Экзосомальные микроРНК-146a и микроРНК-424 как возможные предикторы ответа на терапию ингибиторами иммунных контрольных точек при светлоклеточной почечно-клеточной карциноме
- Авторы: Асадуллина Д.Д.1,2, Гилязова И.Р.1,2, Иванова Е.А.1, Измайлова С.М.2, Гилязова Г.Р.2, Павлов В.Н.2, Хуснутдинова Э.К.1,2
-
Учреждения:
- Институт биохимии и генетики – обособленное структурное подразделение Уфимского федерального исследовательского центра Российской академии наук
- Башкирский государственный медицинский университет
- Выпуск: Том 60, № 3 (2024)
- Страницы: 94-103
- Раздел: ГЕНЕТИКА ЧЕЛОВЕКА
- URL: https://ogarev-online.ru/0016-6758/article/view/262305
- DOI: https://doi.org/10.31857/S0016675824030107
- EDN: https://elibrary.ru/DOGQTN
- ID: 262305
Цитировать
Полный текст
Аннотация
Светлоклеточная почечно-клеточная карцинома (скПКК) – злокачественная опухоль почки с плохим прогнозом и трудно поддающаяся лечению. Несмотря на значительные успехи в лечении скПКК, ингибиторы контрольных точек иммунного ответа (ИКТИ) все еще имеют ограниченную терапевтическую эффективность. Все больше работ показывают, что экзосомальные микроРНК являются ключевыми модуляторами опухолевой сигнализации и детерминантами опухолевого микроокружения. Нарушение регуляции микроРНК может влиять на иммуногенность рака и ответ на терапию ИКТИ, что делает их привлекательными для использования в качестве прогностических молекулярно-генетических биомаркеров. Мы оценили уровень экспрессии экзосомальных микроРНК (микроРНК-424, -146а, -503, -144) до и после терапии ИКТИ в образцах плазмы, полученных от 42 больных со скПКК. Анализ экспрессии проводили методом ПЦР в режиме реального времени. Результаты показали, что уровни экспрессии микроРНК-424 и микроРНК-146a были повышены после терапии ИКТИ (микроРНК-424 = Mean ± SEM 1.202 ± 0.15 и микроРНК-146a = 12.22 ± 1.45) по сравнению с уровнями экспрессии до терапии (микроРНК-424 = Mean ± SEM 0.63 ± 0.17; p-value = 0.03 и микроРНК-146a = 7.03 ± 0.90; p-value = 0.006). МикроРНК-424 и микроРНК-146a могут быть использованы для создания панели молекулярных маркеров для оценки эффективности терапии ингибиторами иммунных контрольных точек. Несмотря на то что полученные данные являются весьма предварительными и требуют дальнейшего изучения на более крупной выборке, они еще больше повышают интерес к использованию микроРНК в качестве дополнительных маркеров терапии ИКТИ, способных модулировать иммунную толерантность.
Полный текст
В последние годы произошла существенная эволюция в терапии рака, направленная главным образом на применение иммунотерапевтических подходов, заменяющих классические методы лечения, такие как химиотерапия, лучевая терапия и хирургия, или в сочетании с ними [1]. Ингибиторы контрольных точек иммунитета (ИКТИ) являются хорошо зарекомендовавшими себя высокоэффективными препаратами для лечения различных видов рака, включая светлоклеточную почечно-клеточную карциному (скПКК). Несмотря на прогресс и беспрецедентные достижения в области иммунотерапии рака, резистентность остается серьезной клинической проблемой [2, 3].
Некодирующие РНК в последние несколько лет стали ключевыми игроками в эпигенетической регуляции генов, среди них микроРНК (miRNAs) широко изучаются на предмет их потенциальной роли в регуляции различных клеточных процессов в норме и патологии. МикроРНК – это некодирующие РНК длиной около 22 нуклеотидов, которые являются посттранскрипционными регуляторами экспрессии генов [4]. Способность микроРНК ингибировать трансляцию онкогенов и опухолевых супрессоров предполагает их участие в канцерогенезе [5–7]. Предыдущие исследования показали, что микроРНК стабильны в плазме или сыворотках крови, тканеспецифичны и имеют прогностическую клиническую ценность в качестве биомаркеров [8, 9].
