Сверхэкспрессия гена AtOPR3 в пшенице стимулирует образование летучих метаболитов гидропероксидлиазной ветви биосинтеза оксилипинов
- Authors: Дегтярёва В.И.1,2, Мирошниченко Д.Н.1,2, Пиголев А.В.1, Дегтярёв Е.А.1, Тебина Е.М.1, Стрельцова П.С.1,3, Долгов С.В.2, Савченко Т.В.1
-
Affiliations:
- Институт фундаментальных проблем биологии, Федеральный исследовательский центр “Пущинский научный центр биологических исследований Российской академии наук”
- Филиал Института биоорганической химии имени академиков М.М. Шемякина и Ю.А. Овчинникова Российской академии наук
- Федеральное государственное бюджетное образовательное учреждение высшего образования “Тульский государственный университет”
- Issue: Vol 71, No 5 (2024): Генетическая инженерия растений – достижения и перспективы
- Pages: 569-579
- Section: ЭКСПЕРИМЕНТАЛЬНЫЕ СТАТЬИ
- URL: https://ogarev-online.ru/0015-3303/article/view/269470
- DOI: https://doi.org/10.31857/S0015330324050063
- EDN: https://elibrary.ru/MMWLYH
- ID: 269470
Cite item
Full Text
Abstract
Алленоксидсинтазная (AOS) и гидропероксидлиазная (HPL) ветви пути биосинтеза оксилипинов ведут к образованию разных продуктов из одного субстрата – 13-гидроперокси-(9,11,15)-октадекатриеновой кислоты (13-ГПОТ). До сих пор остается неизвестным, как у растений регулируется распределение 13-ГПОТ субстрата между этими ветвями, как метаболиты каждой ветви влияют на активность параллельной ветви. В данной работе была исследована активность HPL ветви в листьях мягкой пшеницы (Triticum aestivum L.) сорта Саратовская-60, а также полученных на ее основе трансгенных растений со сверхэкспрессией гена биосинтеза жасмонатов из Arabidopsis thaliana AtOPR3 (12-OXOPHYTODIENOATE REDUCTASE 3). В ходе исследований выявлено высокое содержание метаболитов HPL ветви в листьях, что свидетельствует о высокой активности HPL пути биосинтеза оксилипинов у пшеницы. Показано, что сверхэкспрессия гена AtOPR3 приводит к повышению содержания метаболитов HPL ветви в листьях, в первую очередь цис-3-гексеналя, а также к изменению профиля летучих соединений HPL ветви, выделяемых поврежденными растениями. После механического повреждения листья трансгенной пшеницы со сверхэкспрессией AtOPR3 выделяют больше цис-3-гексенола и цис-3-гексенил ацетата, но меньше транс-2-гексеналя в сравнении с нетрансгенными растениями. Изменения содержания метаболитов HPL ветви в листовых тканях и в смеси выделяемых летучих соединений проявляются ярче в трансгенных линиях с более высоким уровнем экспрессии AtOPR3. Таким образом, впервые показано, что генетическая модификация AOS ветви биосинтеза оксилипинов приводит к изменению активности HPL ветви в растениях пшеницы.
Full Text
ВВЕДЕНИЕ1
При механических повреждениях или атаках насекомых растения выделяют смесь летучих соединений, и важным компонентом этой смеси являются метаболиты, образующиеся в гидропероксидлиазной (HPL) ветви пути биосинтеза оксилипинов [1]. Известны несколько десятков выделяемых растениями летучих органических соединений, а сам процесс выделения летучих соединений имеет глобальное экологическое значение, так как их суммарное количество, выделяемое растениями планеты в год, измеряется в тераграммах углерода [2]. Единого мнения по поводу биологических функций метаболитов HPL ветви до сих пор нет. Показано, что активность HPL ветви при повреждении клеток помогает избавиться от образовавшихся токсичных гидропероксидов жирных кислот [3]. Также предполагается, что летучие альдегиды, спирты и их производные обеспечивают непрямые защитные ответы, опосредуя взаимодействие растений с другими организмами, в том числе с другими растениями [4, 5]. Отдельные исследования показывают, что эти соединения могут выполнять защитные функции, проявляя антимикробные и антигрибковые свойства [6, 7]. Современные данные свидетельствуют о защитной роли метаболитов HPL ветви при абиотических стрессах, в частности, в условиях низких температур и засухи [8–11].
