Genome-Wide Association Study of the Risk of Schizophrenia in the Republic of Bashkortostan
- Authors: Gareeva A.E.1,2
-
Affiliations:
- Institute of Biochemistry and Genetics, Ufa Federal Research Center of the Russian Academy of Sciences
- Bashkir State Medical University
- Issue: Vol 59, No 8 (2023)
- Pages: 954-963
- Section: ГЕНЕТИКА ЧЕЛОВЕКА
- URL: https://ogarev-online.ru/0016-6758/article/view/134639
- DOI: https://doi.org/10.31857/S0016675823080076
- EDN: https://elibrary.ru/XTJAXD
- ID: 134639
Cite item
Full Text
Abstract
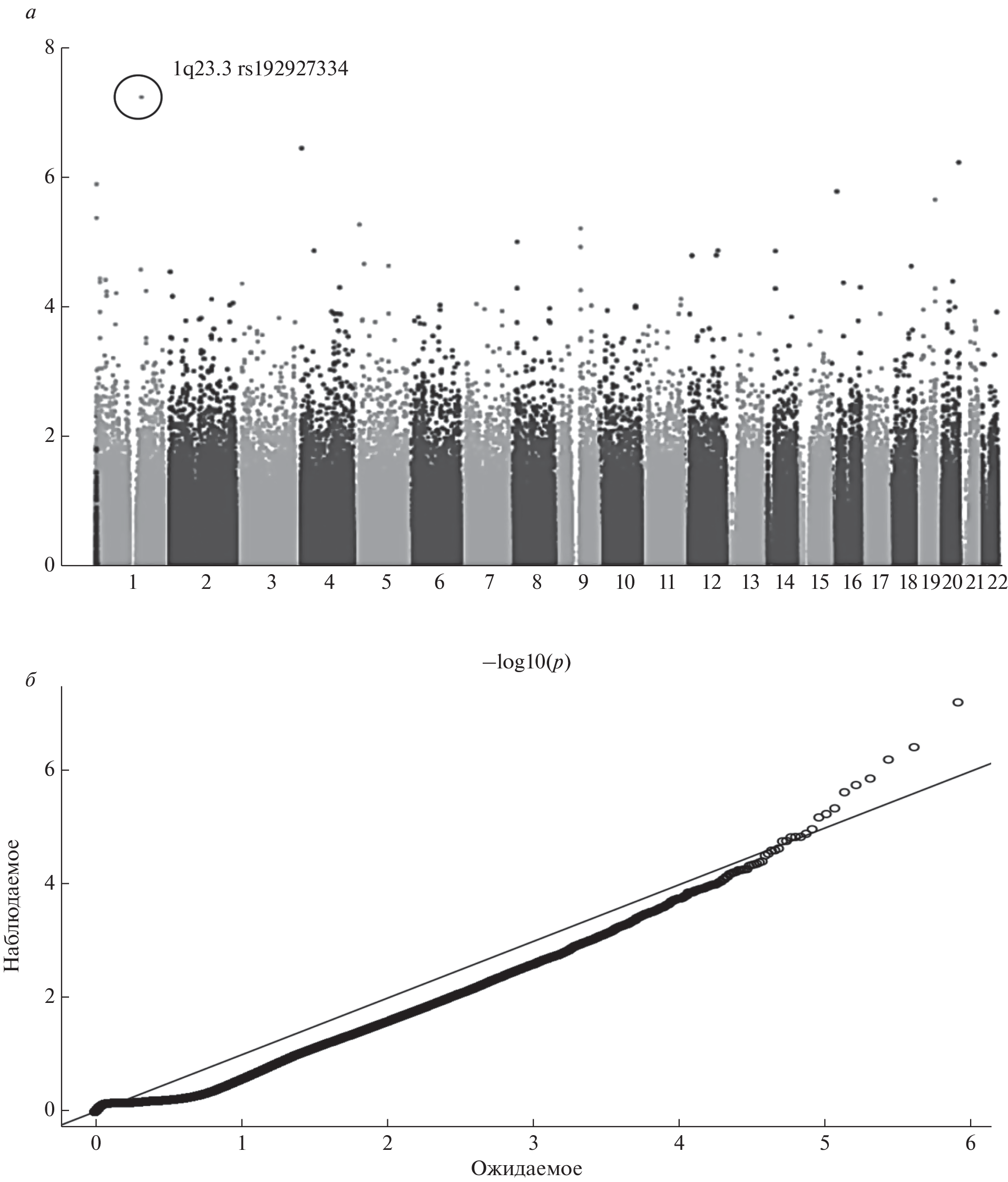
Genome-wide association studies (GWAS) have proven to be a powerful approach to discovering genes for susceptibility to schizophrenia; their findings are important not only for our understanding of the genetic architecture of a given disease, but also for potential applications in the field of personalized medicine. The aim of this study was to study the genetic risk factors for the development of schizophrenia during a genome-wide association analysis in the Republic of Bashkortostan.