Цель данного исследования – оценка профиля экспрессии экзосомальных микроРНК (микроРНК-424, -146а, -503, -144) у пациентов со светлоклеточной почечно-клеточной карциномой до и после терапии ингибиторами контрольных точек иммунного ответа для поиска дополнительных биомаркеров эффективности иммунотерапии.
МАТЕРИАЛЫ И МЕТОДЫ
В исследовании приняли участие 42 пациента с гистологически подтвержденным диагнозом “светлоклеточная почечно-клеточная карцинома”, получавшиx терапию ингибиторами контрольных точек иммунного ответа в период с 2020 по 2023 г., проживающиx на территории Республики Башкортостан. Забор образцов венозной крови у пациентов до и после терапии осуществлялся сотрудниками Республиканского клинического онкологического диспансера, отделения онкологии и урологии клиники Башкирского государственного медицинского университета. От каждого пациента было получено информированное согласие на забор биологического материала и проведение молекулярно-генетического исследования.
Выделение экзосомальных микроРНК из 1 мл плазмы крови, синтез кДНК и количественную ПЦР в реальном времени проводили, как описано ранее [10] с использованием соответствующих наборов miRCURY LNA (Qiagen, Hilden, Германия) на приборе для ПЦР в реальном времени Rotor-Gene Q (Qiagen, Hilden). МикроРНК-16 и микроРНК-1228 были использованы в качестве референсных генов (эндогенный контроль), а UniSp2, UniSp4, UniSp5, UniSp6 и синтетическая микроРНК-39 – в качестве экзогенных контролей выделения, обратной транскрипции и амплификации, входящих в состав наборов (Qiagen, Hilden). Уровень экзосомальных микроРНК оценивали методом 2–ΔΔCt.
РЕЗУЛЬТАТЫ
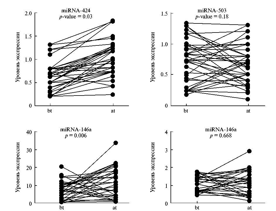
Анализ экспрессии был проведен с помощью количественной ПЦР в реальном времени. Наблюдалась статистически значимая дисрегуляция экспрессии экзосомальных микроРНК-424 и микроРНК-146а. Уровни экспрессии микро-РНК увеличились после терапии (микро-РНК-424 = Mean ± SEM 1.202 ± 0.15 и микроРНК-146a = 12.22 ± 1.45) по сравнению с уровнями до терапии (микроРНК-424 = Mean ± SEM 0.63 ± 0.17; p-value = 0.03 и микроРНК-146a = 7.03 ± 0.90; p-value = 0.006). Остальные микроРНК не продемонстрировали существенных различий в уровнях экспрессии микроРНК между двумя группами (p-value > 0.05) (рис. 1,а–г; табл. 1).
Рис. 1. Уровни экспрессии экзосомальных микроРНК у пациентов с скПКК, получавших терапию ИКТИ. а – miRNA-424; б – miRNA-503; в – miRNA-146a; г – miRNA-144. Уровень значимости p-value рассчитывался с использованием критерия Вилкоксона. bt – до терапии; at – после терапии.
Таблица 1. Анализ экспрессии экзосомных микроРНК
МикроРНК | До терапии ИКТИ (Mean ± SEM) | После терапии ИКТИ (Mean ± SEM) | p-value |
146a | 7.03 ± 0.90 | 12.22 ± 1.45 | 0.006 |
424 | 0.63 ± 0.17 | 1.202 ± 0.15 | 0.03 |
503 | 0.77 ± 0.05 | 0.71 ± 0.05 | 0.18 |
144 | 2.42 ± 0.46 | 2.58 ± 0.65 | 0.668 |
Примечание. Полужирным шрифтом даны статистически значимые результаты.
Целевые микроРНК обладают широким спектром биологических функций. Было обнаружено, что многие из изученных генов – функциональные, тесно связанные с ПКК и иммунитетом. Анализ KEGG-путей показал, что микроРНК-424 и микроРНК-146а были значительно обогащены в нескольких путях (табл. 2, рис. 2).