В алленоксидсинтазной (AOS) ветви пути биосинтеза оксилипинов, параллельной HPL ветви, образуются фитогормоны жасмонаты [12]. HPL и AOS ветви ведут к образованию разных продуктов из одного субстрата – 13-гидроперокси-(9,11,15)-октадекатриеновой кислоты (13-ГПОТ) [13]. Начальные стадии биосинтеза оксилипинов HPL и AOS ветвей, протекающие в хлоропластах, являются общими для обеих ветвей и связаны с образованием 13-ГПОТ с участием 13-специфичных липоксигеназ (рис. 1). Показано, что в растениях Arabidopsis thaliana и Oryza sativa одна и та же липоксигеназа обеспечивает субстрат как для образования HPL метаболитов, так и для жасмонатов (производных ветви AOS) [14, 15]. Оба фермента, и гидропероксидлиаза HPL, и алленоксидсинтаза AOS, относятся к группе ферментов CYP74, неклассическим цитохромам Р450, которые не нуждаются в присутствии молекулярного кислорода для осуществления ферментативных реакций. Аминокислотные последовательности HPL и AOS могут отличаться лишь несколькими аминокислотами, более того, заменой одной или нескольких аминокислот можно превратить один фермент в другой, а в некоторых случаях один фермент способен одновременно проявлять как HPL, так и AOS активность [16, 17].
Рис. 1. Схема биосинтеза метаболитов AOS и HPL ветвей из α-линоленовой кислоты. Пунктирными линиями обозначено наличие нескольких промежуточных этапов превращений метаболитов. Черным фоном выделен фермент оксофитодиеноатредуктаза (OPR), ген которого сверхэкспрессирован в исследуемых трансгенных линиях пшеницы.
В AOS ветви в результате совместного действия AOS и алленоксидциклазы образуется 12-оксофитодиеновая кислота, которая далее превращается в жасмоновую кислоту в пероксисомах в результате действия 12-оксофитодиеноатредуктазы (OPR) и трех циклов β-окисления. Гидропероксидлиазы катализируют изомеризацию гидропероксидов жирных кислот в нестабильные промежуточные продукты – полуацетали, которые далее спонтанно распадаются на два фрагмента. При участии 13-HPL из 13-ГПОТ образуются 12-углеродная альдокислота и шестиуглеродные альдегиды и их производные, такие как цис-3-гексеналь, транс-2-гексеналь, цис-3-гексенол и цис-3-гексенил ацетат [18]. Нестабильное 12-углеродное соединение ветви HPL, 12-оксо-9(Z)-додеценовая кислота, изомеризуется в более стабильную 12-оксо-10(E)-додеценовую кислоту, называемую травматином, а дальнейшее окисление альдегидной группы травматина приводит к образованию 2(Е)-додецен-1,12-дикарбоновой кислоты (травматиновой кислоты) [19]. Первый шестиуглеродный продукт ветви, цис-3-гексеналь, превращается в транс-2-гексеналь с участием изомеразы [20]. Альдегиды могут быть восстановлены до спирта [21], а спирты далее ацетилированы [22]. Существует мнение, что альдегиды формируются в поврежденных тканях, а затем диффундируют в интактные клетки, поэтому для образования соответствующих спиртов и ацилпроизводных необходимо присутствие интактных клеток рядом с поврежденным участком [23]. Метаболиты HPL и AOS ветвей, имеющие общие начальные стадии биосинтеза и образующиеся из одного субстрата, выполняют разные биологические функции [24].
Ранее нами были выявлены некоторые особенности функционирования AOS ветви пшеницы, заметно отличающие ее от жасмонатной системы A. thaliana, изученной в настоящий момент достаточно подробно [25]. К примеру, общее содержание жасмонатов в листьях пшеницы намного ниже. Их уровень в ответ на механическое поранение тканей пшеницы увеличивается незначительно, тогда как в модельном растении A. thaliana содержание жасмонатов возрастает в десятки раз. Ферменты HPL ветви были изучены у A. thaliana и ряда других растений [1], однако, насколько нам известно, функционирование HPL ветви в пшенице до сих пор не исследовано.
Цель данной работы – исследовать активность HPL ветви в растениях пшеницы в условиях стресса (механическое повреждение листа) и без него, а также проследить возможное влияние жасмонатов на активность этой ветви. Полученные нами ранее трансгенные растения пшеницы со сверхэкспрессией гена AtOPR3 из Arabidopsis thaliana, кодирующего 12-оксофитодиеноатредуктазу 3 AOS-ветви пути биосинтеза жасмонатов [26], представляют собой удобный инструмент для изучения влияния метаболитов AOS ветви на активность HPL ветви.
