с возрастом оценивали путем попарного сравнения возрастных групп для каждого выбранного Alu-полиморфного локуса с помощью χ2-теста Пирсона (табл. 3). Наиболее выраженные различия в частотах генотипов между возрастными группами были отмечены для полиморфного локуса HECW1*Ya5NBC182 (P < 0.001). Для полиморфных локусов LAMA2*Ya5-MLS19, TEAD1*Ya5ac2013 и SEMA6A*Yb8NBC597 статистически значимые изменения в распределении частот генотипов наблюдались для лиц, достигших долголетия (P < 0.05). Среди лиц преклонного возраста (в группах лиц старческого возраста и долгожителей) наблюдалось отклонение в распределении частот генотипов по генетическому маркеру STK38L*Ya5ac2145 (P < 0.01). Кроме того, распределение частот генотипов в группе лиц старческого возраста по полиморфному локусу COL13A1*Ya5ac1986 и среди долгожителей по полиморфному локусу PKHD1L1*Yb8AC702 отличалось от таковых в контрольной группе лиц среднего возраста (P < 0.05).
Таблица 3. Распределение частот генотипов по Alu-полиморфизму генов в трех возрастных группах
Ген Alu-полиморфизм | Генотип | Средний возраст | Старческий возраст | Долгожители | |||||||
n | p, % | PХВ | n | p, % | Pχ2* | n | p, % | Pχ2* | Pχ2** | ||
ACE Ya5ACE | II | 104 | 23.53 | 0.85 | 176 | 25.43 | 0.361 | 94 | 23.50 | 0.072 | 0.296 |
ID | 200 | 45.25 | 318 | 45.95 | 198 | 49.50 | |||||
DD | 138 | 31.22 | 198 | 28.61 | 108 | 27.00 | |||||
HECW1 Ya5NBC182 | II | 189 | 42.19 | 0.47 | 250 | 45.29 | 0.041 | 125 | 45.29 | < 0.001 | < 0.001 |
ID | 203 | 45.31 | 219 | 39.67 | 128 | 46.38 | |||||
DD | 56 | 12.50 | 83 | 15.04 | 23 | 8.33 | |||||
SEMA6A Yb8NBC597 | II | 18 | 3.76 | 0.47 | 33 | 5.84 | 0.120 | 23 | 7.57 | 0.005 | 0.037 |
ID | 156 | 32.57 | 167 | 29.56 | 105 | 34.54 | |||||
DD | 305 | 63.67 | 365 | 64.60 | 176 | 57.89 | |||||
CDH4 Yb8NBC516 | II | 145 | 39.94 | 0.19 | 191 | 39.63 | 0.074 | 100 | 35.09 | 0.483 | 0.216 |
ID | 144 | 39.67 | 216 | 44.81 | 124 | 43.51 | |||||
DD | 74 | 20.39 | 75 | 15.56 | 61 | 21.40 | |||||
STK38L Ya5ac2145 | II | 10 | 2.06 | 0.06 | 12 | 2.11 | 0.004 | 4 | 1.28 | 0.008 | 0.522 |
ID | 78 | 16.05 | 102 | 17.96 | 63 | 20.19 | |||||
DD | 398 | 81.89 | 454 | 79.93 | 245 | 78.53 | |||||
PKHD1L1 Yb8AC702 | II | 119 | 23.20 | 0.54 | 133 | 20.75 | 0.421 | 72 | 20.06 | 0.025 | 0.160 |
ID | 284 | 55.36 | 346 | 53.98 | 186 | 51.81 | |||||
DD | 110 | 21.44 | 162 | 25.27 | 101 | 28.13 | |||||
TEAD1 Ya5ac2013 | II | 137 | 27.45 | 0.05 | 157 | 27.79 | 0.966 | 97 | 29.39 | 0.024 | 0.024 |
ID | 224 | 44.89 | 250 | 44.25 | 161 | 48.79 | |||||
DD | 138 | 27.66 | 158 | 27.96 | 72 | 21.82 | |||||
PLAT TPA25 | II | 134 | 23.76 | 0.57 | 157 | 24.30 | 0.591 | 87 | 23.71 | 0.561 | 0.126 |
ID | 253 | 44.86 | 296 | 45.82 | 158 | 43.05 | |||||
DD | 177 | 31.38 | 193 | 29.88 | 122 | 33.24 | |||||
COL13A1 Ya5ac1986 | II | 309 | 55.28 | 0.47 | 363 | 54.18 | 0.038 | 229 | 57.11 | 0.937 | 0.081 |
ID | 205 | 36.67 | 263 | 39.25 | 137 | 34.16 | |||||
DD | 45 | 8.05 | 44 | 6.57 | 35 | 8.73 | |||||
LAMA2 Ya5-MLS19 | II | 128 | 21.84 | 0.13 | 129 | 19.03 | 0.095 | 60 | 14.81 | < 0.001 | < 0.001 |
ID | 262 | 44.71 | 310 | 45.72 | 224 | 55.31 | |||||
DD | 196 | 33.45 | 239 | 35.25 | 121 | 29.88 | |||||
Примечание. n – объем группы; p – частота генотипа; PХВ – P-значение критерия Харди–Вайнберга; Pχ2 – P-значение χ2-теста Пирсона; * – результаты относительно группы лиц среднего возраста, ** – результаты относительно группы лиц старческого возраста.
