Эффект неполного нокаутирования гена пластидной крахмалфосфорилазы NtPHO1-L1 на метаболизм углеводов и каротиноидов в листьях Nicotiana tabacum L.
- Authors: Нежданова А.В.1, Кулакова А.В.1, Слугина М.А.1, Камионская А.М.1, Кочиева Е.З.1, Щенникова А.В.1
-
Affiliations:
- Институт биоинженерии им. К.Г. Скрябина Федерального исследовательского центра “Фундаментальные основы биотехнологии” Российской академии наук
- Issue: Vol 71, No 5 (2024): Генетическая инженерия растений – достижения и перспективы
- Pages: 604-619
- Section: ЭКСПЕРИМЕНТАЛЬНЫЕ СТАТЬИ
- URL: https://ogarev-online.ru/0015-3303/article/view/269478
- DOI: https://doi.org/10.31857/S0015330324050091
- EDN: https://elibrary.ru/MMAQSH
- ID: 269478
Cite item
Full Text
Abstract
Метаболизм крахмала регулируется сложной каталитической сетью, одним из ключевых ферментов которой является пластидная крахмалфосфорилаза PHO1. В нашем исследовании с использованием системы CRISPR-Cas9 были получены растения табака (Nicotiana tabacum L.) с неполным нокаутом гена NtPHO1-L1 за счет делеционных вариантов каталитического домена белка NtPHO1-L1, приводящих к формированию нефункциональных форм фермента. Редактированные линии отличались от растений дикого типа повышенным накоплением крахмала и пониженным содержанием сахаров, хлорофиллов и каротиноидов в ткани листа. Показано, что в сравнении с контролем редактированные растения характеризовались дифференциальной экспрессией генов метаболизма крахмала (NtPHO1-L1, NtGWD, NtBAM1, NtBAM9, NtAI) и каротиноидов (NtPSY2, NtPDS, NtZDS, NtCRTISO, NtVDE), а также генов, кодирующих MADS-доменные транскрипционные факторы (NtFUL1, NtSEP1, NtSEP2, NtSEP3), которые предположительно участвуют в регуляции транскрипции исследуемых генов метаболизма. Предположено, что неполный нокаут NtPHO1-L1 приводит к изменению функциональной активности крахмалфосфорилазы табака. Это, в свою очередь, может влиять на скоординированную работу ферментов катаболизма крахмала, а также синтеза хлорофиллов и каротиноидов, возможно, за счет дифференциальной экспрессии MADS-box генов. Наши результаты подчеркивают критическую регуляторную роль пластидной крахмалфосфорилазы в метаболизме транзиторного крахмала, а также в стимулирующем влиянии на фотосинтез растения.
Full Text
ВВЕДЕНИЕ1
Крахмал представляет собой смесь полисахаридов – линейной амилозы и разветвленного амилопектина, состоящих из мономеров α-глюкозы, связанных α-1,4-глюкозидными связями [1]. В процессе фотосинтеза растения накапливают данный α-1,4-полиглюкан в хлоропластах и затем используют его в ночное время в качестве источника энергии (транзиторный крахмал) или хранят в гетеротрофных органах (запасаемый крахмал) [1]. От особенностей регуляции метаболизма крахмала зависит развитие, стрессоустойчивость и урожайность культурных растений, а также питательность клубней, плодов или зерен [2, 3].
Известны ферменты, участвующие в синтезе и деградации крахмала, а также молекулярно-генетические механизмы регуляции данных путей [1, 2, 4]. Синтез крахмала начинается с катализа АДФ-глюкозопирофосфорилазой (AGP) образования АДФ глюкозы, который утилизируется синтазами крахмала (SS) с образованием линейных цепей α-1,4-глюкана. Один изофермент синтазы крахмала отвечает за синтез амилозы, тогда как другие участвуют в инициации формирования гранул крахмала и синтезе амилопектина. Точки ветвления внутри амилопектина вводятся изоферментами разветвления крахмала (SBE), и лишние α-1,6-звенья удаляются изоамилазами [2].
Деградацию крахмала запускают α-глюкан водная дикиназа (GWD) и фосфоглюкан-водная дикиназа (PWD), которые нарушают поверхностную структуру гранулы крахмала, делая цепи доступными для α-, β- и изоамилаз [2, 5]. Образующиеся молекулы мальтозы и мальтотриозы расщепляются с высвобождением глюкозы с помощью диспропорционирующих ферментов DPE1 и DPE2, соответственно [5].
Помимо ферментов синтеза или распада крахмала существуют α-глюканфосфорилазы (крахмалфосфорилазы, КФ 2.4.1.1), которые могут участвовать в обоих процессах [6–8]. В зависимости от внутриклеточной локализации и сродства к молекуле крахмала выделяют цитозольные (H-тип, PHO2, высокое сродство к линейным и разветвленным гликанам) и эволюционно более молодые пластидные (L-тип, PHO1, низкое сродство к разветвленным гликанам и гетерогликанам) изоферменты [6, 9]. Крахмалфосфорилаза PHO1 отличается от PHO2 наличием N-концевого транзитного пептида и характерной вставки L78 [10]. Обе формы способствуют распаду (фосфоролизу) амилопектина, амилозы и мальтодекстрина [11]. Изофермент PHO2 участвует в сложном метаболизме растворимых гетерогликанов в цитозоле, куда они экспортируются во время деградации крахмала [12, 13].
Изофермент PHO1 считается основной формой фосфорилазы в растении [4, 14], поскольку функционирует в пластидах, осуществляя 96% общей фосфорилазной активности у риса (Oryza sativa) [15] и являясь вторым по распространенности белком в строме амилопластов кукурузы Zea mays [16]. Между уровнем экспрессии гена PHO1-L1 и содержанием крахмала в плодах тыквы (Cucurbita sp.) присутствует прямая взаимосвязь [17]. Показано участие PHO1 в инициации синтеза запасаемого крахмала в эндосперме ячменного (Hordeum vulgare) и рисового зерна [7, 15, 18], а также в клубнях картофеля (Solanum tuberosum) [8, 19, 20].
Изменения метаболизма крахмала являются одной из первых биохимических реакций растений на сигналы окружающей среды. Фермент PHO1 может выступать как переключатель между синтезом и деградацией крахмала, необходимый для корректировки роста и развития растения в ответ на воздействие стрессовых факторов. К примеру, отсутствие экспрессии PHO1 (PHS1) делает растения Arabidopsis thaliana значительно более чувствительными к засухе [14]. Каталитическая активность и сродство изофермента PHO1 к разветвленным α-глюканам и глюкозо-1-фосфату зависят от температуры [15]. Если в нормальных условиях снижение экспрессии PHO1 не меняет морфологию ячменного зерна [21] и клубней картофеля [9], то при низкой температуре это приводит к уменьшению размера рисового зерна и содержания крахмала в нем [15]. Рост экспрессии PHO1 при низких температурах стимулирует синтез коротких цепей декстринов (основа молекул амилозы) [20] и сопровождается накоплением редуцирующих сахаров в клубнях картофеля [22].
У видов семейства Пасленовых (картофель и томат) описаны два изофермента пластидной крахмалфосфорилазы – PHO1a (L-1) и PHO1b (L-2) [9, 23–26]. Белки гомологичны (идентичность 81–84%) с наибольшей вариабельностью в области N-концевого транзитного пептида и домена L78 [23]. PHO1a транскрибируется как в листьях, так и в клубнях, тогда как PHO1b ‒ в основном, в листьях; в клубнях белок PHO1a образует гомодимер, а в листьях – как гомодимер, так и гетеродимер с PHO1b [23]. Таким образом, из двух пластидных изоферментов роль PHO1a может быть более важна и функционально широка, чем PHO1b. В пользу этого свидетельствует прямая взаимосвязь между уровнем экспрессии гена PHO1a и содержанием крахмала в плодах томата (Solanum lycopersicum) [24] и в листьях растений картофеля при воздействии холода [25]. Также продемонстрирована необходимость PHO1a для нормального формирования гранул крахмала в клубнях картофеля, подстрахованная наличием в геноме дуплицированной копии гена [27]. Нокаут PHO1a вызывает снижение содержания крахмала в клубнях в основном за счет уменьшения количества амилозы, при этом не отменяет, но усиливает эффект холодового осахаривания [27]. Миссенс-мутация G261V в функциональном домене PHO1a приводит к изменениям морфологии корней и надземной части растения картофеля, а также содержания крахмала и экспрессии генов метаболизма крахмала в корнях и листьях, в том числе в ответ на воздействие холодового стресса [26].