МАТЕРИАЛЫ И МЕТОДЫ
Растительный материал. В исследованиях использовали растения мягкой пшеницы сорта Саратовская-60 (Sar-60), а также три трансгенные линии, сверхэкспрессирующие ген AtOPR3 из Arabidopsis thaliana, Tr-3, Tr-18, Tr-20 (гомозиготные поколения Т3-T4), полученные в результате генетической трансформации Sar-60 вектором pBAR-GFP.UbiOPR3 [26]. Растения выращивали в 3-литровых горшках, наполненных универсальным грунтом, до стадии четырех листьев (25–30 сут. после посева), для исследований использовали третий лист. Условия выращивания: зимняя теплица, фотопериод 16/8 ч, интенсивность света до 150 мкмоль × м–2 × с–1, температура воздуха 25° ± 2°C днем и 20° ± 2°C ночью; раз в неделю в почву вносили раствор Хогланда. В исследовании использовали интактные и механически поврежденные листья.
Экстракция метаболитов HPL ветви из растительных тканей. Метаболиты гидропероксидлиазной ветви выделяли из листьев пшеницы методом парофазной экстракции. Собранные образцы немедленно замораживали в жидком азоте, материал тщательно измельчали, не давая разморозиться, взвешивали 100 мг образца и переносили в охлажденную стеклянную виалу с завинчивающейся крышкой. Для экстракции метаболитов HPL ветви к образцу добавляли 1 мл 10% NaCl, 50 нг цис-2-ноненола в качестве внутреннего стандарта, затем в виалу вставляли миниколонку, наполненную адсорбирующей смолой MTO-Porapak PS 50/80 (“SUPELCO”, США), подсоединенную к вакуумному насосу. Быстрое замораживание образцов и последующее добавление к ним раствора с высокими концентрациями NaCl, способными ингибировать активность ферментов биосинтеза оксилипинов, позволяет исключить возможное образование оксилипинов в образцах после сбора тканей. Экстракцию летучих соединений проводили в течение заданного промежутка времени при постоянном перемешивании. Связавшиеся со смолой метаболиты элюировали с колонки дихлорметаном (400 мкл), образцы анализировали с помощью газохромато-масс-спектрометрии (ГХ-МС). Для количественного определения метаболитов применяли калибровочные кривые, построенные с использованием коммерческих веществ, цис-3-гексеналя, транс-2-гексеналя, цис-3-гексенола, цис-3-гексенил ацетата и цис-2-ноненола (“Sigma-Aldrich”, США).
Сбор летучих соединений HPL ветви. Для сбора летучих соединений, выделяемых механически поврежденными листьями, третий лист растений (массой около 200 мг) несколько раз зажимали пинцетом в поперечном направлении с интервалом 10 см по всей длине листовой пластинки. После этого листья сразу же помещали в десикатор с крышкой, в отверстие крышки вставляли миниколонку, наполненную адсорбирующей смолой MTO-Porapak PS 50/80. В десикатор помещали кусок фильтровальной бумаги, на который наносили 50 нг цис-2-ноненола, используемого в качестве внутреннего стандарта. Воздух отсасывали через миниколонку с помощью вакуумного насоса со скоростью 2 л/час. Связавшиеся со смолой метаболиты элюировали дихлорметаном (400 мкл), образцы анализировали с помощью ГХ-МС. Абсолютное содержание метаболитов в образце определяли с помощью калибровочных кривых, построенных с использованием коммерческих веществ. Динамику изменения скорости выделения летучих соединений изучали на индивидуальных пораненных листьях, помещенных в камеру для сбора летучих соединений. Выделяющиеся летучие соединения собирали один час, и в течение этого времени миниколонки, наполненные адсорбирующей смолой, меняли пять раз. Так как использование внутреннего стандарта при таком дизайне эксперимента затруднено, результаты измерений представлены в относительных единицах, рассчитанных как площадь хроматографического пика вещества, разделенная на время, в течение которого вещества улавливались на смоле миниколонок.
ГХ-МС анализ метаболитов HPL ветви. Содержание метаболитов гидропероксидлиазной ветви определяли методом ГХ-МС, как описано ранее [24, 27] с использованием аппаратно-программного комплекса на базе газового хроматографа “Хроматэк – Кристалл 5000” и масс-спектрометрического детектора (“Хроматэк”, Россия). Для разделения веществ использовали колонку CR-5M (30 м × 0.25 мм, толщина пленки 0.25 мкм), гелий использовали в качестве газа-носителя. Один мкл образца вводили в режиме ввода пробы без деления потока, температура испарителя составляла 200°C. Параметры работы термостата колонки, следующие: 5 мин 40°C, затем повышение до 225°C при 15°C/мин, в завершение температура 225°C поддерживалась в течение 10 мин. Первоначально соединения идентифицировали путем сравнения времени удерживания и масс-спектров веществ образца с эталонными соединениями, далее анализ проводили в режиме мониторинга выбранных ионов (selected ion monitoring, SIM). Ионные фрагменты анализировали, используя следующие значения отношения массы к заряду (m/z): m/z 69 для цис-3-гексеналя и транс-2-гексеналя, m/z 67 для цис-3-гексенола и цис-3-гексенилацетата, и m/z 57 для внутреннего стандарта транс-2-ноненола.
