Экспериментальная оценка возможности выявления кросс-контаминированных образцов ДНК на основе генетических данных
- Авторы: Фелиз Н.В.1, Юдин С.М.1, Кескинов А.А.1, Юдин В.С.1, Снигирь Е.А.1, Мкртчян А.А.1, Ахмерова Ю.Н.1, Казакова П.Г.1, Шпакова Т.А.1, Ерохина М.В.1, Маралова Е.Д.1, Конуреева К.Д.1, Гребнев П.А.1, Митрофанов С.И.1, Грамматикати К.С.1, Скворцова В.И.2
-
Учреждения:
- Федеральное государственное бюджетное учреждение “Центр стратегического планирования и управления медико-биологическими рисками здоровью” Федерального медико-биологического агентства
- Федеральное медико-биологическое агентство
- Выпуск: Том 59, № 7 (2023)
- Страницы: 828-838
- Раздел: МАТЕМАТИЧЕСКИЕ МОДЕЛИ И МЕТОДЫ
- URL: https://ogarev-online.ru/0016-6758/article/view/134621
- DOI: https://doi.org/10.31857/S0016675823060061
- EDN: https://elibrary.ru/SSDAUO
- ID: 134621
Цитировать
Полный текст
Аннотация
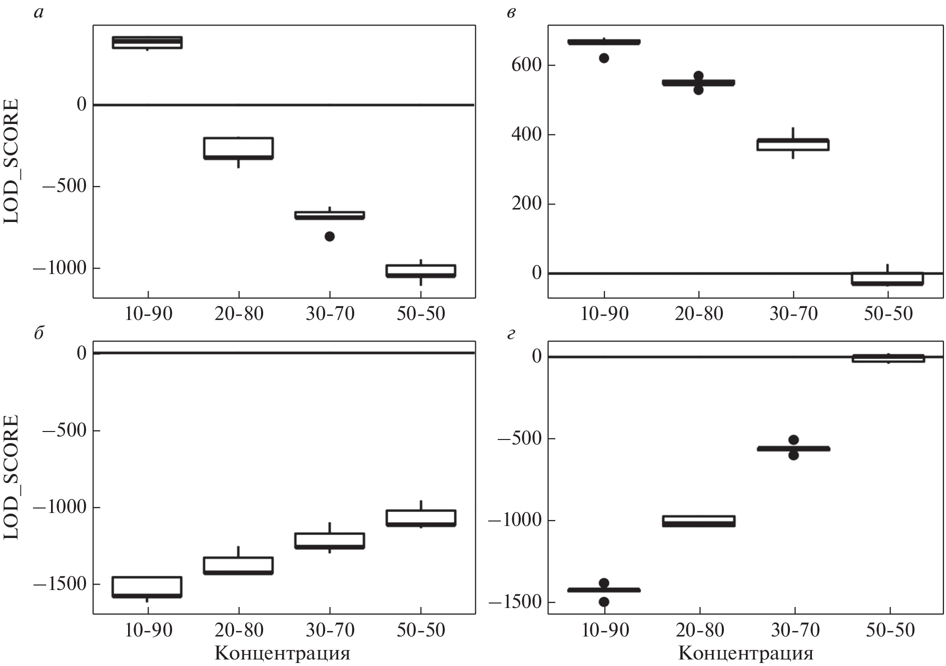
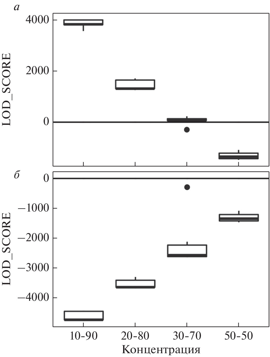
Проблемы кросс-контаминации и неправильной маркировки образцов биоматериала являются крайне актуальными при проведении массовых генетических исследований. В настоящем исследовании проведена экспериментальная оценка возможности выявления кросс-контаминированных образцов ДНК с использованием нескольких подходов: расчета отношения ридов, приходящихся на референсный или альтернативный аллель (allele ratio, AR); отношения количества гетерозиготных вариантов к гомозиготным; значения показателя CallRate для данных, полученных с помощью ДНК-микрочипов; программы Picard CrosscheckFingerprints (CrossCheck). Для проведения исследований были созданы контаминированные образцы (смеси) путем смешивания обычных “чистых” образцов ДНК в разных соотношениях. Показатели качества образцов проанализированы по данным полногеномного секвенирования и генотипирования с помощью ДНК-микрочипа Illumina microarray BeadArray technology CoreExome (СЕ). Экспериментально установлено, что все указанные подходы могут быть использованы для выявления ошибок генотипирования, связанных с контаминированием образцов.
Ключевые слова
Об авторах
Н. В. Фелиз
Федеральное государственное бюджетное учреждение “Центр стратегического планированияи управления медико-биологическими рисками здоровью” Федерального медико-биологического
агентства
Автор, ответственный за переписку.