Для оценки роли установленных Alu-полиморфных маркеров старения и долголетия в определении продолжительности жизни и достижения возраста долголетия был проведен анализ выживаемости. Согласно полученным результатам, относительный риск смерти от всех причин статистически значимо повышен у носителей инсерций в Alu-полиморфном локусе гена STK38L; у носителей инсерций в генах TEAD1 и HECW1 показано снижение относительного риска (табл. 4).
Таблица 4. Ассоциация между Alu-полиморфизмом генов кандидатов старения и долголетия и смертностью от всех причин
Ген Alu-полиморфизм | Генотип | Общая группа | Мужчины | Женщины | |||
HR (95% CIHR) | P | HR (95% CIHR) | P | HR (95% CIHR) | P | ||
ACE Ya5ACE | ID | 1.11 (0.88–1.4) | 0.396 | 1.08 (0.72–1.63) | 0.701 | 1.09 (0.8–1.48) | 0.577 |
II | 0.98 (0.74–1.3) | 0.911 | 0.99 (0.59–1.66) | 0.974 | 0.88 (0.61–1.26) | 0.475 | |
HECW1 Ya5NBC182 | ID | 0.67 (0.49–0.93) | 0.015 | 0.61 (0.33–1.1) | 0.102 | 0.65 (0.44–0.98) | 0.037 |
II | 0.71 (0.52–0.98) | 0.038 | 0.63 (0.35–1.14) | 0.126 | 0.7 (0.47–1.04) | 0.076 | |
SEMA6A Yb8NBC597 | ID | 0.98 (0.79–1.22) | 0.854 | 1.06 (0.72–1.56) | 0.784 | 0.97 (0.73–1.28) | 0.825 |
II | 0.63 (0.39–1.02) | 0.058 | 0.62 (0.18–2.13) | 0.447 | 0.7 (0.41–1.19) | 0.184 | |
CDH4 Yb8NBC516 | ID | 1.11 (0.88–1.59) | 0.276 | 0.78 (0.44–1.37) | 0.380 | 1.28 (0.88–1.85) | 0.198 |
II | 1.16 (0.86–1.57) | 0.327 | 0.95 (0.54–1.66) | 0.857 | 1.16 (0.8–1.69) | 0.438 | |
STK38L Ya5ac2145 | ID | 0.98 (0.76–1.28) | 0.907 | 0.88 (0.57–1.36) | 0.559 | 0.97 (0.68–1.39) | 0.879 |
II | 2.07 (1.11–3.86) | 0.022 | 2.38 (1.04–5.46) | 0.041 | 1.55 (0.54–4.46) | 0.415 | |
PKHD1L1 Yb8AC702 | ID | 1.07 (0.82–1.4) | 0.632 | 1.46 (0.89–2.41) | 0.138 | 1.02 (0.72–1.44) | 0.919 |
II | 1.11 (0.82–1.51) | 0.501 | 1.55 (0.88–2.73) | 0.132 | 0.91 (0.62–1.35) | 0.651 | |
TEAD1 Ya5ac2013 | ID | 0.91 (0.71–1.16) | 0.443 | 0.95 (0.61–1.49) | 0.835 | 0.83 (0.6–1.15) | 0.261 |
II | 0.74 (0.57–0.98) | 0.035 | 0.79 (0.47–1.31) | 0.353 | 0.72 (0.51–1.02) | 0.066 | |
PLAT TPA25 | ID | 1.12 (0.89–1.42) | 0.323 | 0.76 (0.5–1.15) | 0.199 | 1.36 (0.99–1.85) | 0.056 |
II | 1.16 (0.89–1.51) | 0.283 | 0.93 (0.59–1.46) | 0.764 | 1.29 (0.91–1.83) | 0.151 | |
COL13A1 Ya5ac1986 | ID | 1.17 (0.72–1.92) | 0.53 | 1.55 (0.59–4.09) | 0.379 | 1.01 (0.56–1.85) | 0.962 |
II | 0.99 (0.61–1.62) | 0.989 | 1.31 (0.49–3.52) | 0.586 | 0.81 (0.45–1.44) | 0.472 | |
LAMA2 Ya5-MLS19 | ID | 0.92 (0.73–1.15) | 0.473 | 1.25 (0.84–1.86) | 0.261 | 0.84 (0.62–1.13) | 0.243 |
II | 1.08 (0.81–1.44) | 0.609 | 1.41 (0.8–2.49) | 0.238 | 0.92 (0.63–1.35) | 0.672 | |
Примечание. HR – hazard rate (уровень риска); CI – confidence interval (доверительный интервал); P – показатель уровня значимости.
