Peculiarities of Transcriptional Activity of Long Non-Coding RNAs (COOLAIR, COLDAIR, and COLDWRAP) during the Vernalization of the Plant Arabidopsis thaliana of Northern Natural Populations
- Authors: Zaretskaya M.V.1, Lebedeva O.N.1, Fedorenko O.M.1
-
Affiliations:
- Institute of Biology of Karelian Research Centre Russian Academy of Sciences
- Issue: Vol 59, No 8 (2023)
- Pages: 938-945
- Section: ГЕНЕТИКА РАСТЕНИЙ
- URL: https://ogarev-online.ru/0016-6758/article/view/134637
- DOI: https://doi.org/10.31857/S0016675823080118
- EDN: https://elibrary.ru/XUADPR
- ID: 134637
Cite item
Full Text
Abstract
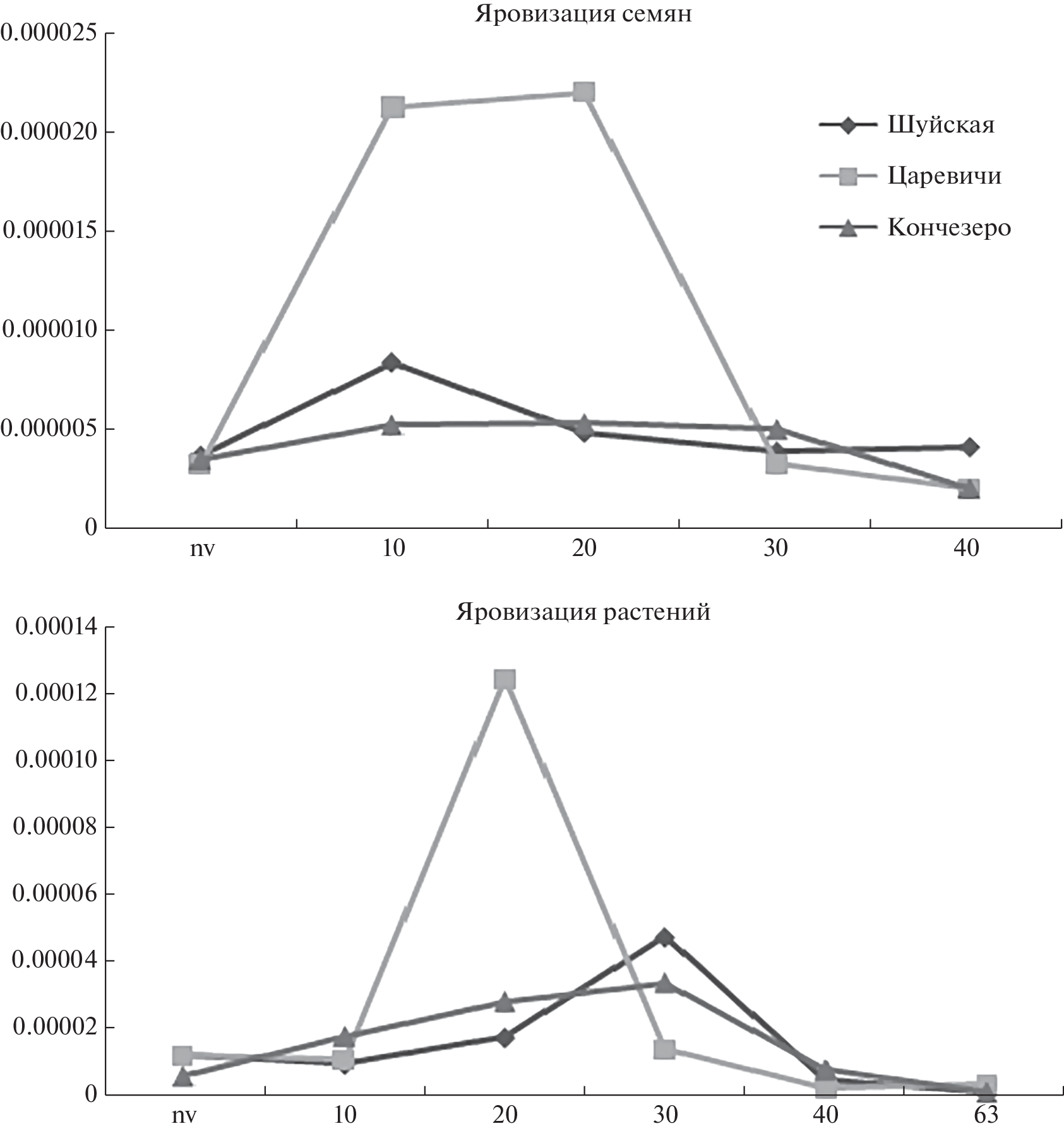
Peculiarities of the lncRNA expression – COOLAIR, COLDAIR, and COLDWRAP, which perform an important function in the vernalization-mediated epigenetic mechanism of the transition to flowering in A. thaliana plants of northern natural populations (Karelia), were revealed. The results obtained are partly differ from the data of other authors performing studies on pure lines and other ecotypes of this species. It is suggested that the genetic and epigenetic mechanisms involved in the process of vernalization and control of flowering times may differ in plant populations from different geographic regions.
About the authors
M. V. Zaretskaya
Institute of Biology of Karelian Research Centre Russian Academy of Sciences
Author for correspondence.
Email: genmg@mail.ru
Russia, 185910, Petrozavodsk
O. N. Lebedeva
Institute of Biology of Karelian Research Centre Russian Academy of Sciences
Email: fedorenko_om@mail.ru
Russia, 185910, Petrozavodsk
O. M. Fedorenko
Institute of Biology of Karelian Research Centre Russian Academy of Sciences
Author for correspondence.
Email: fedorenko_om@mail.ru
Russia, 185910, Petrozavodsk
References
- Dennis E.S., Peacock W.J. Epigenetic regulation of flowering // Curr. Opin. Plant Biol. 2007. V. 10(5). P. 520–527. https://doi.org/10.1016/j.pbi.2007.06.009