Таблица 2. Анализ путей обогащения KEGG для экзосомальных микроРНК-146а и микроРНК-424
FDR | Число генов-мишеней | Число генов сигнального пути | Название сигнального пути |
2.9 *10–8 | 5 | 89 | Экспрессия PD-L1 и сигнальный путь контрольных точек в онкологии |
4.8*10–7 | 4 | 76 | Коклюш |
1.1*10–6 | 4 | 101 | Болезнь Шагаса |
2.5*10–5 | 3 | 76 | Лейшманиоз |
1.1*10–6 | 4 | 103 | Сигнальный путь Toll-подобных рецепторов |
1.1*10–6 | 4 | 104 | Сигнальный путь NF-kappa B |
1.4*10–7 | 5 | 139 | Корь |
1.4*10–6 | 4 | 112 | Токсоплазмоз |
1.9*10–7 | 5 | 161 | Гепатит В |
2.8*10–6 | 4 | 137 | Иерсиниозная инфекция |
2.9*10–6 | 4 | 141 | Алкогольная болезнь печени |
2.4*10–7 | 5 | 179 | Туберкулез |
6.7*10–5 | 3 | 109 | Сигнальный путь HIF-1 |
4.4*10–7 | 5 | 210 | Инфекция вируса иммунодефицита человека 1 |
1.0*10–5 | 4 | 197 | Инфекция патогенной кишечной палочки |
1.0*10–5 | 4 | 202 | Инфекция вируса Эпштейна-Барр |
1.2*10–5 | 4 | 214 | Липиды и атеросклероз |
1.6*10–5 | 4 | 232 | Коронавирусная инфекция |
2.0*10–5 | 4 | 249 | Инфекция сальмонелл |
3.4*10–5 | 4 | 294 | Сигнальный путь MAPK |
Рис. 2. Анализ обогащения сигнальных путей GO и диаграмма, отражающая результаты анализа обогащения KEGG-путей, проведенного для микроРНК-146a и микроРНК-424 и их валидированных мишеней.
Для оценки участия валидированных генов-мишеней микроРНК-424 и микроРНК-146а в соответствующих сигнальных путях, развивающих иммуновоспалительные реакции при раке, был проведен анализ Gene Ontology (GO) (рис. 3).
Рис. 3. Сигнальный путь экспрессии PD-L1 и контрольных точек PD-1, включая валидированные гены-мишени микроРНК-146а и микроРНК-424 (выделены красным цветом), согласно базе данных KEGG.
Для оценки диагностической точности экзосомальных микроРНК как маркеров эффективности терапии ИКТИ были построены ROC-кривые. Результаты показали, что площадь под кривой (AUC) микроРНК-424 составляет 0.804 (95% ДИ: 0.7082–0.9006) и обеспечивает 73.8% специфичности и 88.1% чувствительности; диагностическая точность микроРНК-424 выше, чем у комбинации микроРНК (рис. 4).
Рис. 4. ROC-анализ для прогнозирования ответа на терапию ИКТИ при скПКК на основе анализа экспрессии экзосомальной микроРНК-424.
ОБСУЖДЕНИЕ
Несмотря на то, что иммунотерапия высокоэффективна при многих видах рака на поздних стадиях, часть пациентов остается резистентной к терапии или вынуждена отменить терапию из-за тяжелых побочных эффектов, связанных с иммунитетом. Ввиду того, что для назначения иммунотерапии используется опухолевая (тканевая) экспрессия PD-L, которая не является специфичным и точным маркером, существует острая потребность в более достоверных биомаркерах для прогнозирования ответа на иммунотерапию, что позволит избирательно стратифицировать пациентов. Экспрессия микроРНК у пациентов, получавших иммунотерапию, и потенциальная роль микроРНК в реакции пациентов на терапию – на сегодняшний день актуальная тема для исследования. Работы по изучению профиля экспрессии экзосомальных микроРНК у пациентов с скПКК, получающих терапию ИКТИ, представлены единичными исследованиями, что требует более детального изучения роли микроРНК в прогнозировании эффективности терапии ИКТИ.
В исследовнии Z. Wang с соавт. сообщалось, что циркулирующая микроРНК-21 функционирует как неинвазивный прогностический биомаркер ответа при иммунотерапии рака [11]. L. Chen с соавт. [12] продемонстрировали, что микроРНК-200 ингибирует PD-L1, предотвращая эпителиально-мезенхимальный переход (ЭМП) и метастазирование при раке легких. Известно, что p53 регулирует PD-L1 с помощью микроРНК-34a [13], которая непосредственно связывается с 3'-нетранслируемой областью PD-L1 при немелкоклеточном раке легкого (НМРЛ), подавляя экспрессию PD-L1.