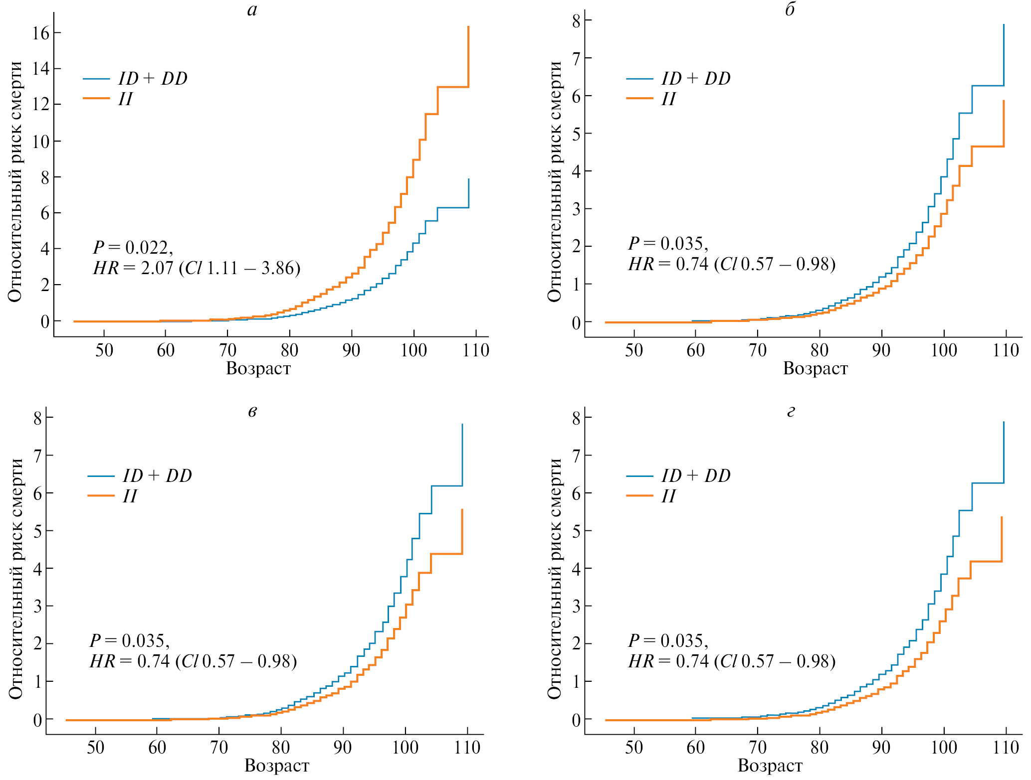
Детальный анализ полученных результатов показал, что носительство гомозиготного инсерционного генотипа гена STK38L в 2 раза повышает риск смерти от всех причин в общей группе исследованных лиц (Ya5ac2145*II, HR = 2.07, P = 0.02; см. рис. 1, а). Alu-инсерции в генах TEAD1 и HECW1 ассоциированы со снижением риска смерти (HR = 0.74, P = 0.035 для генотипа Ya5ac2013*II гена TEAD1; HR = 0.71, P = 0.038 и HR = 0.67, P = 0.015 для генотипов Ya5NBC182*II и Ya5NBC182*ID гена HECW1 соответственно; см. рис. 1, б-г).