Анализ жирнокислотного состава. Экстракцию жирных кислот из листьев пшеницы проводили с помощью модифицированного метода Блай и Дайер [28]. Метиловые эфиры жирных кислот получали путем инкубации выделенных жирных кислот в 1 мл 8% серной кислоты в метаноле. Образцы выдерживали при 90 °C в течение 90 мин, затем охлаждали до комнатной температуры. В пробирку добавляли 1 мл 10% хлорида натрия в воде и 250 мкл гексана, а через 10 мин верхнюю фазу, содержащую метиловые эфиры, переносили в пробирку для ГХ-МС анализа. Условия ГХ-МС анализа подробно описаны в предыдущем исследовании [29].
Статистическая обработка результатов. Статистическую обработку данных проводили в программе Origin (“OriginLab Corporation”, США) и Microsoft Excel (“Microsoft”, США). Для определения статистически значимых различий между трансгенными линиями проводили однофакторный дисперсионный анализ (ANOVA). В случае обнаружения значимых различий (Р ≤ 0.05) применяли пост-хок тест Тьюки (для множественных сравнений), используя онлайн ресурс (https://www.statskingdom.com/180Anova1way.html, One-Way ANOVA Calculator and Tukey HSD). На рисунках статистически значимые различия обозначены разными буквами над столбцами.
Результаты
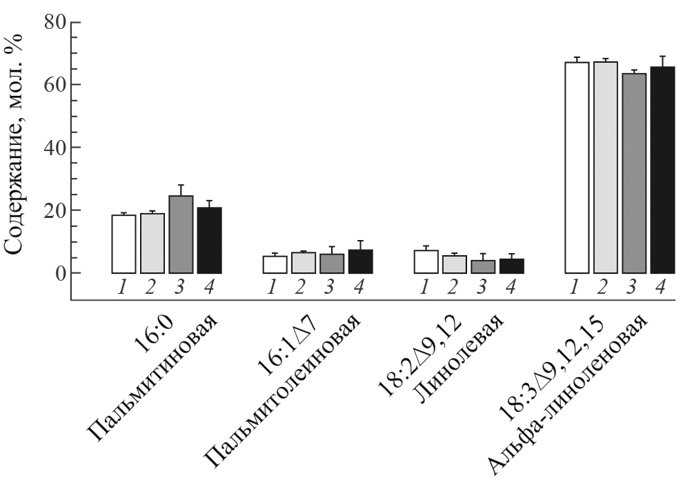
Анализ содержания жирных кислот в нетрансгенных и трансгенных растениях пшеницы. Прежде всего мы проанализировали жирнокислотный состав тканей листьев исследуемых линий пшеницы, чтобы оценить содержание α-линоленовой кислоты – основного субстрата для образования исследуемых оксилипинов. На рис. 2 представлены результаты анализа содержания основных жирных кислот, которые показывают, что α-линоленовая кислота является преобладающей во всех анализируемых образцах. Ее содержание составляет более 65% от общего содержания жирных кислот в тканях листьев как трансгенных, так и нетрансгенных растений. Содержание пальмитиновой кислоты составляет около 20%, пальмитолеиновой и линолевой – около 5% каждой. Существенных отличий в жирнокислотном составе у трансгенных растений не обнаружено, лишь в одной из трансгенных линий Tr-18 уровень линоленовой кислоты оказался немного понижен, хотя это отличие не является статистически достоверным (рис. 2).
Рис. 2. Жирнокислотный состав листьев мягкой пшеницы Саратовская-60 и трансгенных линий с конститутивной экспрессией гена AtOPR3 (1 – Sar-60, 2 – Tr-3, 3 – Tr-18, 4 – Tr-20). Жирные кислоты обозначены с использованием тривиальных названий и дельта-номенклатуры, указывающей число углеродных атомов в жирнокислотной цепи, число двойных связей после двоеточия и положение этих двойных связей после знака “Δ”. Данные представляют собой средние значения ± стандартное отклонение.