В данном исследовании мы использовали систему CRISPR-Cas9 для редактирования гена PHO1-L1 (гомолога PHO1a картофеля) в геноме Nicotiana tabacum в рамках расширения данных о роли пластидной крахмалфосфорилазы в развитии растения. Нами были получены независимые трансгенные линии, химерные по нокауту PHO1-L1 за счет нескольких одновременных делеций с последующим сдвигом рамки считывания. Неполный нокаут гена вызвал изменения в содержании углеводов (крахмал, сахароза, глюкоза, фруктоза), хлорофиллов и каротиноидов в листовой ткани проростков. Кроме того, обнаружены сдвиги в уровне экспрессии PHO1-L1, других генов метаболизма крахмала (NtBAM1, NtBAM9, NtGWD, NtAI) и каротиноидов (NtPSY2, NtPDS, NtZDS, NtCRTISO, NtVDE), а также генов MADS-доменных транскрипционных факторов (ТФ) (NtSEP1, NtSEP2, NtSEP3, NtANR1, NtFUL1). Наши результаты говорят о значимости изофермента PHO1-L1 в метаболизме крахмала и развитии растения, включая фотосинтез и стрессовый ответ, а также допускают возможность непрямого участия PHO1a в регуляции стресс-чувствительных MADS-box генов.
МАТЕРИАЛЫ И МЕТОДЫ
Растительный материал. В исследовании использована культура in vitro табака – растения Nicotiana tabacum L. (сорт Samsun) на стадии 5–7 листьев, выращенные на MС-среде (Sigma-Aldrich, США), содержащей 0.7% агара и 1.0% сахарозы, в климатической камере (16-часовой фотопериод; 21°C).
Геномное редактирование табака с помощью системы CRISPR-Cas9. Для геномного редактирования табака использовали бинарный вектор p201N-PHO1a-gRNA, полученный и успешно примененный ранее для редактирования гена PHO1a в геноме S. tuberosum [26].
Предварительно была проведена оценка соответствия последовательности гидовой РНК (gRNA) PHO1a картофеля соответствующему участку гена NtPHO1-L1 табака (NCBI Gene ID 107814807). Конструкция собрана на основе бинарного вектора p201N_Cas9 (AddGene, Watertown, MA, США; кат. № 59175; https://www.addgene.org/), Т-область которого включает гены Cas9 (под контролем двойного промотора CaMV35S) и NPTII (устойчивость к канамицину (Km)), а также кассету экспрессии gRNA (промотор U6.6 Medicago truncatula) [28]).
Конструкцией с gRNA, а также пустым вектором p201N, трансформировали штамм Agrobacterium tumefaciens LBA4404. Суспензию агробактерии p201N-NtPHO1-L1-gRNA (опыт) и p201N (контроль), полученную из 5 мл ночной культуры, использовали для трансформации табака, как это описано ранее [29]. Вкратце: листовые экспланты табака, инфицированные соответствующим агробактериальным штаммом, культивировали на питательной среде А3 (минеральный состав и витамины как в MС-среде, 2% глюкоза, 0.7% Plant-агар, 0.1 мг/мл НУК, 1 мг/мл БАП, pH 5.5) для каллусо- и побегообразования [29], одновременно содержащей 500 мг/мл карбенициллина (подавление роста агробактерии) и 100 мг/мл канамицина (селективный антибиотик). Образующиеся на каллусе зеленые побеги срезали и укореняли на свежей среде А3, не содержащей фитогормонов. Регенеранты, устойчивые к канамицину, то есть укоренившиеся и давшие первые листья зеленой окраски, адаптировали к условиям теплицы (16-часовой фотопериод; 21°C) и выращивали до созревания семян. Из листовой ткани регенерантов выделяли геномную ДНК и с помощью ПЦР с праймерами, специфичными к последовательности генов NPTII (канамицин-резистентность растения) и virB (ген агробактерии, участвующий в переносе Т-ДНК), подтверждали присутствие трансгена в геноме растения и отсутствие остаточного заражения агробактерией. Всего было получено 17 независимых регенерантов с конструкцией p201N-NtPHO1-L1-gRNA (опыт; Nt1–Nt17) и 13 – p201N (контроль), 12 и 8 из которых, соответственно, оказались трансгенными. У данных растений анализировали редактируемую область гена NtPHO1-L1 (см. следующий пункт), на основе чего выбирали трансгенные линии, в геноме которых произошло событие редактирования NtPHO1-L1. Из 12 независимых трансгенных линий только растение Nt1 показало данный эффект. Семена данного растения проращивали на среде А3 с 100 мг/мл канамицина, и устойчивые проростки поколения Т1 в количестве 20 шт. адаптировали к теплице и анализировали в сравнении с контролем (сроки инициации цветения, морфологические характеристики; последовательность целевого сайта редактирования; уровень экспрессии генов). При анализе морфологических параметров использовали: среднее значение по 20 растениям контроля vs. средние значения по всем 20 растениям Т1; среднее значение по 20 растениям контроля vs. значение параметра для каждой отдельной отобранной линии Т1.
Анализ редактируемой области гена NtPHO1-L1. Геномную ДНК выделяли из листовой ткани трансгенного побега (первично полученные регенеранты поколения Т0) с помощью стандартного СТАВ-метода. С использованием соответствующих праймеров (табл. 1, Дополнительные материалы) амплифицировали участок гена NtPHO1-L1, содержащий сайт редактирования (последовательность гидовой РНК): программа ПЦР – 5 мин, 95°С; 35 циклов (30 с, 95°С; 30 с, 59°С; 1 мин, 72°С); 10 мин, 72°С. Продукты ПЦР ожидаемого размера (641 пн) очищали выделением из агарозного геля (QIAEX® II Gel Extraction Kit, QIAGEN, Германия), клонировали в вектор pGEM®-T Easy (pGEM®-T Easy Vector System I, Promega, США) и секвенировали по 10 плазмидных клонов (ABI PRISM 3730 DNA Analyzer, ЦКП “Биоинженерия”, ФИЦ Биотехнологии РАН).
Анализ экспрессии генов. Верхушечные листья проростка (в фазе развития 5–7 листа) растирали в жидком азоте и из 0.2–0.5 г выделяли суммарную РНК (RNeasy Plant Mini Kit и RNase-free DNase set, QIAGEN, Германия) с последующим синтезом кДНК (GoScript Reverse Transcription System, Promega, США). Полученный препарат кДНК в количестве 3 нг использовали для проведения количественной ПЦР в реальном времени (ПЦР-РВ) на приборе CFX96 Real-Time PCR Detection System (Bio-Rad Laboratories, США). Последовательности ген-специфичных праймеров для ПЦР-РВ приведены в таблице 1 Дополнительных материалов [29]. Для реакции применены: стандартная программа (5 мин, 95°С, 40 циклов (15 с, 95°С; 40 с, 60°С)); “Набор реагентов для проведения ПЦР-РВ в присутствии красителя SYBR Green I” (кат. № R-402, Синтол, Россия); референсный ген Actin-7 (LOC107831145) N. tabacum [29].
Анализ содержания каротиноидов, хлорофиллов и углеводов. Количество (мкг/г сырого веса) хлорофиллов (a и b) и каротиноидов определяли в ткани верхушечных листьев проростка (фаза развития 5–7 листа; те же тканевые пробы, что и для анализа экспрессии генов), согласно [29], с регистрацией спектров поглощения с помощью Eppendorf BioSpectrometer® basic (Eppendorf, Германия).
В той же ткани определяли содержание крахмала и сахаров (мг/г сырого веса). В случае крахмала – ~0.5 г ткани растирали, суспендировали в 4.5 мл 33% (об./об.) ДМСО, содержащего 0.44 М соляной кислоты, инкубировали 30 мин при 60°С на водяной бане, охлаждали до 25°C и разводили водой в соотношении 1:5. Далее доводили pH до 4.5 с помощью 5 М NaOH и фильтровали суспензию через Miracloth (Merck, США). Содержание крахмала (мг/г сырого веса) измеряли в 100 мкл фильтрата с использованием набора Starch (BoehringerMannheim/R-Biopharm, Швейцария). Содержание сахаров (сахароза, глюкоза, фруктоза) определяли с помощью тестов Enzytec™ Liquid Sucrose/D-Glucose и Enzytec™ Liquid D-Glucose/D-Fructose (R-Biopharm AG, Германия).
Структурный анализ и статистическая обработка данных. Сравнительный анализ последовательностей ДНК и белков проводили с помощью NCBI-BLAST, NCBI-CDD (https://blast.ncbi.nlm.nih.gov/) и MEGA 7.0 (https://www.megasoftware.net/). Для анализа влияния замещений аминокислотных остатков (ао) на структуру и функцию редактированных белков использовали PROVEAN (http://provean.jcvi.org/index.php; “deleterious variant if score < –2.5”) и Phyre2 (http://www.sbg.bio.ic.ac.uk/phyre2/html/page.cgi?id=index; анализ 3D структуры белка). Поиск сайтов связывания с MADS-доменными ТФ в промоторе гена осуществляли с помощью программы PLACE (https://www.dna.affrc.go.jp/PLACE/?action=newplace).