Рис. 1. Накопленный риск смертности от всех причин в общей группе, ассоциированный с Alu-инсерцией в генах STK38L (a), TEAD1 (б) и HECW1 (в и г).
Анализ выживаемости с учетом пола выявил схожую тенденцию в показателях относительного риска смерти отдельно для мужчин и женщин (табл. 4). При этом у мужчин для гомозиготного Alu-инсерционного генотипа гена STK38L показана более выраженная ассоциация с риском смерти от всех причин (Ya5ac2145*II, HR = 2.38, P = 0.041; см. рис. 2). Наличие Alu-инсерций в генах TEAD1 и HECW1, хотя и снижает риск смерти, однако не достигает уровня статистической значимости (CI 0.47–1.31 и CI 0.61–1.49 для генотипов Ya5ac2013*II и Ya5ac2013*ID гена TEAD1 соответственно; CI 0.35–1.14 и CI 0.33–1.11 для генотипов Ya5NBC182*II и Ya5NBC182*ID гена HECW1 соответственно; см. табл. 4). У женщин наличие гетерозиготного генотипа гена HECW1 связано со снижением риска смерти от всех причин (Ya5NBC182*ID, HR = 0.65, P = 0.037; рис. 3).
Рис. 2. Накопленный риск смертности от всех причин в группе мужчин, ассоциированный с Alu-инсерцией в гене STK38L.
Рис. 3. Накопленный риск смертности от всех причин в группе женщин, ассоциированный с Alu-инсерцией в гене HECW1.
Анализ выживаемости в группах индивидов, дифференцированных по причинам смерти, показал ассоциацию Alu-инсерций в генах SEMA6A, TEAD1 и LAMA2 со снижением риска смерти при различных патологических фенотипах. Наличие Alu-инсерции в гетерозиготном варианте в гене SEMA6A ассоциировано со снижением риска смерти от цереброваскулярных заболеваний (Yb8NBC597*ID, HR = 0.54, P = 0.016; рис. 4, а). Риск смертности от сердечно-сосудистых патологий снижен у носителей гомозиготного по Alu-инсерции в гене TEAD1 генотипа (Ya5ac2013*II, HR = 0.57, P = 0.016; рис. 4, б). Также снижение риска смертности ассоциировано с Alu-инсерцией в гене LAMA2 среди индивидов с полиморбидностью (Ya5-MLS19*ID, HR = 0.36, P = 0.03; см. рис. 4, в).
Рис. 4. Накопленный риск смертности в группах, дифференцированных по причинам смерти: от цереброваскулярных заболеваний, ассоциированный с Alu-инсерцией в гене SEMA6A (а); от сердечно-сосудистых заболеваний, ассоциированный с Alu-инсерцией в гене TEAD1 (б); при полиморбидности, ассоциированный с Alu-инсерцией в гене LAMA2 (в).
Обсуждение
В рамках исследования старения и долголетия человека был проведен анализ выживаемости среди лиц, достигших возраста, превышающего среднепопуляционный показатель, по Alu-полиморфным вариантам генов ключевых структурных и функциональных белков в качестве предикторов. Согласно полученным результатам, Alu-инсерционный генотип Ya5ac2145 гена STK38L ассоциирован с риском смертности, в то время как для Alu-инсерционных генотипов Ya5NBC182 гена HECW1 и Ya5ac2013 гена TEAD1 продемонстрирован протективный в отношении выживаемости эффект. Кроме того, с выживаемостью при различных клинических фенотипах оказались ассоциированы Alu-инсерционные локусы Yb8NBC597 гена SEMA6A и Ya5-MLS19 гена LAMA2. Ассоциированные с выживаемостью в условиях старческого фенотипа гены вовлечены в регуляторные пути контроля апоптоза и аутофагии.