About the authors
A. E. Gareeva
Institute of Biochemistry and Genetics, Ufa Federal Research Center of the Russian Academy of Sciences; Bashkir State Medical University
Author for correspondence.
Email: annagareeva@yandex.ru
Russia, 450054, Ufa; Russia, 450008, Ufa
References
- Lam M., Chen C.Y., Li Z. et al. Comparative genetic architectures of schizophrenia in East Asian and European populations // Nat. Genet. 2019. V. 51. № 12. P. 1670–1678. https://doi.org/10.1038/s41588-019-0512-x
- Bigdeli T.B., Genovese G., Georgakopoulos P. et al. Contributions of common genetic variants to risk of schizophrenia among individuals of African and Latino ancestry // Mol. Psychiatry. 2020. V. 10. № 10. P. 2455–2467. https://doi.org/1038/s41380-019-0517-y
- Trubetskoy V., Pardiñas A.F., Qi T. et al. Mapping genomic loci implicates genes and synaptic biology in schizophrenia // Nature. 2022. V. 604. № 7906. P. 502–508. https://doi.org/10.1038/s41586-022-04434-5
- Singh T., Poterba T., Curtis D. et al. Rare coding variants in ten genes confer substantial risk for schizophrenia // Nature. 2022. V. 604. P. 509–516. https://doi.org/10.1038/s41586-022-04556-w
- Mathew C.C. The isolation of high molecular weight eucariotic DNA // Methods in Molecular Biology / Ed. Walker J.M. N.Y.: Haman Press, 1984. V. 2. P. 31–34.
- Purcell S., Neale B., Todd-Brown K. et al. PLINK: A toolset for whole-genome association and population-based linkage analysis // Am. J. Hum. Genet. 2007. V. 81. № 3. P. 559–575. https://doi.org/10.1086/519795
- Benjamini Y., Drai D., Elmer G. et al. Controlling the false discovery rate in behavior genetics research // Behav. Brain Res. 2001. V. 125. № 1–2. P. 279–284. https://doi.org/10.1016/s0166-4328(01)00297-2
- Price A.L., Patterson N.J., Plenge R.M. et al. Principal components analysis corrects for stratification in genome-wide association studies // Nat. Genet. 2006. V. 38. № 8. P. 904–909. https://doi.org/10.1038/ng1847
- Le Tanno P., Breton J., Bidart M. et al. PBX1 haploinsufficiency leads to syndromic congenital anomalies of the kidney and urinary tract (CAKUT) in humans // J. Med. Genet. 2017. V. 54. № 7. P. 502–510. https://doi.org/10.1136/jmedgenet-2016-104435
- Mann R.S., Affolter M. Hox proteins meet more partners // Curr. Opin. Genet. Dev. 1998. V. 8. № 4. P. 423–429. https://doi.org/10.1016/s0959-437x(98)80113
- Moens C.B., Selleri L. Hox cofactors in vertebrate development // Dev. Biol. 2006. V. 291. № 2. P. 193–206. https://doi.org/10.1016/j.ydbio.2005.10.032
- Luo M., Gu X., Zhou T., Chen C. Prenatal diagnosis and molecular cytogenetic analyses of a paternal inherited deletion of 1q23.3 encompassing PBX1 gene // Mol. Cytogenet. 2022. V. 15. № 1. P. 53. https://doi.org/10.1186/s13039-022-00632-y
- Ferretti E., Cambronero F., Tümpel S. et al. Hoxb1 enhancer and control of rhombomere 4 expression: Complex interplay between PREP1–PBX1–HOXB1 binding sites // Mol. Cell. Biol. 2005. V. 25. № 19. P. 8541–8552. https://doi.org/10.1128/MCB.25.19.8541-8552.2005
- Takács-Vellai K., Vellai T., Chen E.B. et al. Transcriptional control of Notch signaling by a HOX and a PBX/EXD protein during vulval development in C. elegans // Dev. Biol. 2007. V. 302. № 2. P. 661–669. https://doi.org/10.1242/dev.050567
- Selleri L., Depew M.J., Jacobs Y. et al. Requirement for Pbx1 in skeletal patterning and programming chondrocyte proliferation and differentiation // Development. 2001. V. 128. № 18. P. 3543–3557. https://doi.org/10.1242/dev.128.18.3543
- Fernandez-Diaz L.C., Laurent A., Girasoli S. et al. The absence of Prep1 causes p53–dependent apoptosis of mouse pluripotent epiblast cells // Development. 2010. V. 137. № 20. P. 3393–3403. https://doi.org/10.1242/dev.050567