Email: feliz08nv@gmail.com
Россия, 119121, Москва
С. М. Юдин
Федеральное государственное бюджетное учреждение “Центр стратегического планированияи управления медико-биологическими рисками здоровью” Федерального медико-биологического
агентства
Email: feliz08nv@gmail.com
Россия, 119121, Москва
А. А. Кескинов
Федеральное государственное бюджетное учреждение “Центр стратегического планированияи управления медико-биологическими рисками здоровью” Федерального медико-биологического
агентства
Email: feliz08nv@gmail.com
Россия, 119121, Москва
В. С. Юдин
Федеральное государственное бюджетное учреждение “Центр стратегического планированияи управления медико-биологическими рисками здоровью” Федерального медико-биологического
агентства
Email: feliz08nv@gmail.com
Россия, 119121, Москва
Е. А. Снигирь
Федеральное государственное бюджетное учреждение “Центр стратегического планированияи управления медико-биологическими рисками здоровью” Федерального медико-биологического
агентства
Email: feliz08nv@gmail.com
Россия, 119121, Москва
А. А. Мкртчян
Федеральное государственное бюджетное учреждение “Центр стратегического планированияи управления медико-биологическими рисками здоровью” Федерального медико-биологического
агентства
Email: feliz08nv@gmail.com
Россия, 119121, Москва
Ю. Н. Ахмерова
Федеральное государственное бюджетное учреждение “Центр стратегического планированияи управления медико-биологическими рисками здоровью” Федерального медико-биологического
агентства
Email: feliz08nv@gmail.com
Россия, 119121, Москва
П. Г. Казакова
Федеральное государственное бюджетное учреждение “Центр стратегического планированияи управления медико-биологическими рисками здоровью” Федерального медико-биологического
агентства
Email: feliz08nv@gmail.com
Россия, 119121, Москва
Т. А. Шпакова
Федеральное государственное бюджетное учреждение “Центр стратегического планированияи управления медико-биологическими рисками здоровью” Федерального медико-биологического
агентства
Email: feliz08nv@gmail.com
Россия, 119121, Москва
М. В. Ерохина
Федеральное государственное бюджетное учреждение “Центр стратегического планированияи управления медико-биологическими рисками здоровью” Федерального медико-биологического
агентства
Email: feliz08nv@gmail.com
Россия, 119121, Москва
Е. Д. Маралова
Федеральное государственное бюджетное учреждение “Центр стратегического планированияи управления медико-биологическими рисками здоровью” Федерального медико-биологического
агентства
Email: feliz08nv@gmail.com
Россия, 119121, Москва
К. Д. Конуреева
Федеральное государственное бюджетное учреждение “Центр стратегического планированияи управления медико-биологическими рисками здоровью” Федерального медико-биологического
агентства
Email: feliz08nv@gmail.com
Россия, 119121, Москва
П. А. Гребнев
Федеральное государственное бюджетное учреждение “Центр стратегического планированияи управления медико-биологическими рисками здоровью” Федерального медико-биологического
агентства
Email: feliz08nv@gmail.com
Россия, 119121, Москва
С. И. Митрофанов
Федеральное государственное бюджетное учреждение “Центр стратегического планированияи управления медико-биологическими рисками здоровью” Федерального медико-биологического
агентства
Email: feliz08nv@gmail.com
Россия, 119121, Москва
К. С. Грамматикати
Федеральное государственное бюджетное учреждение “Центр стратегического планированияи управления медико-биологическими рисками здоровью” Федерального медико-биологического
агентства
Email: feliz08nv@gmail.com
Россия, 119121, Москва
В. И. Скворцова
Федеральное медико-биологическое агентство
Email: feliz08nv@gmail.com
Россия, 123182, Москва
Список литературы
- Dallavilla T., Marceddu G., Casadei A. et al. A fast, reliable and easy method to detect within-species DNA contamination // Acta Bio-Medica Atenei Parm. 2020. V. 91. № 13-S. https://doi.org/10.23750/abm.v91i13-S.10531
- Wang J., Raskin L., Samuels D.C. et al. Genome measures used for quality control are dependent on gene function and ancestry // Bioinformatics. 2015. V. 31. № 3. P. 318–323. https://doi.org/10.1093/bioinformatics/btu668
- Javed N., Farjoun Y., Fennell T.J. et al. Detecting sample swaps in diverse NGS data types using linkage disequilibrium // Nat. Commun.2020. V. 11. № 1. P. 3697. https://doi.org/10.1038/s41467-020-17453-5
- Miller N.A., Farrow E.G., Gibson M. et al. A 26-hour system of highly sensitive whole genome sequencing for emergency management of genetic diseases // Genome Med. 2015. V. 7. № 1. P. 100. https://doi.org/10.1186/s13073-015-0221-8
- Kim S., Scheffler K., Halpern A.L. et al. Strelka2: Fast and accurate calling of germline and somatic variants // Nat. Methods. 2018. V. 15. № 8. P. 591–594. https://doi.org/10.1038/s41592-018-0051-x
- Danecek P., Bonfield J.K., Liddle J. et al. Twelve years of SAMtools and BCFtools // GigaScience. 2021. V. 10. № 2. https://doi.org/10.1093/gigascience/giab008
- Zhao H., Sun Z., Wang J. et al. CrossMap: A versatile tool for coordinate conversion between genome assemblies // Bioinforma. Oxf. Engl. 2014. V. 30. № 7. P. 1006–1007. https://doi.org/10.1093/bioinformatics/btt730
Дополнительные файлы