Лекарственная устойчивость – одна из наиболее значимых проблем в клинической практике. Было показано, что потеря микроРНК-424(322)/503 способствует развитию химиорезистентности за счет регуляции двух ее мишеней – регулятора апоптоза BCL-2 и рецептора инсулиноподобного фактора роста-1 IGF1R, а таргетная терапия, блокирующая аберрантную активность этих мишеней, восстанавливает чувствительность к химиотерапии [14].
Имеются данные, что микроРНК-424 участвует в формировании лекарственной устойчивости больных раком желудка, получающих химиотерапию препаратами платины. Одним из генов-мишеней микроРНК-424 является SMURF1, который участвует в убиквитиназной активности. У пациентов, резистентных к цисплатину, снижение экспрессии микроРНК-424 увеличивало экспрессию гена Е3-убиквитин-протеинлигазы SMURF1, а также стимулировало экспрессию гена члена семейства гомологов Ras A RHOA, который играет роль в лекарственной устойчивости [15]. В другом исследовании было показано, что снижение экспрессии микроРНК-424-3p препятствует увеличению экспрессии гена ABCC2, кодирующего белок 2, связанного с множественной лекарственной устойчивостью, и приводит к лекарственной устойчивости и прогрессии опухоли, а противоположные результаты были получены Y. Li с соавт., которые показали, что как in vivo, так и in vitro сверхэкспрессия микроРНК-424-3p играет важную роль в устойчивости клеток рака желудка к цисплатину [16]. Известно, что гипоксия индуцирует экспрессию микроРНК-424, а сверхэкспрессия этой микроРНК подавляет опухолевый супрессор PDCD4, участвующий в апоптозе. В исследовании D. Zhang с соавт. снижение регуляции микроРНК-424 повышало гибель клеток под воздействием доксорубицина, обусловленную усилением апоптоза [17].
В другом исследовании стимуляция экспрессии микроРНК-424-3p способствовала сенсибилизации клеток рака яичников к цисплатину за счет снижения экспрессии белка галектина-3, кодируемого геном LGALS3 [18]. Также был идентифицирован ряд микроРНК (микроРНК-34a, -34b, -187, -199a, -199b, -146a, -15b, -130a, -214, и -424), которые дифференциально экспрессируются при лечении доксорубицином. Исследование биологической значимости идентифицированных микроРНК выявило взаимосвязь с функцией кардиомиоцитов и кардиотоксичностью, что позволит в дальнейшем использовать определенные сигнатуры микроРНК в качестве потенциальных биомаркеров лекарственно-индуцированной кардиотоксичности [19].
Известно, что в формировании лекарственной резистентности при остеосаркоме большую роль играет длинная некодирующая РНК (lncRNA) LINC01116, которая ингибирует экспрессию микроРНК-424-5p, связываясь с геном EZH2, кодирующим гистон-лизин-N-метилтрансферазу, и тем самым повышает устойчивость клеток остеосаркомы к доксорубицину [20]. B. Ralla с соавт. исследовали роль микроРНК-9-5p в резистентности к другой группе препаратов, ингибиторам тирозинкиназ (ИТК), в сравнении с другими клиническими признаками (возраст, пол, стадия опухоли, статус метастазирования и др). Сверхэкспрессия микроРНК-9-5p и пониженная экспрессия микроРНК-489-3p были ассоциированы с отсутствием ответа на терапию ИТК у пациентов с метастатической ПКК [21]. В другом исследовании, проведенном A. Gamez-Pozo с соавт., изучалась прогностическая способность моделей, включающих экспрессию микроРНК, в отношении резистентности к терапии сунитинибом. При сравнении таких моделей с классификацией риска MSKCC для прогнозирования общей выживаемости модель, включающая микроРНК-192, -193-3p и -501-3p, показала хорошую способность выявлять пациентов с плохим ответом на терапию и хорошую точность прогнозирования общей выживаемости [22]. По данным исследования, проведенного J. Kovacova и соавт., микроРНК-376b-3p может быть использована для прогнозирования ответа на терапию сунитинибом при метастатических опухолях [23].