Данные биохимического и экспрессионного анализа статистически обрабатывали с помощью Graph Pad Prism v. 8 (https://www.graphpad.com, США), применяя для оценки значимости различий One-way ANOVA (“multiple comparisons, corrected with Bonferroni test”). Результаты выражали как среднее значение ± стандартное отклонение (SD) на основе двух биологических и трех технических повторов (различие достоверно при значении P < 0.05).
РЕЗУЛЬТАТЫ
Трансгенные линии табака N. tabacum с редактированным геном NtPHO1-L1. Поиск в геноме N. tabacum обнаружил два паралогичных гена пластидной формы крахмалфосфорилазы NtPHO1-L1, гомологичной PHO1a картофеля: LOC107814807 (два варианта мРНК – X1 (XM_016640265.1) и X2 (XM_016640266.1)) и LOC107810306 (один вариант мРНК (XM_016635072.1)). Гены отличаются локализацией (разные скаффолды), количеством экзонов (16 и 15, соответственно) и размером (9533 и 9490 пн). В сравнении с изоферментом LOC107810306 (976 ао), изоформа X2 (977 ао, LOC107814807) характеризуется 13 замещениями ао и инсерцией E590. Обе последовательности отличаются от изоформы X1 (1011 ао, LOC107814807) размером (за счет делеции 34 ао E74–G107 в N-концевой области); остальная последовательность X2 идентична X1.
Сравнительный анализ всех трех возможных кодирующих последовательностей показал, что гидовая РНК (gRNA) 5’-gatcagatggaaagaggtattgg-3’, которая была использована ранее для редактирования гена PHO1a картофеля [26], подходит и для редактирования обеих версий гена NtPHO1-L1 табака. Данный участок локализован в положении 1109–1131 н (мРНК XM_016635072.1 гена LOC107810306; экзон XI) и 1141–1163/1039–1061 н (мРНК изоформ X1 (XM_016640265.1)/X2 (XM_016640266.1) гена LOC107814807; в экзонах VI и V, соответственно). В целевой последовательности мРНК гена LOC107810306 присутствовала замена (1124g→a положение в мРНК; или 16g→a – в gRNA).
Выбранная нами последовательность gRNA не совпадала по локализации с gRNA, использованной в недавнем исследовании нокаута PHO1a в геноме картофеля [27]. Участок gRNA (5′-gctgttgcaaagaatgcctt-3′) из этой работы локализуется в мРНК NtPHO1-L1 табака в положениях 631–650 н (LOC107810306) и 663–682/561–580 н (изоформы X1/X2, LOC107814807). Поэтому в результате нокаута NtPHO1-L1 растения табака должны формировать белковые молекулы в 2 раза длиннее, чем в работе [27].
Также было определено, что выбранная нами последовательность gRNA не гомологична кДНК гена NtPHO1-L2 (XM_016590767.1, LOC107771409), кодирующего изофермент L-2 α-1,4-глюканфосфорилазы.
В результате агробактериальной трансформации табака векторной конструкцией, содержащей выбранную gRNA, было получено 12 независимых, устойчивых к антибиотику канамицину регенерантов Т0 и с помощью ПЦР на геномной ДНК подтверждено присутствие в геноме переносимой кассеты для редактирования. Внешне растения Т0 не отличались по морфологическим признакам ни от нетрансгенных линий, ни от трансгенных линий, трансформированных пустым вектором p201N.
На геномной ДНК линий был амплифицирован фрагмент, содержащий целевой сайт редактирования. Клонирование и секвенирование фрагмента выявило несколько событий редактирования в геноме растения Nt1. Пять из 10 секвенированных вариантов целевого сайта соответствовали дикому типу (LOC107810306 и LOC107814807). Остальные содержали пять вариантов делеций: (1) a13–g17→del(5nt)#; (2) a13–t18→del(6nt)#; (3) a11–g17→del(7nt)#; (4) a/g16–g17→del(2nt)#; (5) a11–t18→del(8nt)# (из-за разной длины трех вариантов транскриптов NtPHO1-L1 локализация делеций указана по целевому участку 5’-gatcagatggaaagaggtattgg-3’) (рис. 1а).
Рис. 1. Результаты редактирования гена пластидной крахмалфосфорилазы NtPHO1-L1: (а) ‒ выравнивание целевой (редактируемой) кодирующей последовательности гена NtPHO1-L1 (клоны 1–10 редактированной линии Nt1 в сравнении с нередактированной последовательностью генов LOC107810306 и LOC107814807); (б) ‒ выравнивание вариантов редактированной белковой последовательности NtPHO1-L1 в сравнении с нередактированной версией (LOC107810306 и LOC107814807); (в) ‒ сравнительный анализ вторичной структуры нередактированного фермента NtPHO1-L1 и белка с внесенным в результате редактирования замещением KRY→N. Показан фрагмент последовательности, где произошло замещение (отмечено стрелкой). Моделирование проведено в программе Phyre2 на основе известной матрицы c5lrbB_ (alpha-1,4 glucan phosphorylase); 86% обеих последовательностей моделировано с достоверностью 100%.
Вариантов делеционных событий, указывающих на то, что использованная gRNA была действенна в отношении гена LOC107810306 с заменой 16g→a в целевом сайте, не наблюдалось.
Дальнейший анализ транслируемых последовательностей показал, что варианты 1, 3, 4 и 5 приводят к сдвигу рамки считывания и образованию преждевременных стоп-кодонов. В варианте 2 произошла делеция 6 нуклеотидов, которые не совпадали с кодирующими аминокислоты кодонами, вследствие чего в белке вместо делеции двух аминокислот три ао были замещены остатком аспарагина (N) (рис. 1б).
В случае гена LOC107810306 (один вариант мРНК XM_016635072.1), кодирующего белок размером 976 ао, вариант 2 составил 974 ао, а варианты 1, 3, 4 и 5 – 286, 280, 285 и 287 ао, соответственно. В случае гена LOC107814807 (изоформа мРНК X1, XM_016640265.1), кодирующего белок размером 1011 ао, вариант 2 составил 1009 ао, а варианты 1, 3, 4 и 5 – 320, 314, 321 и 319 ао, соответственно. В случае гена LOC107814807 (изоформа мРНК X2, XM_016640266.1), кодирующего белок размером 977 ао, вариант 2 составил 975 ао, а варианты 1, 3, 4 и 5 – 286, 280, 287 и 285 ао, соответственно.
Согласно NCBI-CDD, функциональный домен GT35_Glycogen_Phosphorylase (cd04300) расположен на участке 91–970 (LOC107810306), 125–1005 (LOC107814807, X1) и 91–971 (LOC107814807, X2) ао. Данный домен состоит из N- и C-концевых доменов, разделенных участком L78 (в позиции 497–572, 531–607 и 497–572 ао, соответственно), который включает каталитический центр и обеспечивает высокую степень гибкости белка. То есть, варианты 1, 3, 4 и 5 содержат только начало N-концевого домена GT35 и не имеют каталитического центра. Вариант 2 содержит замещение в N-концевом домене GT35 (K274–Y276delinsN, K308–Y310delinsN и K274–Y276delinsN, соответственно) (рис. 1б).
Дальнейший анализ показал, что варианты замещения K–YdelinsN не приходятся на активные каталитические или белок-связывающие сайты (согласно NCBI-CDD), однако являются радикальными (по прогнозу PROVEAN) для всех трех исходных форм белков (score = –8.649/ –8.181/ –8.817). Поэтому три варианта с замещением KKY или KRY на N в последовательности N-концевой области GT35, предположительно, могут иметь функциональные нарушения. В норме, структура N- и C-концевых частей домена GT35 представляет собой укладку Россмана (Rossmann fold), которая, в числе прочего, характеризуются наличием параллельных β-листов (NCBI-CDD). Анализ пространственной структуры белков (Phyre2) показал, что замещения KKY или KRY на N могут привести к потере одного из β-листов (рис. 1в), что свидетельствует в пользу нарушения функции таких белков.
Таким образом, в растении Nt1 могут синтезироваться три варианта белка дикого типа, а также нефункциональные три варианта с замещением K–YdelinsN и 12 значительно укороченных вариантов белка.