- Marquardt S., Raitskin O., Wu Z. et al. Functional consequences of splicing of the antisense transcript COOLAIR on FLC transcription // Mol. Cell. 2014. V. 54(1). P. 156–165. https://doi.org/10.1016/j.molcel.2014.03.026
- Rosa St., Duncan S., Dean C. Mutually exclusive sense-antisense transcription at FLC facilitates environmentally induced gene repression // Nat. Commun. 2016. V. 7. https://doi.org/10.1038/ncomms13031
- Chen M., Penfield St. Feedback regulation of COOLAIR expression controls seed dormancy and flowering time // Science. 2018. V. 360. P. 1014–1017. https://doi.org/10.1126/sience.aar7361
- Zhao Y., Zhu P., Hepworth J. et al. Natural temperature fluctuations promote COOLAIR regulation of FLC // Genes Dev. 2021. V. 35(11, 12). P. 888–898. https://doi.org/10.1101/gad.348362.121
- Heo J.B., Sung S. Vernalization-mediated epigenetic silencing by a long intronic noncoding RNA // Science. 2011. V. 331. P. 76–79.
- Kim D.H., Sung S. Vernalization-triggered intragenic chromatin loop formation by long noncoding RNAs // Developmental Cell. 2017. V. 40. P. 302–312. https://doi.org/10.1016/j.devcel.2016.12.021
- Федоренко О.М., Топчиева Л.В., Зарецкая М.В., Лебедева О.Н. Динамика экспрессии FLC и VIN3 в процессе яровизации растений Arabidopsis thaliana северных природных популяций // Генетика. 2019. Т. 55. № 7. С. 811–818. https://doi.org/10.1134/S0016675819060031
- Choi J., Hyun Y., Kang M.J. et al. Resetting and regulation of Flowering Locus C expression during Arabidopsis reproductive development // Plant J. 2009. V. 57. P. 918–931. https://doi.org/10.1111/j.1365-313X.2008.03776.x
- Иванов В.И., Касьяненко А.Г., Санина А.В. и др. Краткая характеристика A. thaliana и некоторые сведения о его культивировании, технике скрещиваний и учете изменчивости // Генетика. 1966. Т. 8. С. 115–120.