HECW1 является C2 и WW домен-содержащим белком семейства убиквитинлигаз E3 и относится к семейству транскрипционных факторов (ТФ) NEDD4, регулирующих цитоплазматическую трансляцию, рибонуклеопротеиновый комплекс и биогенез рибосом, а также пути KEGG, включая Akt, p53, аутофагию и апоптоз [24]. Как и другие члены семейства NEDD4, HECW1 связывается с LC3 – ключевым белком системы аутофагии, принимая тем самым участие в регуляции данного клеточного процесса. В раковых клетках продемонстрирован ингибирующий аутофагию эффект нокдауна NEDD4 [25]. Более того, HECW1 усиливает проапоптотическую активность р53 независимо от его каталитической активности [26]. В целом контролируемая убиквитинлигазой Е3 деградация белка играет фундаментальную роль в самообновлении, поддержании и дифференцировке раковых стволовых клеток [27]. Таким образом, активность HECW1 является принципиальным моментом для развития патологического фенотипа, формирующегося с возрастом. Белок HECW1 в изобилии присутствует в нейрональных тканях и благодаря участию в белковом гомеостазе является ключевым элементом в нормальном и патологическом развитии нервной системы [28]. Интересно, что существует обратная корреляция между онкологическими и нейродегенеративными заболеваниями, ключевой причиной которой может выступать локализация белка р53 в клетке, по-разному воздействующая на процессы апоптоза и аутофагии [29]. В данной работе установлена ассоциация выживаемости и долголетия с Alu-инсерцией Ya5NBC182 в гене HECW1. Можно предположить, что Alu-транспозоны, влияя на активность генов, являются молекулярной основой для адаптационной пластичности тканей нервной системы. Однако тканеспецифичный характер вовлеченности HECW1 в сложную сеть регулирования апоптоза и аутофагии, особенно на поздних этапах жизни человека, требует дальнейшего всестороннего изучения.
ТФ TEAD1 и протеинкиназа STK38L являются членами консервативного пути Hippo, регулирующего размер органов и гомеостаз тканей [30]. Недавние исследования продемонстрировали роль сигнального каскада Hippo в стимулировании апоптоза и аутофагии [10]. Делеция генов, связанных с аутофагией и взаимодействующих с каскадами киназы Hippo, ассоциирована с нарастающей склонностью к спонтанному развитию различных заболеваний [31]. Белок TEAD1 (ТФ домена TEA) является одним из основных нижестоящих ядерных эффекторов передачи сигналов Hippo. Он способен связываться с консенсусной последовательностью ДНК 5’-CATTCC-3’, называемой MCAT-элементом [32]. Благодаря взаимодействию с различными ко-факторами, такими как YAP (yes-associated protein) и TAZ (ко-активатор транскрипции с мотивом связывания PDZ), TEAD связывается с MCAT-содержащими генами, которые регулируют рост клеток. Показано, что экспрессия белков TEAD усиливается при различных типах рака и коррелирует с плохой выживаемостью пациентов с онкологией [11]. Кроме того, TEAD регулирует экспрессию множества генов, участвующих в развитии сердечно-сосудистой системы, и, будучи основным молекулярным компонентом YAP/TAZ-сигнального пути, вовлечен в патофизиологические процессы, которые способствуют сердечно-сосудистым заболеваниям [33]. Можно предположить, что обусловленная Alu-вставкой Ya5ac2013 сниженная активность гена TEAD1, вовлеченного в контроль пролиферации и апоптоза, в условиях старческого фенотипа способствует выживаемости и защите от патологий сердца и сосудов.
Дополнительные ферменты пути Hippo включают семейство протеинкиназ NDR, в частности NDR1/STK38 и NDR2/STK38L [34, 35]. Данные киназы регулируют широкий спектр возраст-чувствительных клеточных процессов, таких как контроль клеточного цикла, межклеточная коммуникация, апоптоз, аутофагия, гомеостаз питательных веществ и др. [36]. Экспериментально было продемонстрировано участие киназы STK38 в системном метаболизме: на фоне диеты с повышенным содержанием жиров ее экспрессия значительно повышалась, что в свою очередь привело к развитию воспаления и инсулинорезистентности [37]. Установлено, что STK38/STK38L действует как основной фактор ответа на стрессовые воздействия и играет важную роль в аутофагии [10]. Экспрессия гена STK38L снижается под воздействием стрессовых факторов, при этом степень снижения коррелирует с хронологическим возрастом [36]. Выявленная нами ассоциация с риском смерти от всех причин в исследуемой группе Alu-инсерции Ya5ac2145 в гене STK38L, связанная со снижением активности гена, согласуется с представленными литературными данными.
В настоящей работе установлена ассоциация с выживаемостью на фоне полиморбидного статуса генотипа, гетерозиготного по Alu-инсерции в гене LAMA2, кодирующем основной компонент базальной мембраны ламинин. При изучении роли экспрессии гена ламинина в формировании различных старческих процессов были продемонстрированы противоречивые результаты, что можно объяснить тканеспецифичностью данного белка [12]. Интересно, что в мышцах с дефицитом α2-цепи ламинина повышается экспрессия генов аутофагии [13]. С позиции адаптации и выживаемости в преклонном возрасте результаты данной работы можно рассматривать как взаимодействие различных компенсаторных механизмов.