Далее были проанализировано поколение Т1 от линии Nt1, среди которых было отобрано три растения (Nt1-11, Nt1-13, Nt1-15), содержащие все пять вариантов обнаруженных ранее делеций (рис. 2а). Сравнительный морфологический анализ показал, что в среднем поколение Т1 (20 растений) не отличается от контроля по времени инициации цветения и весу семян с одной коробочки (рис. 2б). В то же время были отмечены статистически значимые изменения у выбранных трех отдельных растений: Nt1-13 имело более короткий стебель; Nt1-15 формировало больше листьев; все три растения Nt1-11, Nt1-13 и Nt1-15 образовывали меньше цветков (рис. 2б). Кроме того, визуально была заметна разница в яркости зеленой окраски листьев у Nt1-13 и Nt1-15 в сравнении с контролем (рис. 2а).
Рис. 2. Трансгенные линии Nicotiana tabacum (Nt1-11, Nt1-13 и Nt1-15) с мозаично нокаутированным геном пластидной крахмалфосфорилазы NtPHO1-L1 в сравнении с нетрансгенным контролем (WT): (а) ‒ фотографии растений WT, Nt1-11, Nt1-13 и Nt1-15 на стадии цветения (масштаб 10 см); (б) ‒ сравнение основных характеристик контрольных (WT, среднее по 20 растениям) и редактированных линий Т1 от Nt1 (среднее по 20 растениям Nt1-1–Nt1-20; далее по графику даны индивидуальные значения для каждого из анализируемых растений Nt1-11, Nt1-13 и Nt1-15). *Р < 0.05 – статистически значимое различие Т1 от Nt1 vs. WT.
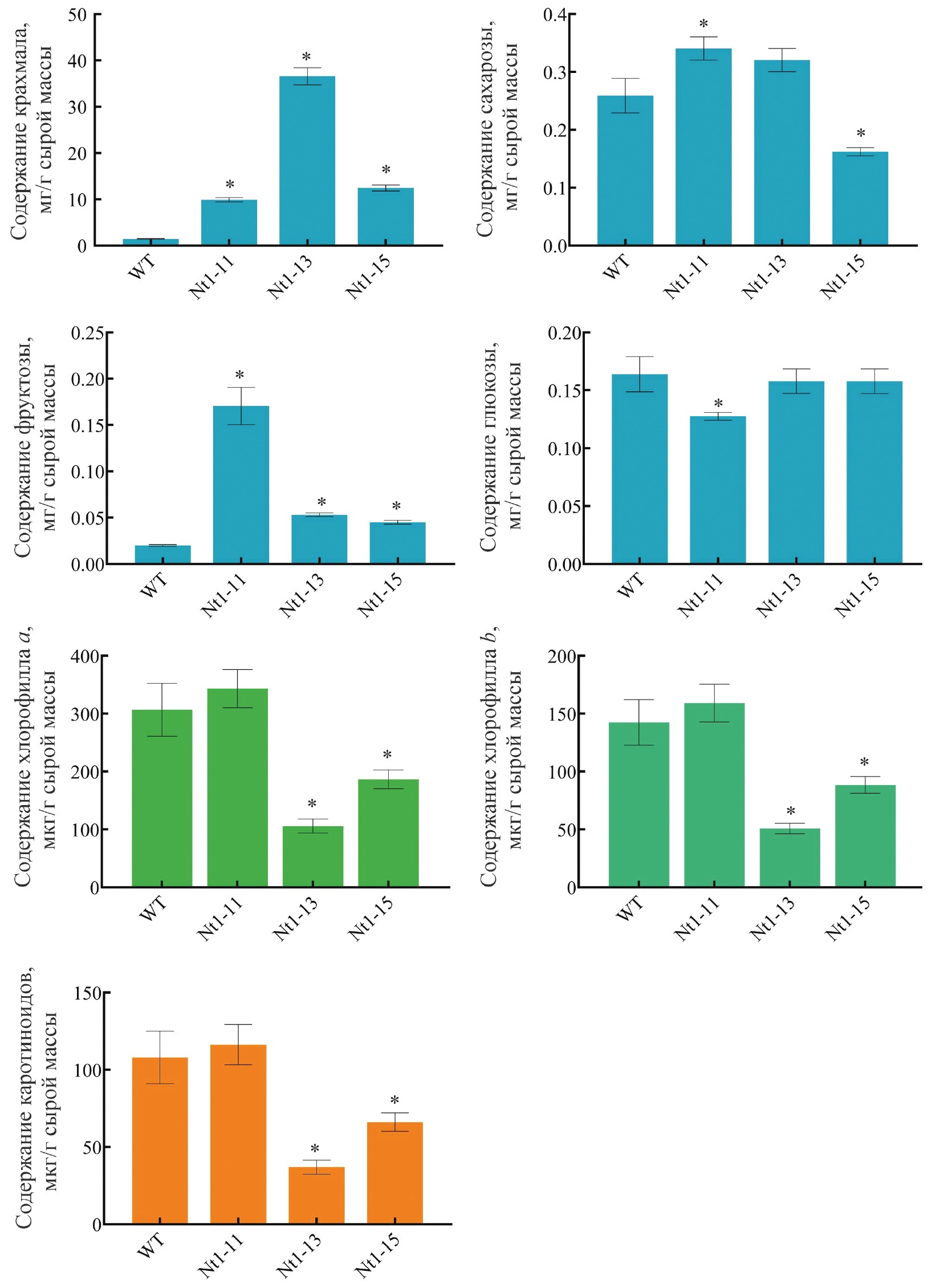
Содержание углеводов и пигментов в листьях. Присутствие нефункциональных вариантов крахмалфосфорилазы, вероятно может повлиять на содержание, в первую очередь, углеводов, и, как следствие, пигментов, связанных с фотосинтезом, что косвенно подтверждается регистрируемыми нарушениями морфологических параметров и окраски листьев у линий Nt1-11, Nt1-13 и Nt1-15. Нами было определено содержание крахмала, сахарозы, фруктозы, глюкозы, а также суммы каротиноидов и хлорофиллов a и b в листьях трансгенных линий Nt1-11, Nt1-13 и Nt1-15 в сравнении с растениями дикого типа.
Было показано, что у всех трех линий Nt1-11, Nt1-13 и Nt1-15 значительно повысилось содержание крахмала (в ~10, 37 и 12 раз, соответственно) и фруктозы (в ~8, 2 и 2 раза, соответственно). Количество сахарозы и глюкозы достоверно снизилось у растений Nt1-15 и Nt1-11, соответственно (рис. 3). В сравнении с контролем количество как каротиноидов, так и хлорофиллов в листьях линии Nt1-11 не изменилось, тогда как у редактированных линий Nt1-13 и Nt1-15 значительно уменьшилось; при этом содержание каротиноидов прямо коррелировало с содержанием хлорофиллов (рис. 3). Наблюдаемые различия между редактированными линиями могут быть связаны с разной степенью полноты (как по числу клеток, так и по числу аллелей (4 с учетом двух генов)) произошедшего редактирования.
Рис. 3. Содержание крахмала, сахарозы, глюкозы, фруктозы (мг/г сырой массы), суммы каротиноидов и хлорофиллов a и b (мкг/г сырой массы) в листовой ткани растений Nt1-11, Nt1-13 и Nt1-15 в сравнении с нетрансгенным контролем WT. *Р < 0.05 – статистически значимое различие Т1 от Nt1 vs. WT.
Профиль экспрессии генов метаболизма крахмала и каротиноидов в листьях. Принимая во внимание взаимосвязь и взаимное влияние количества метаболитов и экспрессии соответствующих генов, а также неполное редактирование гена NtPHO1-L1 у линий Nt1-11, Nt1-13 и Nt1-15, мы проверили, в первую очередь, уровень транскриптов гена NtPHO1-L1. В сравнении с контролем количество мРНК гена увеличилось (Nt1-11), не изменилось (Nt1-13) или уменьшилось (Nt1-15) (рис. 4). Далее была определена экспрессия отдельных генов метаболизма крахмала, кодирующих α-глюкан водную дикиназу (NtGWD), β-амилазы (NtBAM1, NtBAM9) и ингибитор амилаз (NtAI). Мы обнаружили, что уровень транскриптов NtGWD не изменился (Nt1-11) или снизился в ~2 раза (Nt1-13, Nt1-15); NtBAM1 – снизился у всех трех линий в ~2 (Nt1-11, Nt1-15) и 1.5 (Nt1-13) раза; NtBAM9 – уменьшился в ~5 раз (Nt1-11), не изменился (Nt1-13) или вырос в ~4 раза (Nt1-15); NtAI – вырос в ~1.5 раза (Nt1-11, Nt1-13) или уменьшился в ~3 раза (Nt1-15) (рис. 4). Профиль экспрессии NtPHO1-L1 и других тестируемых генов метаболизма крахмала (рис. 4) не коррелировал с содержанием крахмала или тестированных сахаров (рис. 3).