Анализ содержания метаболитов HPL ветви. Исследования позволили выявить присутствие ряда метаболитов HPL ветви, включая цис-3-гексеналь, цис-3-гексенол, транс-2-гексеналь и цис-3-гексенил ацетат в исследуемых образцах (рис. 3). Среди обнаруженных метаболитов, содержание 3-гексеналя оказалось выше других, составляя 10–30 мкмоль/г сырого веса. Содержание остальных соединений было на несколько порядков ниже: 3-гексенола – около 0.2 мкмоль /г сырого веса, 2-гекcеналя и 3-гексенил ацетата – от 0.01 до 0.065 мкмоль/г сырого веса. В тканях трансгенных растений содержание метаболитов HPL ветви отличалось от нетрансгенного контроля. В двух трансгенных линиях (Tr-3 и Tr-18) наблюдали значительное превышение содержания 3-гексеналя. Наиболее заметное увеличение содержания HPL метаболитов наблюдалось в растениях линии Tr-3, листья которой содержали в три раза больше 3-гексеналя и почти в два раза больше 2-гексеналя и 3-гексенил ацетата в сравнении с нетрансгенными растениями. При этом, растения линии Tr-20 не отличались от нетрансгенных Sar-60 содержанием метаболитов HPL ветви (рис. 3).
Рис. 3. Содержание индивидуальных оксилипинов HPL ветви, цис-3-гексеналя (а), транс-2-гексеналя (б), цис-3-гексенола (в) и цис-3-гексенил ацетата (г), в интактных листьях мягкой пшеницы Саратовская-60 (Sar-60, белые столбцы) и листьях трансгенных линий с конститутивной экспрессией гена AtOPR3 (Tr-3, Tr-18 и Tr-20, закрашенные столбцы). Буквы обозначают статистически значимые различия между линиями, согласно оценке однофакторного дисперсионного анализа (ANOVA) с последующим пост-хок тестом Тьюки (Р ≤ 0.05).
Влияние механического повреждения на содержание метаболитов HPL ветви в пшенице. Известно, что накопление в тканях и выделение метаболитов HPL ветви индуцируются механическим повреждением листьев. Мы проверили, как изменяется профиль этих соединений у нетрансгенных растений пшеницы после механического повреждения листовой пластины, а также как изменяется скорость выделения этих метаболитов через промежутки времени после повреждения. Динамика изменения эндогенного содержания 3-гексеналя, 2-гексеналя и 3-гексенола имеет схожий характер. Содержание метаболитов в тканях повышается в ответ на механическое повреждение и достигает максимума через 30 мин (рис. 4). Уровень 3-гексенил ацетата заметно не изменяется.
Рис. 4. Изменение содержания индивидуальных оксилипинов HPL ветви, цис-3-гексеналя (а), транс-2-гексеналя (б), цис-3-гексенола (в) и цис-3-гексенил ацетата (г), в пораненных листьях мягкой пшеницы Саратовская-60 в течение часа после повреждения. Эндогенное содержание метаболита до повреждения листа принято за 100%. Буквы обозначают статистически значимые различия между линиями, согласно оценке однофакторного дисперсионного анализа (ANOVA) с последующим пост-хок тестом Тьюки (Р ≤ 0.05).
Далее мы проверили, как изменяется скорость выделения летучих соединений в течение часа после механического повреждения листа. В предварительных экспериментах мы провели анализ летучих соединений, выделяемых неповрежденными тканями срезанного листа пшеницы, при этом срезанный край был плотно заклеен клейкой канцелярской лентой. Эти эксперименты подтвердили, что интактные листья растений пшеницы в течение 30 мин не выделяют детектируемых количеств летучих соединений HPL ветви. Динамика изменения скорости выделения индивидуальных метаболитов HPL ветви в течение часа после механического повреждения показана на рис. 5. Исследование показало, что скорость выделения трех из четырех исследуемых соединений, 3-гексеналя, 2-гексеналя и 3-гексенола достигает максимальных или близких к максимальным значений в течение первых 5 мин после поранения листа, а скорость выделения 3-гексенил ацетата нарастает постепенно в течение 15 мин. Скорость выделения всех анализируемых соединений заметно падает в промежутке времени от 15 до 30 мин, и в дальнейшем мало изменяется.
Рис. 5. Относительная скорость выделения оксилипинов HPL ветви, цис-3-гексеналя (а), транс-2-гексеналя (б), цис-3-гексенола (в) и цис-3-гексенил ацетата (г), механически поврежденным листом мягкой пшеницы Саратовская-60 в течение часа после повреждения. Данные репрезентативного эксперимента представлены как площадь хроматографического пика соответствующего метаболита, разделенная на время улавливания метаболитов, выделяемых поврежденным листом.