J. He с соавт. [24] предположили, что микроРНК-31-5p, транспортируемая внеклеточными везикулами, участвует в развитии резистентности к мультитаргетному рецептору тирозинкиназ сорафенибу. Y. Liu с соавт. исследовали систему доставки лекарственных средств в виде нановезикул, нагруженных комбинацией анти PD-L1 и микроРНК-424. Эти нановезикулы активировали Т-клетки, которые высвобождали большое количество цитокинов, таких как IFN-γ и IL-2, для активации макрофагов и NK-клеток, что способствовало ингибированию роста подкожно трансплантированной гепатоцеллюлярной карциномы у мышей [25].
Во многих исследованиях микроРНК-146а рассматривается как негативный регулятор иммунной активации, сопоставимый с молекулами иммунных чекпоинтов. Известно, что микроРНК-146a играет центральную роль в оси STAT1/IFNγ в микроокружении меланомы, влияя на миграцию, пролиферацию, функцию митохондрий и уровень PD-L1[26]. Установлено, что при снижении экспрессии микроРНК-146a развиваются заметно более тяжелые иммуноопосредованные нежелательные явления (иоНЯ). А полиморфный вариант (SNP) rs2910164, приводящий к снижению экспрессии микроРНК-146a, ассоциирован с повышенным риском развития тяжелых иоНЯ [27]. В нашей работе мы также подтвердили, что снижение экспрессии микроРНК-146 у больных с скПКК с тяжелыми иоНЯ и SNP rs2910164 коррелируют с повышенным риском развития тяжелых осложнений [10]. Ранее было описано, что регуляция микроРНК-146a играет важную роль в усилении иммунной супрессии путем увеличения популяции регуляторных Т-клеток и может модулировать лекарственную устойчивость опухолевых клеток [28].
В другом исследовании выявили снижение микроРНК-150, -146a и -424 в мононуклеарных клетках периферической крови у пациентов с сахарным диабетом 1-го типа, вероятно ассоциированных с позитивностью аутоантител и разрушением эндогенной остаточной функции бета-клеток, что указывает на участие этих микроРНК в регуляции имунного ответа [29].
X.-X. Peng и соавт. оценили возможность использования экзосомальных микроРНК плазмы крови в качестве биомаркеров у пациентов с НМРЛ, получающих иммунотерапию [30]. В этом исследовании три микроРНК семейства hsa-miRNA-320 (микроРНК-320d, -320c и -320b) были определены как потенциальные предикторы ответа, поскольку их уровни были значительно повышены в группе пациентов с прогрессирующим заболеванием по сравнению с группой пациентов с частичным ответом на исходном уровне до начала лечения. Кроме того, было обнаружено, что уровень микроРНК-125b-5p снижен у пациентов, ответивших на лечение ИКТИ. A.R. Halvorsen с соавт. провели секвенирование следующего поколения (NGS) с профилированием микроРНК в образцах сыворотки крови, собранных у пациентов с НМРЛ до начала иммунотерапии ниволумабом [31]. Они выявили сигнатуру, состоящую из семи микроРНК (микроРНК-215-5p, -411-3p, -493-5p, -494-3p, -495-3p, -548-5p и -93-3p), которая была статистически значимо связана с общей выживаемостью. M. Boeri и соавт. проспективно оценивали экспрессию микроРНК плазмы крови у пациентов с НМРЛ до начала терапии ИКТИ. Анализ профиля ряда микроРНК позволил оценить взаимосвязь с такими показателями как общая частота ответа, выживаемость без прогрессирования и общая выживаемость. Уровень экспрессии микроРНК во время терапии снижался и оставался низким до прогрессирования опухоли у пациентов, отвечающих на терапию. Анализ профиля ряда микроРНК позволил оценить взаимосвязь с такими показателями как общая частота ответа, выживаемость без прогрессирования и общая выживаемость. Уровень экспрессии микроРНК во время терапии снижался и оставался низким до прогрессирования опухоли у пациентов, отвечающих на терапию [32].
N. Rajakumar с соавт. также оценивали профиль экспрессии различных микроРНК при НМРЛ и выявили пять микроРНК (микроРНК-2115-3р, -218-5р,-224-5р,-4676-3р,6503-5р) для оценки риска, позволяющие предсказать общую выживаемость пациентов с НМРЛ IV стадии, получающих монотерапию ингибитором PD-1 [33]. Другие итальянские исследователи признали экзосомальную микроРНК-625-5p новым независимым биомаркером ответа и выживаемости у пациентов, получающих ИКТИ в первой, второй или третьей линии терапии при НМРЛ [34].