Рис. 4. Экспрессия генов метаболизма крахмала (NtPHO1-L1, NtGWD, NtBAM1, NtBAM9, NtAI) и биосинтеза каротиноидов (NtPSY2, NtPDS, NtCRTISO, NtZDS, NtVDE) в листовой ткани растений Nt1-11, Nt1-13 и Nt1-15 в сравнении с нетрансгенным контролем WT. *Р < 0.05 – статистически значимое различие Т1 от Nt1 vs. WT.
Последующий анализ экспрессии генов биосинтеза каротиноидов, кодирующих фитоинсинтазу (NtPSY2), фитоиндесатуразу (NtPDS), цис-транс-каротиноидизомеразу (NtCRTISO), 15-цис-ζ-каротинизомеразу (NtZDS) и виолаксантиндеэпоксидазу (NtVDE), также обнаружил различия в сравнении с контролем. Было показано, что уровень транскриптов NtPSY2 изменился только у Nt1-15 (снизился в ~3 раза); NtPDS – в ~2 раза снизился (Nt1-11, Nt1-13) или поднялся (Nt1-15); NtCRTISO – уменьшился в ~2 раза (Nt1-11), не изменился (Nt1-13) или возрос в ~2.5 раза (Nt1-15); NtZDS – снизился в ~3/1.5 раза (Nt1-11/Nt1-13) или увеличился в ~1.5–2 раза (Nt1-15); NtVDE – снизился в ~3 раза (Nt1-11), не изменился (Nt1-13) или вырос в ~1.5–2 раза (Nt1-15) (рис. 4). Корреляций уровня экспрессии генов каротиногенеза с содержанием каротиноидов выявлено не было. Также не обнаружено взаимосвязи с содержанием крахмала/сахаров и с уровнем транскриптов генов метаболизма крахмала.
Профиль экспрессии MADS-box генов в листьях. Предполагая, что ТФ, гомологичные SEP и FUL, могут участвовать в регуляции транскрипции генов метаболизма крахмала и каротиноидов (согласно [30, 31]), мы проанализировали, во-первых, присутствие сайтов связывания CArG-box в промоторной области анализируемых генов, и, во-вторых, экспрессию MADS-box генов NtSEP1, NtSEP2, NtSEP3 и NtFUL1 в листьях редактированных растений.
В результате было показано, что промотор (1.5 кб) большинства анализируемых генов содержит по два CArG-box (табл. 1). Ни одного сайта не было найдено в промоторе гена NtPSY2 (оба гомолога), а также в случае одной из двух версий генов NtCRTISO и NtGWD (для NtGWD причина может быть в доступной слишком короткой последовательности промотора – 251 н). Промотор гена NtZDS и второй версии генов NtBAM9 и NtPHO1-L1 содержал только по одному CArG-box (табл. 1).
Таблица 1. Наличие CArG-box в последовательности промотора генов метаболизма углеводов и каротиноидов у Nicotiana tabacum
Ген | NCBI ID | Скаффолд (локализация гена) | Локализация промотора (1.5 кб) | Локализация CArG-box в промоторе (CARGCW8GAT) |
NtBAM1 | LOC107832261 | NW_015787824.1 (26358..29662) | 24858–26357 | 416, 1117 |
NtBAM9 | LOC107827956 LOC107780374 | NW_015849100.1 (4074..7620, complement) NW_015797716.1 (8065..13004) | 7621–9121 7565–8064 | 1368 1556, 1771 |
NtGWD | LOC107832610 LOC107775774 | NW_015793074.1 (251..14125) NW_015901023.1 (87993..98472, complement) | 0–251* 86493–87992 | — 878, 1218 |
NtAI | LOC107802234 | NW_015802778.1 (26868..31183) | 25368–26867 | 235, 383, 1710 |
NtPHO1-L1 | LOC107810306 LOC107814807 | NW_015804840.1 (2762..12251, complement) NW_015809487.1 (94062..103594) | 12252–13751 92562–94061 | 246 232, 432 |
NtPSY2 | LOC107772713 LOC107761716 | NW_015796120.1 (9958..12592) NW_015874368.1 (9940..13765) | 8458–9957 8440–9939 | — — |
NtZDS | LOC107772271 | NW_015892502.1 (11995..18341, complement) | 18342–19842 | 964 |
NtPDS | LOC107816873 | NW_015814914.1 (652..8553) | 0–651* | 270, 418 |
NtCRTISO | LOC107832559 LOC107791326 | NW_015864184.1 (1937..8985, complement) NW_015919655.1 (47476..54454, complement) | 8986–10485 54455-55954 | — 462, 1675 |
NtVDE | LOC107780507 LOC107763628 | NW_015797768.1 (65794..70434) NW_015880850.1 (21643..26233) | 64294-65793 20143-21642 | 1155, 1597 1272, 1625 |
*Доступные в NCBI геномные последовательности не позволяют идентифицировать участки промотора размером 1.5 кб.
Проведенный далее анализ экспрессии MADS-box генов NtSEP1, NtSEP2, NtSEP3 и NtFUL1 показал наличие транскриптов NtSEP1, NtSEP2 и NtFUL1 в листьях контроля и всех трех редактированных линий, тогда как мРНК NtSEP3 присутствовала только у Nt1-11 и, почти на порядок меньше, у Nt1-15 (рис. 5). В сравнении с контролем уровень транскриптов NtFUL1 не изменился (Nt1-11, Nt1-13) или снизился в 2-3 раза (Nt1-15); NtSEP1 – не отличался (Nt1-13), в ~3.5 раз вырос (Nt1-11) или в ~1.1 раз снизился (Nt1-15); NtSEP2 – не менялся (Nt1-13) или был в ~1.2/5 раз ниже (Nt1-11/Nt1-15) (рис. 5).
Рис. 5. Экспрессия генов MADS-доменных ТФ (NtFUL1, NtSEP1, NtSEP2, NtSEP3) в листовой ткани растений Nt1-11, Nt1-13 и Nt1-15 в сравнении с нетрансгенным контролем WT. *Р < 0.05 – статистически значимое различие Т1 от Nt1 vs. WT.
ОБСУЖДЕНИЕ
Подобно другим метаболическим путям, протекающим в растении, регуляция пути метаболизма крахмала зависит от уровней содержания метаболитов, активности ферментов и экспрессии генов, кодирующих ферменты. Помимо ферментов, катализирующих анаболизм или катаболизм α-1,4-полиглюкана, имеется пластидная крахмалфосфорилаза L-типа (PHO1), которая уникальна своим участием и в деградации, и в синтезе крахмала [27]. PHO1 катализирует фосфоролиз глюканов, расположенных на поверхности крахмальных гранул или образующихся в результате деградации крахмала. Происходит высвобождение молекул глюкозо-1-фосфата, который преобразуется в АДФ-глюкозу и далее в АТФ (источник энергии для всех биохимических процессов в растении). То, что глюкозо-1-фосфат дает больше АТФ, чем свободная глюкоза, образующаяся в процессе гидролиза, подчеркивает важность фосфоролиза и, следовательно, крахмалфосфорилаз [1, 2, 4, 27]. Роль PHO1 в синтезе крахмала заключается в образовании под ее действием в пластидах при деградации крахмала мальтоолигосахаридов, которые участвуют в создании праймирующих структур на начальных стадиях инициации крахмальных гранул [8]. Подтверждением данной роли PHO1 является положительная корреляция уровня экспрессии гена PHO1 с содержанием α-1,4-полиглюкана в запасающих органах растения [7, 8, 15, 17–20]. Неясно, есть ли подобная зависимость для транзиторной формы крахмала, поскольку показано, что эффект от выключения активности пластидной крахмалфосфорилазы различается для запасаемого и транзиторного крахмала [27].
Данное исследование было сфокусировано на роли PHO1a в метаболизме транзиторного крахмала, для чего было получено двенадцать независимых трансгенных линий N. tabacum с неполным нокаутом гена пластидной крахмалфосфорилазы NtPHO1-L1 (LOC107814807 и, возможно, LOC107810306) (рис. 1б, в). Растения поколения Т1 одной из линий (Nt1) внешне незначительно отличались от контроля, за исключением ослабления зеленой окраски листьев у отдельных образцов (Nt1-13, Nt1-15) при сохранении ярко-зеленой окраски другими образцами (например, Nt1-11, отобранный для дальнейшего анализа) (рис. 2а, б). Поскольку все три упомянутых растения характеризовались присутствием всех выявленных пяти вариантов делеций в геноме, сравнительный анализ их реакции на неполный нокаут NtPHO1-L1 мог способствовать пониманию функции данного гена.