Анализ соединений HPL ветви, выделенных механически поврежденными листьями трансгенной пшеницы со сверхэкспрессией AtOPR3. Основываясь на результатах анализа динамики выделения летучих соединений поврежденными листьями трансгенной пшеницы, для дальнейшего сравнения профилей летучих соединений HPL ветви, выделяемых растениями трансгенных линий, сбор летучих соединений проводили в течение 30 мин. Результаты анализа летучих соединений HPL ветви, выделяемых поврежденными листьями нетрансгенных и трансгенных растений в течение 30 мин после повреждения показаны на рисунке 6. У всех растений преобладающими метаболитами в смеси летучих соединений являются 3-гексеналь и 3-гексенол, которые выделяются приблизительно в равных количествах. Профиль летучих соединений, выделяемых поврежденными трансгенными растениями, заметно отличается от смеси летучих соединений, выделяемой нетрансгенным контролем Sar-60. Все трансгенные растения выделяют больше 3-гексенола и 3-гексенил ацетата и меньше 2–гексеналя по сравнению с нетрансгенными растениями Sar-60.
Рис. 6. Количество индивидуальных оксилипинов HPL ветви, цис-3-гексеналя (а), транс-2-гексеналя (б), цис-3-гексенола (в) и цис-3-гексенил ацетата (г), выделяемых поврежденными листьями мягкой пшеницы Саратовская-60 (Sar-60, белые столбцы) и трансгенных растений (Tr-3, Tr-18 и Tr-20, закрашенные столбцы) с конститутивной экспрессией гена AtOPR3. Буквы обозначают статистически значимые различия между линиями, согласно оценке однофакторного дисперсионного анализа (ANOVA) с последующим пост-хок тестом Тьюки (Р ≤ 0.05).
ОБСУЖДЕНИЕ
Высокий спрос в промышленности на ароматические соединения обуславливает постоянный интерес к исследованию метаболитов HPL ветви. Особое внимание уделяется изучению HPL ветви у сельскохозяйственных культур, так как метаболиты HPL ветви влияют на качество продукции растениеводства [30]. В листьях пшеницы HPL ветвь исследована очень мало. Было лишь показано, что метаболиты HPL ветви выделяются молодыми растениями пшеницы озимого сорта “Tonacja” после механического повреждения пинцетом и насекомым Пьявицей красногрудой (Oulema melanopus) [31].
Анализ жирнокислотного состава листьев пшеницы подтвердил, что три четверти от общего содержания жирных кислот составляют 18-углеродные соединения, и α-линоленовая кислота, субстрат для биосинтеза исследуемых оксилипинов, является преобладающей жирной кислотой. Более того, стало понятно, что содержание этой жирной кислоты в листьях молодых растений пшеницы очень высоко (более 65% от общего содержания жирных кислот) (рис. 2). Уровень содержания линоленовой кислоты в листьях российского сорта мягкой пшеницы Саратовская-60, обнаруженный в нашем исследовании, оказался выше, чем в листьях одного из сортов пшеницы азиатского происхождения (около 55%) [32]. Таким образом, листья молодых растений пшеницы можно рассматривать как полезный источник α-линоленовой кислоты. Например, листья оливковых деревьев, содержащие до 41% этого вещества, оцениваются как ценная кормовая добавка [33]. В целом, листья пшеницы являются хорошим источником полиненасыщенных жирных кислот, так как их содержание составляет около 75%, большую часть которых представляет ω-3 ненасыщенная α-линоленовая жирная кислота, при этом индекс ненасыщенности составляет 2.2. Таким образом, субстрат для липоксигеназ в листьях пшеницы находится в избытке, и сверхэкспрессия гена биосинтеза жасмонатов не приводит к заметному его уменьшению.
