Влияние гена aPKC, кодирующего атипичную протеинкиназу C, на продолжительность жизни D. melanogaster зависит от уровня экспрессии протеинкиназы GSK3
- Авторы: Тростников М.В.1, Веселкина Е.Р.1, Андреев Ю.А.1, Хрячкова А.Ю.1, Рощина Н.В.1,2, Пасюкова Е.Г.1
-
Учреждения:
- Институт молекулярной генетики Национального исследовательского центра “Курчатовский институт”
- Институт общей генетики им. Н.И. Вавилова Российской академии наук
- Выпуск: Том 59, № 1 (2023)
- Страницы: 26-38
- Раздел: ОБЩАЯ ГЕНЕТИКА
- URL: https://ogarev-online.ru/0016-6758/article/view/134499
- DOI: https://doi.org/10.31857/S0016675823010125
- EDN: https://elibrary.ru/CNOZBD
- ID: 134499
Цитировать
Полный текст
Аннотация
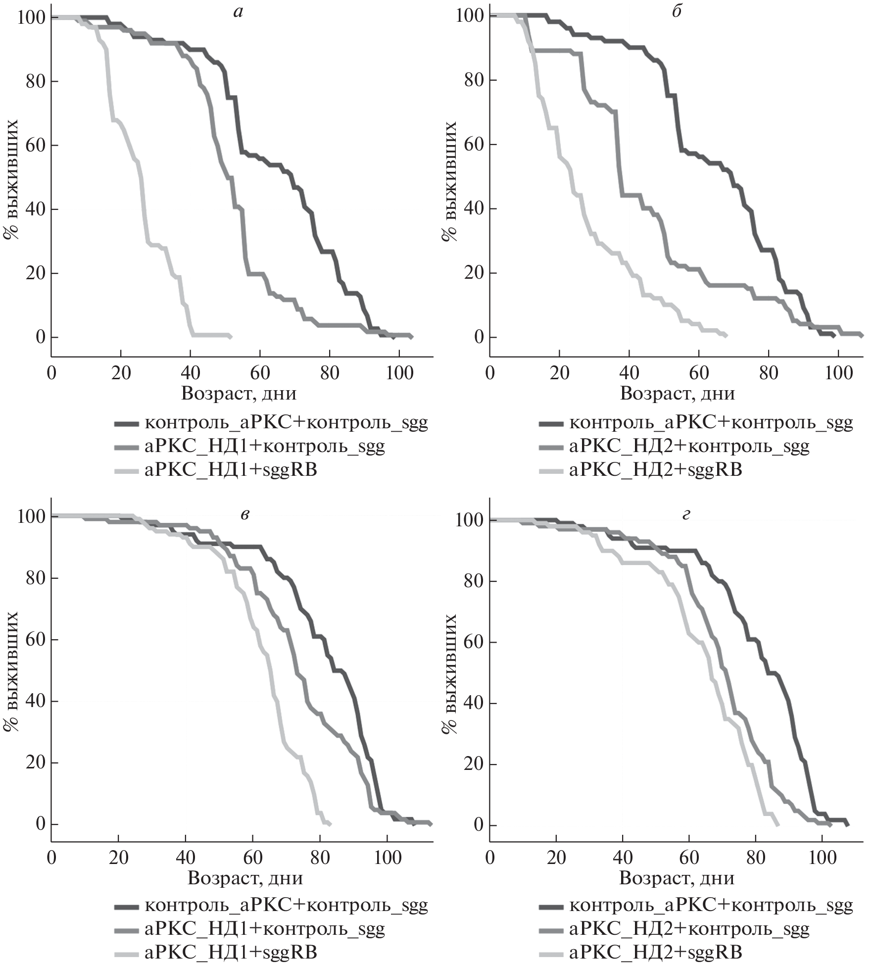
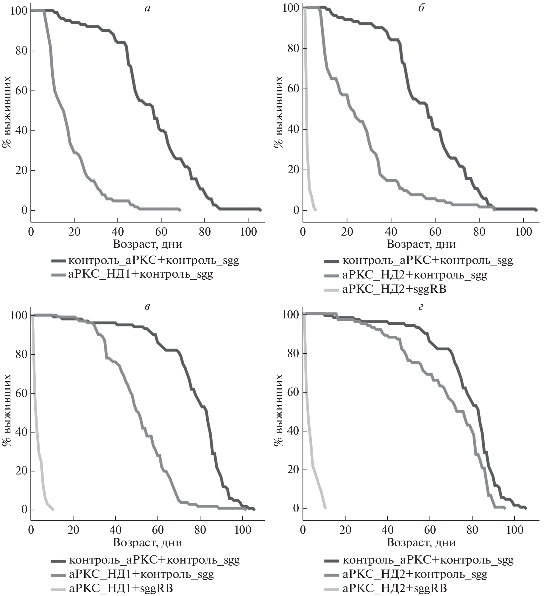
Гены shaggy и aPKC Drosophila melanogaster кодируют высококонсервативные протеинкиназы GSK3 (Glycogen Syntase Kinase 3) и aPKC (Protein Kinase C), играющие ключевую роль во многих клеточных процессах. Ранее мы продемонстрировали, что изменение экспрессии гена shaggy в нейронах влияет на продолжительность жизни. В настоящей статье показано, что изменение экспрессии гена aPKC в нейронах также влияет на продолжительность жизни. Изменение экспрессии двух протеинкиназ во всех нейронах самцов и самок и в мотонейронах самцов приводило к изменению продолжительности жизни, свидетельствующему об отсутствии влияния aPKC на GSK3 и возможном ингибирующем действии GSK3 на aPKC. В то же время изменение экспрессии двух протеинкиназ в мотонейронах самок приводило к изменению продолжительности жизни, свидетельствующему о существовании пока неясного механизма взаимодействия между этими белками. Выяснение механизмов взаимодействия между aPKC, GSK3 и другими их партнерами позволит углубить и расширить наши представления о причинах долголетия и способах продления жизни.
Об авторах
М. В. Тростников
Институт молекулярной генетики Национального исследовательского центра“Курчатовский институт”
Автор, ответственный за переписку.
Email: mikhail.trostnikov@gmail.com
Россия, 123182, Москва
Е. Р. Веселкина
Институт молекулярной генетики Национального исследовательского центра“Курчатовский институт”