Поскольку нашей целью была связь пластидной крахмалфосфорилазы с транзиторным крахмалом, дальнейший анализ проводился на листьях взрослых растений Nt1-11, Nt1-13 и Nt1-15. Тестирование листовой ткани биохимическими методами показало, что даже частичное нокаутирование гена NtPHO1-L1 способно привести к значительному повышению содержания крахмала (рис. 3). Предположительно, это происходит в результате сдвига метаболизма крахмала в сторону его синтеза и, следовательно, может означать, что в норме NtPHO1-L1 оказывает значительное и предпочтительное влияние на деградацию транзиторного крахмала. Полученные нами данные не согласуются с показанным другими исследователями сохранением количества крахмальных гранул в хлоропластах листьев картофеля при снижении уровня экспрессии гена PHO1b или нокауте гена PHO1a [27]. Также отличается показанный эффект от реакции запасаемого крахмала в клубнях картофеля, где нокаут PHO1a привел к снижению содержания крахмала, при этом повышение количества редуцирующих сахаров [27] сходится с нашими результатами только в отношении фруктозы (рис. 3). Это еще раз подтверждает, что PHO1 может вести себя по-разному в отношении двух форм крахмала.
Известна положительная взаимосвязь между процессами биосинтеза крахмала и фотосинтезом [32]. Биохимическое тестирование растений Nt1-11, Nt1-13 и Nt1-15 показало отсутствие корреляции между количеством крахмала и накоплением хлорофиллов и каротиноидов как компонентов фотосинтетического аппарата (рис. 3). Так, содержание крахмала было повышенным в листьях всех трех анализируемых линий, при этом только у двух линий произошли изменения в содержании хлорофиллов и каротиноидов в сторону существенного снижения (рис. 3), что отразилось на окраске листьев (рис. 2). Это предполагает существование непрямой, более сложной зависимости между содержанием крахмала и пигментов.
Наблюдаемые изменения содержания крахмала могут влиять на активность других ферментов, связанных с его метаболизмом, экспрессия которых может регулироваться крахмалом как субстратом или продуктом [27]. Для лучшего понимания происходящего мы провели анализ экспрессии основных (помимо крахмалфосфорилазы PHO1) генов деградации крахмала, кодирующих α-глюкан водную дикиназу NtGWD, β-амилазы NtBAM1 и NtBAM9, а также ингибитор α- и β-амилаз NtAI. Гены амилаз были выбраны по гомологии генам β-амилаз картофеля BAM1 и BAM9, о которых известно, что они участвуют в деградации крахмала, действуя в паре: не обладающий каталитической активностью BAM9 связывается одновременно с поверхностью крахмальных гранул и с BAM1, привлекая ферментативно активный BAM1 к областям деградации крахмала [33]. Ингибитор амилаз AI способен связываться с BAM1 и BAM9, блокируя активный центр или изменяя конформацию молекул [34].
Наши данные показали, что гены NtBAM1, NtBAM9 и NtAI под влиянием частичного нокаута NtPHO1-L1 дифференциально экспрессировались в листьях изучаемых линий, но без какой-либо тенденции (рис. 4). Это может свидетельствовать о попытках редактированных растений приспособиться к частично отсутствующей активности крахмалфосфорилазы и адаптировать метаболизм крахмала с привлечением гидролитических ферментов. Отдельные гены меняли свою экспрессию сходным между редактированными растениями образом. Так, уровень мРНК гена каталитически активного NtBAM1 снижался во всех трех линиях, и там же увеличивалось содержание крахмала (рис. 4). Однако, в целом, схема приспособления оказалась специфична для каждого конкретного растения, и регулировка, предположительно, могла осуществляться за счет комбинирования разных уровней экспрессии генов NtGWD (открытие доступа амилазам к грануле крахмала), NtBAM9 (сродство к грануле крахмала и привлечение NtBAM1) и NtAI (ингибирование активности амилаз).
К примеру, у растения Nt1-11 (vs. контроль) уровень транскриптов NtGWD сохранился, однако экспрессия NtBAM1 и NtBAM9 снизилась, а NtAI повысилась (рис. 4). То есть, деградация крахмала может быть снижена за счет ослабления процесса привлечения активного NtBAM1 к грануле, уменьшения количества белка NtBAM1 и роста ингибиторной активности по отношению к амилазам.
У растения Nt1-13 (vs. контроль) уровень транскриптов NtGWD снизился, экспрессия NtBAM9 не изменилась, NtBAM1 снизилась, а NtAI повысилась (рис. 4). Деградация крахмала может быть снижена за счет снижения доступа амилаз к грануле, уменьшения количества активного фермента NtBAM1 и увеличения ингибиторной активности по отношению к амилазам (самое значительное среди образцов увеличение содержания крахмала) (рис. 3).
У растения Nt1-15 (vs. контроль) уровень транскриптов NtGWD снизился, экспрессия NtBAM9 повысилась, а NtBAM1 и NtAI снизилась (рис. 4). Деградация крахмала может быть снижена за счет снижения доступа амилаз к грануле и уменьшения количества активного фермента NtBAM1.
Таким образом, во всех трех случаях произошло замедление гидролиза крахмала и, как следствие, сдвиг метаболизма в сторону синтеза. Если сравнивать с контролем, то, исходя из содержания крахмала (рис. 3), растения Nt1-11 и Nt1-15 более успешно, чем Nt1-13 противостояли частичному нокауту NtPHO1-L1. Если исходить из окраски листьев и параметров растения, то адаптация образца Nt1-11 была более полной, чем Nt1-15. Растения не различались по высоте (рис. 2), листья Nt1-15 были светлее, чем листья Nt1-11 (но зеленее, чем листья Nt1-13), и содержали крахмала меньше, чем Nt1-15, что ближе к контрольному значению (рис. 3).
Успешность приспособления Nt1-11 к частичному нокауту NtPHO1-L1 отразилась и в количестве хлорофиллов/каротиноидов в листовой ткани, которое не отличалось от контроля. Поэтому для большего понимания происходящего нами был проведен анализ экспрессии генов табака, кодирующих ферменты основных этапов биосинтеза каротиноидов – PSY2, PDS, ZDS, CRTISO и VDE. С работы фитоинсинтазы PSY (в фотосинтезирующей ткани активен преимущественно светозависимый, хлоропласт-специфичный изофермент PSY2) начинается синтез каротиноидов. Далее, предшественник каротиноидов 15-цис-фитоин, преобразуется под действием фитоиндесатуразы PDS, ζ-каротиндесатуразы ZDS и цис-транс-каротиноидизомеразы CRTISO в транс-ликопин. Потом синтезируются ксантофиллы, в том числе виолаксантинового цикла, где виолаксантиндеэпоксидаза VDE играет важную роль в регуляции перераспределения энергии света между виолаксантином, зеаксантином (ксантофиллы) и хлорофиллом a [35].
В результате было показано, что образцы Nt1-11, Nt1-13 и Nt1-15 отличаются от контроля уровнем экспрессии большинства проанализированных генов, при этом профиль различий индивидуален для каждого из трех растений (рис. 4). Неполный нокаут NtPHO1-L1 очевидно нарушил согласованную работу ферментов катаболизма крахмала и биосинтеза каротиноидов. При этом каких-либо корреляций с содержанием каротиноидов (рис. 3) выявлено не было.
С регуляцией биосинтеза каротиноидов и углеводов в растениях связывают важнейшие регуляторы развития растений – MADS-доменные ТФ, сайты связывания (консенсус CC(A/T)6GG, или CArG-box) с которыми обнаружены в регуляторной области почти всех генов каротиногенеза, а также некоторых генов углеводного метаболизма (например, инвертаз, гидролизующих сахарозу) [30]. Взаимодействие подтверждено опытным путем на примере томата при поиске генов-мишеней ТФ RIPENING INHIBITOR (MADS-RIN, подсемейство SEP). ТФ MADS-RIN в комплексе с другими MADS-доменными ТФ – гомологами FRUITFULL (FUL) и AGAMOUS (AG), определяет созревание плода томата; связывание тетрамерных MADS-комплексов с промоторами генов-мишеней задействует два CArG-box мотива [30]. На примере плода банана показано участие MADS-box генов, гомологичных RIN, в регуляции метаболизма крахмала [36].
Проведенный анализ промоторов изучаемых генов деградации крахмала и биосинтеза каротиноидов подтвердил присутствие у большинства генов по два консенсуса CArG-box, необходимых для связывания с комплексом MADS-доменных ТФ (табл. 1). Следовательно, транскрипция генов метаболизма крахмала, как и генов каротиногенеза, может находиться под контролем MADS-доменных ТФ. Таким образом, дифференциальная экспрессия MADS-box генов в ответ на изменение содержания углеводов и каротиноидов, также возможна.