Количество метаболитов HPL ветви, выделяемое листьями растений, может варьировать в широких пределах. Одновременное исследование 50 видов растений показало, что у некоторых видов, например, Tillandsia recurvata они едва детектируются, тогда как у бобового растения Vigna radiata их уровень может достигать 100 мкг/г сырого веса [34]. Количество летучих соединений, выделяемых поврежденными листьями пшеницы (рис. 6) близко к максимальными значениям, выявленным в упомянутом выше исследовании. У растений Vigna radiata и ряда представителей семейства Cucurbitacea, охарактеризованных как виды с высоким уровнем выброса летучих соединений, транс-2-гексеналь преобладал как основной HPL метаболит [34]. Наши исследования показывают, что в листьях пшеницы преобладает цис-3-гексеналь, поскольку на него приходится около 98% от общего содержания летучих соединений HPL ветви (рис. 3). При механическом повреждении листьев цис-3-гексеналь составляет около половины смеси летучих метаболитов HPL ветви, выделяемых тканями (рис. 6). В отличие от других видов растений, характеризующихся высоким уровнем выброса летучих соединений, содержание транс-2-гексеналя в тканях пшеницы в сотни раз ниже, а в смеси метаболитов, выделяемых поврежденными листьями – в десятки раз ниже, чем цис-3-гексеналя. Относительное содержание цис-3-гексенола, наоборот, в смеси выделяемых метаболитов значительно выше, чем в тканях листа. В листьях пшеницы его содержание в десятки раз меньше, чем цис-3-гексеналя, тогда как в смеси выделившихся летучих соединений содержание цис-3-гексенола сравнимо или несколько превышает уровень цис-3-гексеналя (рис. 3 и 6). Увеличение относительного содержания цис-3-гексенола и уменьшение цис-3-гексеналя в смеси летучих соединений, выделяемых поврежденными растениями, относительно эндогенного содержания было показано ранее [23, 27].
Подтверждение присутствия больших количеств метаболитов HPL ветви в интактных листьях позволяет объяснить, каким образом механическое повреждение приводит к быстрому, почти мгновенному, выделению летучих соединений. Мы установили, что в ответ на механическое повреждение содержание шестиуглеродных альдегидов и 3-гексенола в листе растет, достигая максимума через 30 мин, при этом содержание 3-гексенил ацетата не изменяется, а 2-гексеналя к 30 мин увеличивается незначительно (рис. 4). Уровень метаболитов, детектируемых в тканях, представляет собой сумму процессов их образования, превращения в другие метаболиты (для альдегидов и 3-гексенола) и улетучивания. Скорость выделения цис-3-гексенил ацетата нарастает постепенно, тогда как для цис-3-гексеналя, транс-2-гексеналя и цис-3-гексенола максимальная скорость выделения достигается быстро (рис. 5). В целом, согласно нашим исследованиям, пик выделения всех летучих соединений HPL ветви наблюдается у пшеницы через 15 мин после поранения.
Сверхэкспрессия гена биосинтеза жасмонатов AtOPR3 в пшенице существенно повлияла на содержание метаболитов HPL ветви, как в интактных, так и поврежденных тканях. В двух изучаемых трансгенных линиях (Tr-3 и Tr-18) конститутивная экспрессия AtOPR3 привела к повышению общего содержания метаболитов HPL ветви, представленных, главным образом, цис-3-гексеналем (рис. 3). Генетическая модификация также привела к изменению профиля летучих соединений HPL ветви, выделяемых поврежденными растениями. После механического повреждения, листья трансгенных линий пшеницы со сверхэкспрессией AtOPR3 выделяют больше цис-3-гексенола и цис-3-гексенил ацетата, но меньше транс-2-гексеналя, в сравнении с нетрансгенными растениями. Обращает на себя внимание отсутствие разницы в содержании 3-гексенола в интактных листьях трансгенных линий и нетрансгенных растений (рис. 3), в то время как механически поврежденные листья трансгенных растений выделяют значительно большие количества этого метаболита (рис. 6). При этом, чем выше уровень экспрессии AtOPR3 в тканях трансгенной линии (Tr-20 < Tr-18 < Tr-3) [26], тем больше выделялось 3-гексенола (рис. 6). Полученные данные могут свидетельствовать о том, что стресс-индуцируемое образование и выделение 3-гексенола регулируется жасмонатами.
Максимальное увеличение содержания эндогенных метаболитов HPL ветви наблюдали в листьях растений трансгенной линии Tr-3. Ранее мы показали, что эти растения характеризуются наиболее высоким уровнем экспрессии привнесенного гена AtOPR3 [26]. Количество цис-3-гексенола и цис-3-гексенил ацетата, выделяемого пораненными листьями растений Tr-3, также было больше, чем у других трансгенных линий. Растения Tr-3 характеризуются торможением роста, более ранним цветением и повышенной устойчивостью к промораживанию, тогда как растения линии Tr-20 демонстрировали противоположные тенденции [26]. В текущем исследовании выявлены различия и в содержании продуктов HPL ветви у анализируемых линий. Можно предположить, что повышенная активность HPL ветви в Tr-3 в какой-то степени определяет повышение их общей стрессоустойчивости и изменения в скорости роста. Влияние активности HPL ветви на рост и развитие растений было описано ранее, например, на молодых проростках генетически модифицированных растений оливы европейской Olea europaea [30].