Email: mikhail.trostnikov@gmail.com
Россия, 123182, Москва
Ю. А. Андреев
Институт молекулярной генетики Национального исследовательского центра“Курчатовский институт”
Email: mikhail.trostnikov@gmail.com
Россия, 123182, Москва
А. Ю. Хрячкова
Институт молекулярной генетики Национального исследовательского центра“Курчатовский институт”
Email: mikhail.trostnikov@gmail.com
Россия, 123182, Москва
Н. В. Рощина
Институт молекулярной генетики Национального исследовательского центра“Курчатовский институт”; Институт общей генетики им. Н.И. Вавилова Российской академии наук
Email: mikhail.trostnikov@gmail.com
Россия, 123182, Москва; Россия, 119991, Москва
Е. Г. Пасюкова
Институт молекулярной генетики Национального исследовательского центра“Курчатовский институт”
Email: mikhail.trostnikov@gmail.com
Россия, 123182, Москва
Список литературы
- López-Otín C., Blasco M.A., Partridge L. et al. The hallmarks of aging // Cell. 2013. V. 153. № 6. P. 1194–1217. https://doi.org/10.1016/j.cell.2013.05.039
- Hipp M.S., Kasturi P., Hartl F.U. The proteostasis network and its decline in ageing // Nat. Rev. Mol. Cell Biol. 2019. V. 20. № 7. P. 421–435. https://doi.org/10.1038/s41580-019-0101-y
- Vilchez D., Boyer L., Morantte I. et al. Increased proteasome activity determines human embryonic stem cell identity // Nature. 2012. V. 489. № 7415. P. 304–308. https://doi.org/10.1038/nature11468
- Schröter F., Adjaye J. The proteasome complex and the maintenance of pluripotency: Sustain the fate by mopping up? // Stem Cell Research & Therapy. 2014. V. 5. № 1. P. 24. https://doi.org/10.1186/scrt413
- Moore D., Pilz G., Araúzo-Bravo M. et al. A mechanism for the segregation of age in mammalian neural stem cells // Science. 2015. V. 349. № 6254. P. 1334–1338. https://doi.org/10.1126/science.aac9868
- Loyer N., Januschke J. Where does asymmetry come from? Illustrating principles of polarity and asymmetry establishment in Drosophila neuroblasts // Curr. Opinion in Cell Biology. 2020. V. 62. P. 70–77. https://doi.org/10.1016/j.ceb.2019.07.018
- Gallaud E., Pham T., Cabernard C. Drosophila melanogaster neuroblasts: A model for asymmetric stem cell divisions // Results Probl. Cell Differ. 2017. V. 61. P. 183–210. https://doi.org/10.1007/978-3-319-53150-2_8