Ответ на иммунотерапию, вероятно, определяется сложным взаимодействием между опухолью и иммунозависимыми факторами, что по своей сути ограничивает прогнозирование ответа на основе отдельно взятых биомаркеров и односторонних параметров опухоли. К тому же ограниченность выборки, гетерогенность опухоли, межпопуляционные различия также требуют дальнейшего углубленного изучения для восполнения пробела в знаниях. Очевидно, что выявление и валидация дополнительных прогностических биомаркеров для оценки эффективности и безопасности иммунотерапии будут активным направлением исследований на несколько лет вперед. В эпоху персонализированной медицины необходимы дальнейшие исследования и подтверждение результатов на более крупной независимой когорте пациентов, а также моделирование in vitro и in vivo, что позволит внедрить микроРНК для мониторинга и прогнозирования реакции на лечение и резистентности терапии ИКТИ в клинических условиях.
Исследование выполнено за счет гранта Российского научного фонда № 23-25-00392, https://rscf.ru/project/23-25-00392/.
Все процедуры, выполненные в исследовании с участием людей, соответствуют этическим стандартам институционального и/или национального комитета по исследовательской этике и Хельсинкской декларации 1964 г. и ее последующим изменениям или сопоставимым нормам этики.
От каждого из включенных в исследование участников было получено информированное добровольное согласие.
Авторы заявляют, что у них нет конфликта интересов.
Об авторах
Д. Д. Асадуллина
Институт биохимии и генетики – обособленное структурное подразделение Уфимского федерального исследовательского центра Российской академии наук; Башкирский государственный медицинский университет
Автор, ответственный за переписку.
Email: dilara.asadullina@yandex.ru
Россия, Уфа, 450054; Уфа, 450008
И. Р. Гилязова
Институт биохимии и генетики – обособленное структурное подразделение Уфимского федерального исследовательского центра Российской академии наук; Башкирский государственный медицинский университет
Email: gilyasova_irina@mail.ru
Россия, Уфа, 450054; Уфа, 450008
Е. А. Иванова
Институт биохимии и генетики – обособленное структурное подразделение Уфимского федерального исследовательского центра Российской академии наук
Email: dilara.asadullina@yandex.ru
Россия, Уфа, 450054
С. М. Измайлова
Башкирский государственный медицинский университет
Email: dilara.asadullina@yandex.ru
Россия, Уфа, 450008
Г. Р. Гилязова
Башкирский государственный медицинский университет
Email: dilara.asadullina@yandex.ru
Россия, Уфа, 450008
В. Н. Павлов
Башкирский государственный медицинский университет
Email: dilara.asadullina@yandex.ru
Россия, Уфа, 450008
Э. К. Хуснутдинова
Институт биохимии и генетики – обособленное структурное подразделение Уфимского федерального исследовательского центра Российской академии наук; Башкирский государственный медицинский университет
Email: dilara.asadullina@yandex.ru
Россия, Уфа, 450054; Уфа, 450008
Список литературы
- Najberg M., Mansor M.H., Boury F. et al. Reversing the tumor target: establishment of a tumor trap // Front. Pharmacol. 2019. V. 10. https://doi.org/10.3389/fphar.2019.00887
- Jackson C.M., Choi J., Lim M. Mechanisms of immunotherapy resistance: Lessons from glioblastoma // Nat. Immunol. 2019. V. 20. № 9. P. 1100–1109. https://doi.org/10.1038/s41590-019-0433-y
- Gilyazova I.R., Asadullina D.D., Ivanova E.A. et al. Germline mutations as possible biomarkers of immune checkpoint inhibitor therapy efficacy in patients with renal cell carcinoma (mini review) // Res. Results in Biomed. 2022. V. 8. № 2. P. 164–179. https://doi.org/10.18413/2658-6533-2022-8-2-0-3