В нашей работе анализируется ткань листа, поэтому мы выбрали для анализа гены NtFUL1, NtSEP1, NtSEP2 и NtSEP3, так как в вегетативной ткани могут экспрессироваться гены подсемейств SEP и FUL [31].
В результате было показано, что у образца Nt1-13, в листе которого наиболее существенно снизилось количество хлорофиллов/каротиноидов и поднялось содержание крахмала, уровень транскриптов всех проанализированных MADS-box генов не отличался от контроля (рис. 5). В то же время у двух других образцов – Nt1-11 и Nt1-15, где количество крахмала выросло, но меньше, чем у Nt1-13, а количество пигментов не изменилось (Nt1-11) или упало (Nt1-15), профиль экспрессии MADS-box генов изменился зависимым от образца образом (рис. 5). Каких-либо корреляций с экспрессией генов деградации крахмала или биосинтеза каротиноидов, а также с содержанием метаболитов в листе выявлено не было. Тем не менее, обнаруженная дифференциальная экспрессия MADS-box генов предполагает их возможное участие в регуляции углеводного метаболизма и биосинтеза каротиноидов в листьях табака.
Таким образом, в данном исследовании мы получили неполный нокаут гена пластидной крахмалфосфорилазы NtPHO1-L1 в геноме N. tabacum с использованием системы CRISPR-Cas9 и проанализировали полученные трансгенные линии на предмет содержания крахмала, сахаров, каротиноидов и хлорофиллов, а также экспрессии генов путей метаболизма крахмала и каротиноидов и регуляторных MADS-box генов. Полученные результаты позволяют предположить, что частичный нокаут гена NtPHO1-L1 может изменять метаболизм транзиторного крахмала в листьях, смещая его в сторону синтеза. Эффект от нокаута распространяется на содержание сахаров, каротиноидов и хлорофиллов, а также профиль экспрессии соответствующих генов. Одним из основных последствий является снижение количества цветков в соцветии, то есть снижение репродукции растения, независимо от того, в какой степени растение смогло нормализовать углеводный обмен. Дифференциальная экспрессия MADS-box генов подсемейств SEP и FUL, а также наличие консенсусов связывания CArG-box в промоторах генов деградации крахмала и синтеза каротиноидов, предполагает участие MADS-доменных ТФ в регуляции метаболизма крахмала и каротиноидов, а также в ответе этих генов на изменение содержания данных метаболитов.
В целом, полученные данные не могут служить основанием для однозначных выводов о роли PHO1 в метаболизме транзиторного крахмала, в том числе из-за неполного нокаутирования гена у редактированных линий. Учитывая участие PHO1 в двух противоположных процессах (синтезе и деградации крахмала), можно предположить, что PHO1 сохраняет свою двойственную роль у мутантных растений, скорее всего, выполняя ее за счет аллелей, не подвергшихся редактированию. В то же время нарушение, вносимое редактированием в функцию PHO1, вызывает изменение содержания крахмала. Это может быть результатом как нарушения уровня активности NtPHO1-L1, так и изменения регуляции других генов метаболизма крахмала в ответ на изменение содержания крахмала. Учитывая разницу в степени изменения содержания крахмала в листьях, можно предположить, что, во-первых, анализируемые растения имеют разный процент нокаутированных по гену клеток. Во-вторых, каждое растение может индивидуальным образом решать проблему, используя значительный генный/ферментный аппарат для восстановления баланса синтеза и деградации крахмала, направленное на выживание и нормализацию поддержания жизненно важных биохимических процессов. Мы полагаем, что наши данные могут быть использованы в дальнейших исследованиях роли пластидной крахмалфосфорилазы PHO1.
Исследование выполнено при финансовой поддержке Министерства науки и высшего образования РФ. В работе использована экспериментальная установка искусственного климата (Федеральный исследовательский центр “Фундаментальные основы биотехнологии” РАН).
Авторы заявляют об отсутствии конфликта интересов. Настоящая статья не содержит каких-либо исследований с участием людей и животных в качестве объектов исследования.
1 Дополнительные материалы размещены в электронном виде по DOI статьи: 10.31857/S0015330324050091
Сокращения: ТФ – транскрипционные факторы.
About the authors
А. В. Нежданова
Институт биоинженерии им. К.Г. Скрябина Федерального исследовательского центра “Фундаментальные основы биотехнологии” Российской академии наук
Email: kulakova_97@mail.ru
Russian Federation, Москва
А. В. Кулакова
Институт биоинженерии им. К.Г. Скрябина Федерального исследовательского центра “Фундаментальные основы биотехнологии” Российской академии наук
Author for correspondence.
Email: kulakova_97@mail.ru
Russian Federation, Москва
М. А. Слугина
Институт биоинженерии им. К.Г. Скрябина Федерального исследовательского центра “Фундаментальные основы биотехнологии” Российской академии наук
Email: kulakova_97@mail.ru
Russian Federation, Москва
А. М. Камионская
Институт биоинженерии им. К.Г. Скрябина Федерального исследовательского центра “Фундаментальные основы биотехнологии” Российской академии наук
Email: kulakova_97@mail.ru
Russian Federation, Москва
Е. З. Кочиева
Институт биоинженерии им. К.Г. Скрябина Федерального исследовательского центра “Фундаментальные основы биотехнологии” Российской академии наук
Email: kulakova_97@mail.ru
Russian Federation, Москва
А. В. Щенникова
Институт биоинженерии им. К.Г. Скрябина Федерального исследовательского центра “Фундаментальные основы биотехнологии” Российской академии наук
Email: kulakova_97@mail.ru
Russian Federation, Москва
References
- Zeeman S.C., Smith S.M., Smith A.M. The diurnal metabolism of leaf starch // Biochem. J. 2007. V. 401. P. 13. https:doi.org/10.1042/BJ20061393
- Lloyd J.R., Kossmann J. Starch trek: the search for yield // Front. Plant Sci. 2019. V. 9: 1930. https:doi.org/10.3389/fpls.2018.01930
- Thalmann M., Santelia D. Starch as a determinant of plant fitness under abiotic stress // New Phytol. 2017. V. 214. P. 943. https:doi.org/10.1111/nph.14491
- Shoaib N., Liu L., Ali A., Mughal N., Yu G., Huang Y. Molecular functions and pathways of plastidial starch phosphorylase (PHO1) in starch metabolism: current and future perspectives // Int. J. Mol. Sci. 2021. V. 22: 10450. https:doi.org/10.3390/ijms221910450
- Lütken H., Lloyd J.R., Glaring M.A., Baunsgaard L., Laursen K.H., Haldrup A., Kossmann J., Blennow A. Repression of both isoforms of disproportionating enzyme leads to higher malto-oligosaccharide content and reduced growth in potato // Planta. 2010. V. 232. P. 1127. https:doi.org/10.1007/s00425-010-1245-3
- Rathore R.S., Garg N., Garg S., Kumar A. Starch phosphorylase: role in starch metabolism and biotechnological applications // Crit. Rev. Biotechnol. 2009. V. 29. P. 214. https:doi.org/10.1080/07388550902926063
- Cuesta-Seijo J.A., Ruzanski C., Krucewicz K., Meier S., Hägglund P., Svensson B., Palcic M.M. Functional and structural characterization of plastidic starch phosphorylase during barley endosperm development // PLoS One. 2017. V. 12: e0175488. https:doi.org/10.1371/journal.pone.0175488
- Flores-Castellanos J., Fettke J. The plastidial glucan phosphorylase affects the maltooligosaccharide metabolism in parenchyma cells of potato (Solanum tuberosum L.) tuber discs // Plant Cell Physiol. 2023. V. 64. P. 422. https:doi.org/10.1093/pcp/pcac174
- Sonnewald U., Basner A., Greve B., Steup M. A second L-type isozyme of potato glucan phosphorylase: cloning, antisense inhibition and expression analysis // Plant Mol. Biol. 1995. V. 27. P. 567. https:doi.org/10.1007/BF00019322