- Shao C.Y., Crary J.F., Rhao C. et al. Atypical protein kinase C in neurodegenerative disease II: PKCiota/lambda in tauopathies and alpha-synucleinopathies // J. Neuropathol. Exp. Neurol. 2006. V. 65. № 4. P. 327–335. https://doi.org/10.1097/01.jnen.0000218441.00040.82
- Colosimo P.F., Liu X., Kaplan N.A., Tolwinski N.S. GSK3beta affects apical-basal polarity and cell-cell adhesion by regulating aPKC levels // Dev. Dyn. 2010. V. 239. № 1. P. 115–125. https://doi.org/10.1002/dvdy.21963
- Beurel E., Grieco S.F., Jope R.S. Glycogen synthase kinase-3 (GSK3): Regulation, actions, and diseases // Pharmacol. Ther. 2015. V. 148. P. 114–131. https://doi.org/10.1016/j.pharmthera.2014.11.016
- Souder D.C., Anderson R.M. An expanding GSK3 network: Implications for aging research // Geroscience. 2019. V. 41. № 4. P. 369–382. https://doi.org/10.1007/s11357-019-00085-z
- Тростников М.В., Веселкина Е.Р., Кременцова А.В. и др. Инсерционные мутации гена shaggy, кодирующего протеинкиназу GSK3, увеличивают продолжительность жизни Drosophila melanogaster // Генетика. 2019. Т. 55. № 9. С. 1099–1104. https://doi.org/10/1134/S0016675819090170
- Trostnikov M.V., Roshina N.V., Boldyrev S.V. et al. Disordered expression of shaggy, the Drosophila gene encoding a serine-threonine protein kinase GSK3, affects the lifespan in a transcript-, stage-, and tissue-specific manner // Int. J. Mol. Sci. 2019. V. 20. № 9. https://doi.org/10.3390/ijms20092200
- Trostnikov M.V., Veselkina E.R., Krementsova A.V. et al. Modulated expression of the protein kinase GSK3 in motor and dopaminergic neurons increases female lifespan in Drosophila melanogaster // Front. Genet. 2020. V. 11. https://doi.org/10.3389/fgene.2020.00668
- Bourouis M. Targeted increase in shaggy activity levels blocks wingless signaling // Genesis. 2002. V. 34. № 1–2. P. 99–102. https://doi.org/10.1002/gene.10114
- Wilmoth J.R., Horiuchi S. Rectangularization revisited: Variability of age at death within human populations // Demography. 1999. V. 36. № 4. P. 475–495.
- Carey J.R. Longevity: The Biology and Demography of Lifespan. Princeton, NT: Princeton Univ. Press, 2003.