- Livak K.J., Schmittgen T.D. Analysis of relative gene expression data using real-time quantitative PCR and the 2–∆∆Ct method // Methods. 2001. V. 25. P. 402–408. https://doi.org/10.1006/meth.2001.1262
- Kranz A.R., Kircheim B. Genetic resources in Arabidopsis // AIS. 1987. № 24. P. 20.
- Федоренко О.М., Грицких М.В., Николаевская Т.С. Полиморфизм по времени начала цветения у Arabidopsis thaliana (L.) Heynh. на северной границе его ареала // Тр. КарНЦ РАН. Серия эксперим. биология. 2012. № 2. С. 139–146.
- Курбидаева А.С., Зарецкая М.В., Солтабаева А.Д. и др. Генетические механизмы адаптации растений Arabidopsis thaliana (L.) Heynh. к экстремальным условиям северной границы ареала // Генетика. 2013. Т. 49. № 8. С. 943–953. https://doi.org/10.7868/S0016675813080092
- Kuittinen H., Sillanpaa M.J., Savolainen O. Genetic basis of adaptation: Flowering time in Arabidopsis thaliana // Theor. Appl. Genet. 1997. V. 95. P. 573–583.
- Shindo C., Lister C., Crevillen P. et al. Variation in the epigenetic silencing of FLC contributes to natural variation in Arabidopsis vernalization response // Genes and Development. 2006. V. 20. P. 3079–3083. https://doi.org/10.1101/gad.405306
- Lee I., Amasino R.M. Effect of vernalization, photoperiod and light quality on the flowering phenotype of Arabidopsis plants containing the FRIGIDA gene // Plant Physiol. 1995. V. 108. P. 157–162.
- Coustham V., Li P., Strange A. et al. Quantitative modulation of polycomb silencing underlines natural variation in vernalization // Science. 2012. V. 337. P. 584–587. https://doi.org/10.1126/science.1221881
- Duncan S., Holm S., Questa J. et al. Seasonal shift in timing of vernalization as an adaptation to extreme winter // ELIFE. 2015. V. 23. № 4. https://doi.org/10.7554/eLife.06620
- Saleh A., Alvarez-Venegas R., Avramova Z. Dynamic and stable histone H3 methylation patterns at the Arabidopsis FLC and AP1 loci // Gene. 2008. V. 423. P. 43–47. https://doi.org/10.1016/j.gene.2008.06.022
- Sheldon C.C., Hills M.J., Lister C. et al. Resetting of FLOWERING LOCUS C expression after epigenetic repression by vernalization // Proc. Natl Acad. Sci. USA. 2008. V. 105. P. 2214–2219.https://doi.org/10.1073/pnas.0711453105
- Chiang G.C.K., Barua D., Kramer E.M. et al. Major flowering time gene, Flowering Locus C, regulates seed germination in Arabidopsis thaliana // PNAS. 2009. V. 106. № 28. P. 11661–1666. https://doi.org/10.1073/pnas.090367106
- Ausin L., Alonso-Blanco C., Martinez-Zapater J.M. Regulation of flowering time by FVE, a retinoblastoma-associated protein // Nat. Genet. 2004. V. 36. P. 162–166.
- Maruoka T., Gan E.S., Otsuka N. et al. Histone demethylases JMJ30 and JMJ32 modulate the speed of vernalization through the activation of FLOWERING LOCUS C in Arabidopsis thaliana // Front. Plant Sci. 2022 V. 13. P. 837831–837839. https://doi.org/10.3389/fpls.2022.837831
Supplementary files