- Monteiro M.C., Sanyal M., Cleary M.L. et al. PBX1: A novel stage-specific regulator of adipocyte development // Stem. Cells. 2011. V. 29. № 11. P. 1837–1848. https://doi.org/10.1002/stem.737
- Gurling H.M., Kalsi G., Brynjolfson J. et al. Genome-wide genetic linkage analysis confirms the presence of susceptibility loci for schizophrenia, on chromosomes 1q32.2, 5q33.2, and 8p21–22 and provides support for linkage to schizophrenia, on chromosomes 11q23.3–24 and 20q12.1–11.23 // Am. J.Hum. Genet. 2001. V. 68. № 3. P. 661–673. https://doi.org/10.1002/stem.737
- Chowdari K.V., Mirnics K., Semwal P. et al. Association and linkage analyses of RGS4 polymorphisms in schizophrenia // Hum. Mol. Genet. 2002. V. 11. № 12. P. 1373–1380. https://doi.org/10.1093/hmg/11.12.1373
- Chowdari K.V., Bamne M., Wood J. et al. Linkage disequilibrium patterns and functional analysis of RGS4 polymorphisms in relation to schizophrenia // Schizophr. Bull. 2008. V. 34. № 1. P. 118–126. https://doi.org/10.1093/schbul/sbm042
- Puri V., McQuillin A., Datta S. et al. Confirmation of the genetic association between the U2AF homology motif (UHM) kinase 1 (UHMK1) gene and schizophrenia on chromosome 1q23.3 // Eur. J. Hum. Genet. 2008. V. 16. № 10. P. 1275–1282. https://doi.org/10.1038/ejhg.2008.76
- Need A.C., Ge D., Weale M.E. et al. A genome wide investigation of SNPs and CNVs in schizophrenia // PLoS Genet.2009. V. 5. № 2. P. e1000373. https://doi.org/10.1371/journal.pgen.1000373
- Holliday E.G., McLean D.E., Nyholt D.R., Mowry B.J. Susceptibility locus on chromosome 1q23–25 for a schizophrenia subtype resembling deficit schizophrenia identified by latent class analysis // Arch. Gen. Psychiatry. 2009. V. 66. № 10. P. 1058–1067. https://doi.org/10.1001/archgenpsychiatry.2009.136
- Liou Y.J., Wang H.H., Lee M.T. et al. Genome-wide association study of treatm.nt refractory schizophrenia in Han Chinese // PLoS One. 2012. V. 7. № 3. P. e33598. https://doi.org/10.1371/journal.pone.0033598
- Shriebman Y., Yitzhaky A., Kosloff M., Hertzberg L. Gene expression meta-analysis in patients with schizophrenia reveals up-regulation of RGS2 and RGS16 in Brodmann Area 10 // Eur. J. Neurosci. 2023. V. 57. № 2. P. 360–372. https://doi.org/10.1111/ejn.15876
- Cheah S.Y., Lawford B.R., Young R.M. et al. Association of NOS1AP variants and depression phenotypes in schizophrenia // J. Affect. Disord. 2015. V. 188. P. 263–269. https://doi.org/10.1016/j.jad.2015.08.069
- Melo-Felippe F.B., Fontenelle L.F., Kohlrausch F.B. Gene variations in PBX1, LMX1A and SLITRK1 are associated with obsessive-compulsive disorder and its clinical features // J. Clin. Neurosci. 2019. V. 61. P. 180–185. https://doi.org/10.1016/j.jocn.2018.10.042
- Smith E.N., Bloss C.S., Badner J.A. et al. Genome-wide association study of bipolar disorder in European American and African American individuals // Mol. Psychiatry. 2009. V. 14. № 8. P. 755–763. https://doi.org/10.1038/ejhg.2008.76
- Namkung J., Kim Y., Park T. Whole-genome association studies of alcoholism with loci linked to schizophrenia susceptibility // BMC Genet. 2005. V. 6. Suppl. 1. P. S9.
- Sun M., Lou J., Li Q. et al. Prenatal findings and molecular cytogenetic analyses of a de novo interstitial deletion of 1q23.3 encompassing PBX1 gene // Taiwan J. Obstet. Gynecol. 2019. V. 58. № 2. P. 292–295. https://doi.org/10.1016/j.tjog.2019.01.022
- Luo M., Gu X., Zhou T., Chen C. Prenatal diagnosis and molecular cytogenetic analyses of a paternal inherited deletion of 1q23.3 encompassing PBX1 gene // Mol. Cytogenet. 2022. V. 15. № 1. P. 53. https://doi.org/10.1186/s13039-022-00632-y
- Hoshina T., Seto T., Shimono T. et al. Narrowing down the region responsible for 1q23.3q24.1 microdeletion by identifying the smallest deletion // Hum. Genome Var. 2019. V. 6. P. 47. https://doi.org/10.1038/s41439-019-0079-1
Supplementary files