- Wagh D.A., Rasse T., Asan E. et al. Bruchpilot, a protein with homology to ELKS/CAST, is required for structural integrity and function of synaptic active zones in Drosophila // Neuron. 2006. V. 49. № 6. P. 833–844. https://doi.org/10.1016/j.neuron.2006.02.008
- Franco B., Bogdanik L., Bobinnec Y. et al. Shaggy, the homolog of glycogen synthase kinase 3, controls neuromuscular junction growth in Drosophila // J. Neurosci. 2004. V. 24. № 29. P. 6573–6577. https://doi.org/10.1523/JNEUROSCI.1580-04.2004
- McGraw E.A., O’Neill S.L. Wolbachia pipientis: Intracellular infection and pathogenesis in Drosophila // Curr. Opin. Microbiol. 2004. V. 7. № 1. P. 67–70. https://doi.org/10.1016/j.mib.2003.12.003
- Moore S.F., van den Bosch M.T.J., Hunter R.W. et al. Dual regulation of glycogen synthase kinase 3 (GSK3)α/β by protein kinase C (PKC)α and Akt promotes thrombin-mediated Integrin αIIbβ3 activation and granule secretion in platelets // J. Biol. Chem. 2013. V. 288. № 6. P. 3918–3928. https://doi.org/10.1074/jbc.M112.429936
- Hapak S.M., Rothlin C.V., Ghosh S. aPKC in neuronal differentiation, maturation and function // Neuronal Signal. 2019. V. 3. № 3. P. NS20190019. https://doi.org/10.1042/NS20190019
- Cuesto G., Jordán-Álvarez S., Enriquez-Barreto L. et al. GSK3β inhibition promotes synaptogenesis in Drosophila and mammalian neurons // PLoS One. 2015. V. 10. № 3. P. e0118475. https://doi.org/10.1371/journal.pone.0118475
- Chiang A., Priya R., Ramaswami M. et al. Neuronal activity and Wnt signaling act through Gsk3-beta to regulate axonal integrity in mature Drosophila olfactory sensory neurons // Development. 2009. V. 136. № 8. P. 1273–1282. https://doi.org/10.1242/dev.031377
- Ruiz-Cañada C., Budnik V. Introduction on the use of the Drosophila embryonic/larval neuromuscular junction as a model system to study synapse development and function, and a brief summary of pathfinding and target recognition // Int. Rev. Neurobiol. 2006. V. 75. P. 1–31. https://doi.org/10.1016/S0074-7742(06)75001-2
- Tower J. Sex-specific gene expression and lifespan regulation // Trends Endocrinol. Metab. 2017. V. 28. № 10. P. 735–747. https://doi.org/10.1016/j.tem.2017.07.002
- Kaplan N.A., Colosimo P.F., Liu X., Tolwinski N.S. Complex interactions between GSK3 and aPKC in Drosophila embryonic epithelial morphogenesis // PLoS One. 2011. V. 6. № 4. P. e18616. https://doi.org/10.1371/journal.pone.0018616
- Kim M., Datta A., Brakeman P. et al. Polarity proteins PAR6 and aPKC regulate cell death through GSK-3β in 3D epithelial morphogenesis // J. Cell Sci. 2007. V. 120. № 14. P. 2309–2317. https://doi.org/10.1242/jcs.007443
- Jiang H., McKinley R.F.A., McGill M.A. et al. Both the establishment and the maintenance of neuronal polarity require active mechanisms: Critical roles of GSK-3β and its upstream regulators // Cell. 2005. V. 120. № 1. P. 123–135. https://doi.org/10.1016/j.cell.2004.12.033
- Kosuga S., Tashiro E., Kajioka T. et al. GSK-3beta directly phosphorylates and activates MARK2/PAR-1 // J. Biol. Chem. 2005. V. 280. № 52. P. 42715–42722. https://doi.org/10.1074/jbc.M507941200
- Sun T.Q., Lu B., Feng J.J. et al. PAR-1 is a Dishevelled-associated kinase and a positive regulator of Wnt signalling // Nat. Cell Biol. 2001. V. 3. № 7. P. 628–636. https://doi.org/10.1038/35083016
- Nance J., Zallen J.A. Elaborating polarity: PAR proteins and the cytoskeleton // Development. 2011. V. 138. № 5. P. 799–809. https://doi.org/10.1242/dev.053538
- Nishimura I., Yang Y., Lu B. PAR-1 kinase plays an initiator role in a temporally ordered phosphorylation process that confers tau toxicity in Drosophila // Cell. Elsevier. 2004. V. 116. № 5. P. 671–682. https://doi.org/10.1016/s0092-8674(04)00170-9
Дополнительные файлы