- Chen H.M., Chang S.C., Wu C.C., Cuo T.S., Wu J.S., Juang R.H. Regulation of the catalytic behaviour of L-form starch phosphorylase from sweet potato roots by proteolysis // Physiol. Plant. 2002. V. 114. P. 506. https:doi.org/10.1034/j.1399-3054.2002.1140402.x
- Camirand A., St-Pierre B., Marineau C., Brisson N. Occurrence of a copia-like transposable element in one of the introns of the potato starch phosphorylase gene // Mol. Gen. Genet. 1990. V. 224. P. 33. https:doi.org/10.1007/BF00259448
- Fettke J., Poeste S., Eckermann N., Tiessen A., Pauly M., Geigenberger P., Steup M. Analysis of cytosolic heteroglycans from leaves of transgenic potato (Solanum tuberosum L.) plants that under- or overexpress the Pho 2 phosphorylase isozyme // Plant Cell Physiol. 2005. V. 46. P. 1987. https:doi.org/10.1093/pcp/pci214
- Schopper S., Mühlenbock P., Sörensson C., Hellborg L., Lenman M., Widell S., Fettke J., Andreasson E. Arabidopsis cytosolic alpha-glycan phosphorylase, PHS2, is important during carbohydrate imbalanced conditions // Plant Biol.. 2015. V. 17. P. 74. https:doi.org/10.1111/plb.12190
- Zeeman S.C., Thorneycroft D., Schupp N., Chapple A., Weck M., Dunstan H., Haldimann P., Bechtold N., Smith A.M., Smith S.M. The role of plastidial α-glucan phosphorylase in starch degradation and tolerance of abiotic stress in Arabidopsis leaves // Plant Physiol. 2004. V. 135. P. 849. https:doi.org/10.1104/pp.103.032631
- Satoh H., Shibahara K., Tokunaga T., Nishi A., Tasaki M., Hwang S.-K., Okita T., Kaneko N., Fujita N., Yoshida M., Hosaka Y., Sato A., Utsumi Y., Ohdan T., Nakamura Y. Mutation of the plastidial α-glucan phosphorylase gene in rice affects the synthesis and structure of starch in the endosperm // Plant Cell. 2008. V. 20. P. 1833. https:doi.org/10.1105/tpc.107.054007
- Yu Y., Mu H.H., Wasserman B.P., Carman G.M. Identification of the maize amyloplast stromal 112-kd protein as a plastidic starch phosphorylase // Plant Physiol. 2001. V. 125. P. 351. https:doi.org/10.1104/pp.125.1.351
- Mizuno S., Kamiyoshihara Y., Shiba H., Shinmachi F., Watanabe K., Tateishi A. Plastidial starch phosphorylase is highly associated with starch accumulation process in developing squash (Cucurbita sp.) fruit // Physiol. Plant. 2019. V. 167. P. 264. https:doi.org/10.1111/ppl.12886
- Hwang S.K., Singh S., Cakir B., Satoh H., Okita T.W. The plastidial starch phosphorylase from rice endosperm: catalytic properties at low temperature // Planta. 2016. V. 243. P. 999. https:doi.org/10.1007/s00425-015-2461-7
- Fettke J., Leifels L., Brust H., Herbst K., Steup M. Two carbon fluxes to reserve starch in potato (Solanum tuberosum L.) tuber cells are closely interconnected but differently modulated by temperature // J. Exp. Bot. 2012. V. 63. P. 3011. https:doi.org/10.1093/jxb/ers014
- Orawetz T., Malinova I., Orzechowski S., Fettke J. Reduction of the plastidial phosphorylase in potato (Solanum tuberosum L.) reveals impact on storage starch structure during growth at low temperature // Plant Physiol. Biochem. 2016. V. 100. P. 141. https:doi.org/10.1016/j.plaphy.2016.01.013
- Higgins J.E., Kosar‐Hashemi B., Li Z., Howitt C.A., Larroque O., Flanagan B., Morell M.K., Rahman S. Characterization of starch phosphorylases in barley grains // J. Sci. Food Agric. 2013. V. 93. P. 2137. https:doi.org/10.1002/jsfa.6019
- Schreiber L., Nader-Nieto A.C., Schönhals E.M., Walkemeier B., Gebhardt C. SNPs in genes functional in starch-sugar interconversion associate with natural variation of tuber starch and sugar content of potato (Solanum tuberosum L.) // G3: Genes, Genomes, Genetics. 2014. V. 4. P. 1797. https:doi.org/10.1534/g3.114.012377
- Albrecht T., Koch A., Lode A., Greve B., Schneider-Mergener J., Steup M. Plastidic (Pho1-type) phosphorylase isoforms in potato (Solanum tuberosum L.) plants: expression analysis and immunochemical characterization // Planta. 2001. V. 213. P. 602. https:doi.org/10.1007/s004250100525
- Slugina M.A., Shchennikova A.V., Kochieva E.Z. The expression pattern of the Pho1a genes encoding plastidic starch phosphorylase correlates with the degradation of starch during fruit ripening in green-fruited and red-fruited tomato species // Funct. Plant Biol. 2019. V. 46. P. 1146. https:doi.org/10.1071/FP18317
- Slugina M.A., Meleshin A.A., Kochieva E.Z., Shchennikova A.V. The opposite effect of low temperature on the Pho1a starch phosphorylase gene expression in Solanum tuberosum L. tubers and Petota species leaves // Am. J. Potato Res. 2020. V. 97. P. 78. https:doi.org/10.1007/s12230-019-09758-z
- Nezhdanova A.V., Efremov G.I., Slugina M.A., Kamionskaya A.M., Kochieva E.Z., Shchennikova A.V. Effect of a radical mutation in plastidic starch phosphorylase PHO1a on potato growth and cold stress response // Horticulturae. 2022. V. 8: 730. https:doi.org/10.3390/horticulturae8080730
- Sharma S., Friberg M., Vogel P., Turesson H., Olsson N., Andersson M., Hofvander P. Pho1a (plastid starch phosphorylase) is duplicated and essential for normal starch granule phenotype in tubers of Solanum tuberosum L. // Front. Plant Sci. 2023. V. 14: 1220973. https:doi.org/10.3389/fpls.2023.1220973
- Jacobs T.B., LaFayette P.R., Schmitz R.J., Parrott W.A. Targeted genome modifications in soybean with CRISPR/Cas9 // BMC Biotechnol. 2015. V. 15: 16. https:doi.org/10.1186/s12896-015-0131-2
- Nezhdanova A.V., Slugina M.A., Kulakova A.V., Kamionskaya A.M., Kochieva E.Z., Shchennikova A.V. Effect of mosaic knockout of phytoene desaturase gene NtPDS on biosynthesis of carotenoids in Nicotiana tabacum L.// Russ. J. Plant Physiol. 2023. V. 70: 116. https:doi.org/10.1134/S1021443723601271
- Slugina M.A. Transcription factor RIPENING INHIBITOR and its homologs in regulation of fleshy fruit ripening of various plant species // Russ. J. Plant Physiol. 2021. V. 68: 783. https:doi.org/10.1134/S1021443721050186
- Parenicová L., de Folter S., Kieffer M., Horner D.S., Favalli C., Busscher J., Cook H.E., Ingram R.M., Kater M.M., Davies B., Angenent G.C., Colombo L. Molecular and phylogenetic analyses of the complete MADS-box transcription factor family in Arabidopsis: new openings to the MADS world // Plant Cell. 2003. V. 15. P. 1538. https:doi.org/10.1105/tpc.011544
- AbdElgawad H., Avramova V., Baggerman G., Van Raemdonck G., Valkenborg D., Van Ostade X., Guisez Y., Prinsen E., Asard H., Van den Ende W., Beemster G.T.S. Starch biosynthesis contributes to the maintenance of photosynthesis and leaf growth under drought stress in maize // Plant Cell Environ. 2020. V. 43. P. 2254. https:doi.org/10.1111/pce.13813
- Hou J., Zhang H., Liu J., Reid S., Liu T., Xu S., Tian Z., Sonnewald U., Song B., Xie C. Amylases StAmy23, StBAM1 and StBAM9 regulate cold-induced sweetening of potato tubers in distinct ways // J. Exp. Bot. 2017. V. 68. P. 2317. https:doi.org/10.1093/jxb/erx076
- Zhang H., Liu J., Hou J., Yao Y., Lin Y., Ou Y., Song B., Xie C. The potato amylase inhibitor gene SbAI regulates cold-induced sweetening in potato tubers by modulating amylase activity // Plant Biotech. J. 2014. V. 12. P. 984. https:doi.org/10.1111/pbi.12221
- Rosas-Saavedra C., Stange C. Biosynthesis of carotenoids in plants: enzymes and color // Subcell. Biochem. 2016. V. 79. P. 35. https:doi.org/10.1007/978-3-319-39126-7_2
- Cordenunsi-Lysenko B.R., Nascimento J.R.O., Castro-Alves V.C., Purgatto E., Fabi J.P., Peroni-Okyta F.H.G. The starch is (not) just another brick in the wall: the primary metabolism of sugars during banana ripening // Front. Plant Sci. 2019. V. 10: 391. https:doi.org/10.3389/fpls.2019.00391
Supplementary files