- Vishnoi A., Rani S. miRNA biogenesis and regulation of diseases: An updated overview // Methods Mol. Biol. 2023. P. 1–12. https://doi.org/10.1007/978-1-0716-2823-2_1
- Hill M., Tran N. miRNA interplay: Mechanisms and consequences in cancer // Dis. Model Mech. 2021. V. 14. № 4. https://doi.org/10.1242/dmm.047662
- Khan A., Ahmed E.I., Elareer N.R. et al. Role of mi RNA-regulated cancer stem cells in the pathogenesis of human malignancies // Cells. 2019. V. 8. № 8. https://doi.org/10.3390/cells8080840
- Hussen B.M., Hidayat H.J., Salihi A. et al. MicroRNA: A signature for cancer progression // Biomedicine & Pharmacotherapy. 2021. V. 138. https://doi.org/10.1016/j.biopha.2021.111528
- He B., Zhao Zh.,Cai Q. et al. miRNA-based biomarkers, therapies, and resistance in cancer // Int. J. Biol. Sci. 2020. V. 16. № 14. P. 2628–2647. https://doi.org/10.7150/ijbs.47203
- Tao M., Zheng M., Xu Y. et al. CircRNAs and their regulatory roles in cancers // Mol. Medicine. 2021. V. 27. № 1. P. 94. https://doi.org/10.1186/s10020-021-00359-3
- Ivanova E., Asadullina D., Gilyazova G. et al. Exosomal MicroRNA levels associated with immune checkpoint inhibitor therapy in clear cell renal cell carcinoma // Biomedicines. 2023. V. 11. № 3. https://doi.org/10.3390/biomedicines11030801
- Wang Z., Han J., Cui Y. et al. Circulating microRNA-21 as noninvasive predictive biomarker for response in cancer immunotherapy // Med. Hypotheses. 2013. V. 81. № 1. P. 41–43. https://doi.org/10.1016/j.mehy.2013.03.001
- Chen L., Gibbons D.L., Goswami S. et al. Metastasis is regulated via microRNA-200/ZEB1 axis control of tumour cell PD-L1 expression and intratumoral immunosuppression // Nat. Commun. 2014. V. 5. № 1. https://doi.org/0.1038/ncomms6241
- Cortez M.A., Ivan C.,Valdecanas D. et al. PDL1 regulation by p53 via miR-34 // J. Nat. Cancer Institute. 2016. V. 108. № 1. https://doi.org/10.1093/jnci/djv303
- Rodriguez-Barrueco R., Nekritz E.A., Bertucci F. et al. miR-424(322)/503 is a breast cancer tumor suppressor whose loss promotes resistance to chemotherapy // Genes Dev. 2017. V. 31. № 6. P. 553–566. https://doi.org/10.1101/gad.292318.116
- Lu L., Wu M., Lu Y. et al. MicroRNA-424 regulates cisplatin resistance of gastric cancer by targeting SMURF1 based on GEO database and primary validation in human gastric cancer tissues // Onco. Targets Ther. 2019. V.12. P. 7623–7636. https://doi.org/10.2147/OTT.S208275
- Li Y., Liu H., Cui Y. et al. miR-424-3p contributes to the malignant progression and chemoresistance of gastric cancer // Onco. Targets Ther. 2020. V. 13. P. 12201–12211. https://doi.org/10.2147/OTT.S280717
- Zhang D., Shi Z., Li M. et al. Hypoxia-induced miR-424 decreases tumor sensitivity to chemotherapy by inhibiting apoptosis // Cell Death Dis. 2014. V. 5. № 6. P. e1301–e1301. https://doi.org/10.1038/cddis.2014.240
- Bieg D., Sypniewski D., Nowak E. et al. MiR-424-3p suppresses galectin-3 expression and sensitizes ovarian cancer cells to cisplatin // Arch. Gynecol. Obstet. 2019. V. 299. № 4. P. 1077–1087. https://doi.org/10.1007/s00404-018-4999-7
- Holmgren G., Synnergren J., Andersson Ch. X. et al. MicroRNAs as potential biomarkers for doxorubicin-induced cardiotoxicity // Toxicology in Vitro. 2016. V. 34. P. 26–34. https://doi.org/10.1016/j.tiv.2016.03.009
- Li R., Ruan Q., Zheng J. et al. LINC01116 promotes doxorubicin resistance in osteosarcoma by epigenetically silencing miR-424-5p and inducing epithelial-mesenchymal transition // Front. Pharmacol. 2021. V. 12. https://doi.org/10.3389/fphar.2021.632206