Вовлеченность Alu-инсерционного полиморфизма гена SEMA6A в выживаемость при цереброваскулярных событиях напрямую подтверждает роль семафорина-6 в структурно-функциональной организации нервной системы [14]. Кроме того, многие исследования показали, что семафорины влияют на пролиферацию клеток, миграцию и апоптоз, воздействуя на компоненты сосудистой стенки и принимая тем самым участие во многих патологических процессах кровеносной системы [15].
Таким образом, Alu-полиморфные варианты, для которых установлены ассоциации с выживаемостью и смертностью, локализованы в генах, задействованных в процессах апоптоза и аутофагии. Недавние достижения в понимании временных и пространственных последствий нарушения регуляции аутофагии для тканевого гомеостаза выявили сложную и многофакторную взаимосвязь между аутофагией и старением. Будучи высококонсервативным путем разрушения дефектных клеточных компонентов, аутофагия выступает важным эндогенным механизмом, обеспечивающим снятие клеточных стрессовых состояний, при этом хроническая активация аутофагии может привести к гибели клеток [38]. В целом полученные нами данные согласуются с концепцией о возраст-зависимом снижении количества белков, связанных с аутофагией и обеспечивающих транспорт к лизосомам, что свидетельствует о нарушениях аутофагии как одном из важных факторов старения организма [34]. Alu-ретротранспозоны способны влиять на функционирование генов множеством различных путей, в основном приводя к снижению уровня экспрессии генов. Это позволяет предположить, что данный тип генетического полиморфизма может быть ассоциирован с рядом патологических возраст-зависимых фенотипов и, соответственно, продолжительностью и качеством жизни человека.
Работа поддержана грантом РНФ № 24-25-00179.
Исследование одобрено Этическим комитетом ИБГ УФИЦ РАН (6.06.2024 г., протокол № 8).
Все процедуры, выполненные в исследовании с участием людей, соответствуют этическим стандартам институционального и/или национального комитета по исследовательской этике и Хельсинкской декларации 1964 г. и ее последующим изменениям или сопоставимым нормам этики.
От каждого из включенных в исследование участников было получено информированное добровольное согласие. Все обследованные – совершеннолетние.
Авторы заявляют об отсутствии конфликта интересов.
About the authors
V. V. Erdman
Institute of Biochemistry and Genetics – Subdivision of the Ufa Federal Research Centre of the Russian Academy of Sciences; Bashkir State Medical University
Author for correspondence.
Email: danivera@mail.ru
Russian Federation, Ufa; Ufa
D. D. Karimov
Institute of Biochemistry and Genetics – Subdivision of the Ufa Federal Research Centre of the Russian Academy of Sciences; Ufa Research Institute of Occupational Medicine and Human Ecology
Email: danivera@mail.ru
Russian Federation, Ufa; Ufa
I. А. Tuktarova
Institute of Biochemistry and Genetics – Subdivision of the Ufa Federal Research Centre of the Russian Academy of Sciences
Email: danivera@mail.ru
Russian Federation, Ufa
A. A. Petintseva
Institute of Biochemistry and Genetics – Subdivision of the Ufa Federal Research Centre of the Russian Academy of Sciences
Email: danivera@mail.ru
Russian Federation, Ufa
Y. R. Timasheva
Institute of Biochemistry and Genetics – Subdivision of the Ufa Federal Research Centre of the Russian Academy of Sciences; Bashkir State Medical University
Email: danivera@mail.ru
Russian Federation, Ufa; Ufa
T. R. Nasibullin
Institute of Biochemistry and Genetics – Subdivision of the Ufa Federal Research Centre of the Russian Academy of Sciences
Email: danivera@mail.ru
Russian Federation, Ufa
References
- Мушкамбаров Н.Н. Геронтология in polemico. Монография. М.: “Мед. информ. агентство”, 2011. 464 с.
- Чупаха М.В., Белоусова О.Н., Сухатерина Е.В. Характеристика биологического возраста и данных антропометрии при артериальной гипертензии на фоне метаболического синдрома у пациентов среднего и пожилого возраста // Соврем. проблемы здравоохранения и мед. статистики. 2024. № 1. С. 335–347. https://doi.org/10.24412/2312-2935-2024-1-335-347
- Maier H., Jeune B., Vaupel J.W. Exceptional Lifespans. Springer Nature, 2021. 344 p.