- Ralla B., Busch J., Flörcken A. et al. miR-9-5p in nephrectomy specimens is a potential predictor of primary resistance to first-line treatment with tyrosine kinase inhibitors in patients with metastatic renal cell carcinoma // Cancers (Basel). 2018. V. 10. № 9. https://doi.org/10.3390/cancers10090321
- Gámez-Pozo A., Antón-Aparicio L.M., Bayona Ch. et al. MicroRNA expression profiling of peripheral blood samples predicts resistance to first-line sunitinib in advanced renal cell carcinoma patients // Neoplasia. 2012. V. 14. № 12. P. 1144–1150. https://doi.org/10.1593/neo.12734
- Kovacova J., Juracek J., Poprach Al. et al. MiR-376b-3p is associated with long-term response to sunitinib in metastatic renal cell carcinoma patients // Cancer Genomics–Proteomics. 2019. V. 16. № 5. P. 353–359. https://doi.org/10.21873/cgp.20140
- He J., He J., Min L. et al. Extracellular vesicles transmitted miR‐31‐5p promotes sorafenib resistance by targeting MLH1 in renal cell carcinoma // Int. J. Cancer. 2020. V. 146. № 4. P. 1052–1063. https://doi.org/10.1002/ijc.32543
- Liu Y., Xie Q., Ma Y. et al. Nanobubbles containing PD-L1 Ab and miR-424 mediated PD-L1 blockade, and its expression inhibition to enable and potentiate hepatocellular carcinoma immunotherapy in mice // Int. J. Pharm. 2022. V. 629. https://doi.org/10.1016/j.ijpharm.2022.122352
- Mastroianni J., Stickel N., Andrlova H. et al. miR-146a controls immune response in the melanoma microenvironment // Cancer Res. 2019. V. 79. № 1. P. 183–195. https://doi.org/10.1158/0008-5472.CAN-18-1397
- Marschner D., Falk M., Javorniczky N.R. et al. MicroRNA-146a regulates immune-related adverse events caused by immune checkpoint inhibitors // JCI Insight. 2020. V. 5. № 6. https://doi.org/10.1172/jci.insight.132334
- Bhaumik D., Scott G.K., Schokrpur S. et al. Expression of microRNA-146 suppresses NF-κB activity with reduction of metastatic potential in breast cancer cells // Oncogene. 2008. V. 27. № 42. P. 5643–5647. https://doi.org/10.1038/onc.2008.171
- Wang G., Gu Y., Xu N. et al. Decreased expression of miR-150, miR146a and miR424 in type 1 diabetic patients: Association with ongoing islet autoimmunity // Biochem. Biophys. Res. Commun. 2018. V. 498. № 3. P. 382–387. https://doi.org/10.1016/j.bbrc.2017.06.196
- Peng X.-X.,Yu R., Wu X.et al. Correlation of plasma exosomal microRNAs with the efficacy of immunotherapy in EGFR/ALK wild-type advanced non-small cell lung cancer // J. Immunother. Cancer. 2020. V. 8. № 1. https://doi.org/10.1136/jitc-2019-000376
- Halvorsen A.R., Sandhu V., Sprauten M. et al. Circulating microRNAs associated with prolonged overall survival in lung cancer patients treated with nivolumab // Acta. Oncol. (Madr). 2018. V. 57. № 9. P. 1225–1231. https://doi.org/10.1080/0284186X.2018.1465585
- Boeri M., Milione M., Proto Cl. et al. Circulating miRNAs and PD-L1 tumor expression are associated with survival in advanced NSCLC patients treated with immunotherapy: А prospective study // Clin. Cancer Research. 2019. V. 25 № 7. P. 2166–2173. https://doi.org/10.1158/1078-0432.CCR-18-1981
- Rajakumar T., Horos R., Jehn J. et al. A blood-based miRNA signature with prognostic value for overall survival in advanced stage non-small cell lung cancer treated with immunotherapy // NPJ Precis. Oncol. 2022. V. 6. № 1. P. 19. https://doi.org/10.1038/s41698-022-00262-y
- Pantano F., Zalfa Fr., Iuliani M. et al. Large-scale profiling of extracellular vesicles identified miR-625-5p as a novel biomarker of immunotherapy response in advanced non-small-cell lung cancer patients // Cancers (Basel). 2022. V. 14. № 10. https://doi.org/10.3390/cancers14102435
Дополнительные файлы