- Le Breton A., Bettencourt M.P., Gendrel A.V. Navigating the brain and aging: Exploring the impact of transposable elements from health to disease // Front. Cell. Dev. Biol. 2024. V. 12. https://doi.org/10.3389/fcell.2024.1357576
- Maxwell P.H. What might retrotransposons teach us about aging? // Curr. Genet. 2016. V. 62. P. 277–282. https://doi.org/10.1007/s00294-015-0538-2
- Li M., Schifanella L., Larsen P.A. Alu retrotransposons and COVID-19 susceptibility and morbidity // Hum. Genomics. 2021. V. 15. P. 2–11. https://doi.org/10.1186/s40246-020-00299-9
- Эрдман В.В., Каримов Д.Д., Насибуллин Т.Р. и др. Роль Alu-полиморфизма генов PLAT, PKHD1L1, STK38L и TEAD1 в формировании признака долгожительства // Успехи геронтологии. 2016. Т. 29. № 5. С. 709–716.
- Каримов Д.Д., Эрдман В.В., Насибуллин Т.Р. и др. Alu-инсерционно-делеционный полиморфизм генов COL13A1 и LAMA2: анализ ассоциаций с долгожительством // Генетика. 2016. Т. 52. №. 10. С. 1185–1193. https://doi.org/10.7868/S0016675816100039
- Erdman V.V., Karimov D.D., Tuktarova I.A. et al. Alu deletions in LAMA2 and CDH4 genes are key components of polygenic predictors of longevity // Intern. J. of Mol. Sci. 2023. № 21. https://doi.org/10.3390/ijms232113492
- Wang D., He J., Huang B. et al. Emerging role of the Hippo pathway in autophagy // Cell Death & Disease. 2020. V. 11. № 10. P. 880. https://doi.org/10.1038/s41419-020-03069-6
- Zhou Y.H., Huang T.T., Cheng A.S.L. et al. The TEAD family and its oncogenic role in promoting tumorigenesis // Intern. J. Mol. Sci. 2016. V. 17. № 1. P. 138. https://doi.org/10.3390/ijms17010138
- Reed M.J., Damodarasamy M., Banks W.A. The extracellular matrix of the blood-brain barrier: Structural and functional roles in health, aging, and Alzheimer’s disease // Tissue Barriers. 2019. V. 7. № 4. https://doi.org/10.1080/21688370.2019.1651157
- Carmignac V., Svensson M., Körner Z. еt аl. Autophagy is increased in laminin α2 chain-deficient muscle and its inhibition improves muscle morphology in a mouse model of MDC1A // Human Mol. Genet. V. 20. № 24. P. 4891–4902. https://doi.org/10.1093/hmg/ddr427
- Fard D., Tamagnone L. Semaphorins in health and disease // Cytokine & Growth Factor Reviews. 2021. V. 57. P. 55–63. https://doi.org/10.1016/j.cytogfr.2020.05.006
- Zhang C., Hong C.D., Wang H.L. et al. The role of semaphorins in small vessels of the eye and brain // Pharmacol. Research. 2020. V. 160. https://doi.org/10.1016/j.phrs.2020.105044
- Kaushik A., Parashar S., Ambasta R.K., Kumar P. Ubiquitin E3 ligases assisted technologies in protein degradation: Sharing pathways in neurodegenerative disorders and cancer // Ageing Res. Reviews. 2024. V. 96. P. 102279. https://doi.org/10.1016/j.arr.2024.102279
- Le D., Brown L., Malik K., Murakami S. Two opposing functions of angiotensin-converting enzyme (ACE) that links hypertension, dementia, and aging // Intern. J. Mol. Sci. 2021. V. 22. № 24. https://doi.org/10.3390/ijms222413178
- Loos R.J.F., Yeo G.S.H. The genetics of obesity: from discovery to biology // Nature Rev. Genet. 2022. V. 23. № 2. P. 120–133. https://doi.org/10.1038/s41576-021-00414-z
- Yepes M. The plasminogen activation system promotes neurorepair in the ischemic brain // Current Drug Targets. 2019. V. 20. № 9. P. 953–959. https://doi.org/10.2174/1389450120666181211144550
- Resink T.J., Joshi M.B., Kyriakakis E. Cadherins and cardiovascular disease // Swiss Med. Weekly. 2009. V. 139. № 0910. P. 122–134.
- Cordaux R., Batzer M.A. The impact of retrotransposons on human genome evolution // Nature Rev. Genet. 2009. V. 10. № 10. P. 691–703. https://doi.org/10.1038/nrg2640
- Nefedova L.N., Kim A.I. The role of retroelements in the evolution of animal genomes // Biol. Bul. Reviews. 2022. V. 12. № 1. P. 29–40. https://doi.org/10.1134/S2079086422010042
- Davidson-Pilon C. Lifelines: Survival analysis in Python // J. Open Source Software. 2019. V. 4. № 40. P. 1317. https://doi.org/10.21105/joss.01317
- Cao L., Li H., Liu X. et al. Expression and regulatory network of E3 ubiquitin ligase NEDD4 family in cancers // BMC Cancer. 2023. V. 23. № 1. P. 526. https://doi.org/10.1186/s12885-023-11007-w
- Li Y., Zhang L., Zhou J. et al. Nedd4 E3 ubiquitin ligase promotes cell proliferation and autophagy // Cell Proliferation. 2015. V. 48. № 3. P. 338–347. https://doi.org/10.1111/cpr.12184
- Li Y., Ozaki T., Kikuchi H. et al. A novel HECT-type E3 ubiquitin protein ligase NEDL1 enhances the p53-mediated apoptotic cell death in its catalytic activity-independent manner // Oncogene. 2008. V. 27. № 26. P. 3700–3709. https://doi.org/10.1038/sj.onc.1211032
- Quiroga M., Rodríguez-Alons A., Alfonsín G. et al. Protein degradation by E3 ubiquitin ligases in cancer stem cells // Cancers. 2022. V. 14. https://doi.org/10.3390/cancers14040990
- Huang S.S., Hsu L.J., Chang N.S. Functional role of WW domain-containing proteins in tumor biology and diseases: Insight into the role in ubiquitin-proteasome system // FASEB Bioadv. 2020. V. 2. P. 234–253. https://doi.org/10.1096/fba.2019-00060
- Гомбоева Д.Е., Брагина Е.Ю., Назаренко М.С., Пузырев В.П. Обратная коморбидность между онкологическими заболеваниями и болезнью Гентингтона: обзор эпидемиологических и биологических доказательств // Генетика. 2020. Т. 56. № 3. С. 260–271. https://doi.org/10.31857/S0016675820030054
- Piccolo S., Dupont S., Cordenonsi M. The biology of YAP/TAZ: Hippo signaling and beyond // Physiol. Reviews. 2014. V. 94. № 4. P. 1287–1312. https://doi.org/10.1152/physrev.00005.2014
- Ramaccini D., Pedriali G., Perrone M. et al. Some insights into the regulation of cardiac physiology and pathology by the Hippo pathway // Biomedicines. 2022. V. 10. № 3. P. 726. https://doi.org/10.3390/biomedicines10030726
- Lin K.C., Park H.W., Guan K.L. Regulation of the Hippo pathway transcription factor TEAD // Trends Biochem. Sci. 2017. V. 42. P. 862–872. https://doi.org/10.1016/j.tibs.2017.09.003
- Zhang Y., Ren Y., Li X. et al. A review on decoding the roles of YAP/TAZ signaling pathway in cardiovascular diseases: Bridging molecular mechanisms to therapeutic insights // Intern. J. Biol. Macromolecules. 2024. https://doi.org/10.1016/j.ijbiomac.2024.132473
- Hergovich A. The roles of NDR protein kinases in Hippo signalling // Genes. 2016. V. 7. № 5. P. 21. https://doi.org/10.3390/genes7050021
- Sharif A.A.D., Hergovich A. The NDR/LATS protein kinases in immunology and cancer biology // Seminars in Cancer Biology. 2018. V. 48. P. 104–114.
- Jonischkies K., Del Angel M., Demiray Y.E. et al. The NDR family of kinases: Essential regulators of aging // Frontiers in Mol. Neurosci. 2024. V. 17. https://doi.org/10.3389/fnmol.2024.1371086
- Rawat P., Thakur S., Dogra S. et al. Diet-induced induction of hepatic serine/threonine kinase STK38 triggers proinflammation and hepatic lipid accumulation // J. Biol. Chemistry. 2023. V. 299. № 5. https://doi.org/10.1016/j.jbc.2023.104678
- Aman Y., Schmauck-Medina T., Hansen M. et al. Autophagy in healthy aging and disease // Nat. Aging. 2021. V. 1. № 8. P. 634–650. https://doi.org/10.1038/s43587-021-00098-4
Supplementary files