Остается также открытым вопрос о том, каким образом активация AOS ветви в пшенице приводит к стимулированию HPL ветви. До сих пор не ясно, как регулируется распределение субстрата между этими ветвями, и в целом, очень мало данных о регуляции HPL ветви. Информация о взаимном влиянии доминирующих ветвей биосинтеза оксилипинов по-прежнему весьма противоречива, свидетельствуя как о негативном влиянии, так и о стимулирующем воздействии метаболитов на параллельную ветвь [35–38]. Ранее было показано, что мутация в гене OsHPL3 риса Oryza sativa ведет к значительному уменьшению продуцирования метаболитов HPL ветви и, вследствие этого, к усилению биосинтеза жасмоновой кислоты, что свидетельствует о конкурирующих взаимодействиях двух ветвей биосинтеза оксилипинов в листьях риса [35]. Растения A. thaliana характеризуются тем, что в их хлоропластах накапливаются значительные количества гликолипидов, включающих в свой состав 12-оксофитодиеновую кислоту или ее укороченную форму динор-оксофитодиеновую кислоту, которые формируют особые клеточные включения, так называемые “арабидопсиды”. Сравнение разных экотипов A. thaliana, различающихся размерами арабидопсидов, показало, что более высокая активность гена HPL1 сопровождается более низким содержанием гликолипидов, включающих в свой состав 12-оксофитодиеновую кислоту и динор-оксофитодиеновую кислоту, подтверждая негативное влияние ветви HPL на активность жасмонатной (AOS) ветви [36]. Напротив, мутант hpl1, лишенный функциональной гидропероксидлиазы, созданный на основе экотипа Landsberg erecta, характеризуется пониженным содержанием жасмоновой кислоты и более низким уровнем экспрессии жасмонат-зависимых генов [4]. В то же время сообщается, что метаболиты HPL ветви могут стимулировать активность AOS ветви. Например, обработка растений кукурузы (Zea mays) цис-3-гексенил ацетатом индуцирует экспрессию генов биосинтеза жасмонатов, включая три гена OPR, что ведет к краткосрочному повышению уровня жасмоновой кислоты, при этом уровень 12-ОФДК не изменяется [38]. Схожим образом цис-3-гексенол индуцировал экспрессию генов биосинтеза жасмонатов растений томата (Solanum lycopersicum) [5]. Сверхэкспрессия в растениях A. thaliana измененного гена, кодирующего фермент HPL, лишенный транзитного пептида, направляющего белок в хлоропласты, приводила к накоплению функционального белка за пределами хлоропластов, таким образом исключала конкуренцию за общий образующийся в хлоропластах субстрат, приводя к повышению стресс-индуцируемого уровня 12-ОФДК [37]. В литературе также есть данные, показывающие стимулирование HPL ветви жасмонатами [39, 40]. Стимулирование образования метаболитов HPL ветви жасмонатами может быть также связано с так называемой “положительной обратной связью” пути биосинтеза жасмонатов, характеризующейся активацией ферментов биосинтетического пути продуктами этого же пути. В частности, положительная регуляция жасмонатами характерна для липоксигеназ, поставляющих субстрат как для AOS, так и для HPL ветвей пути биосинтеза оксилипинов [39]. В совокупности эти факты свидетельствуют о возможной активации каждой из двух ветвей метаболитами параллельной ветви и не исключают конкуренции за субстрат, возможно, в условиях его ограниченного образования. По-видимому, в трансгенных растениях с интенсивной транскрипцией гена AtOPR3 активация ветви HPL может происходить как в результате стимулирующего действия жасмонатов, так и в результате посттранскрипционного замалчивания экспрессии генов жасмонатной ветви.
Работа поддержана Российским Научным Фондом (грант № 22-16-00047). Авторы заявляют об отсутствии конфликта интересов. Настоящая работа не содержит каких-либо исследований с участием людей и животных в качестве объектов исследования.
1 Сокращения: ЖАК – жасмоновая кислота, OPR – 12-оксофитодиеноатредуктаза, AOS – алленоксидсинтаза, HPL – гидропероксидлиаза, 13-ГПОТ – 13-гидроперокси-(9,11,15)-октадекатриеновая кислота.
About the authors
В. И. Дегтярёва
Институт фундаментальных проблем биологии, Федеральный исследовательский центр “Пущинский научный центр биологических исследований Российской академии наук”; Филиал Института биоорганической химии имени академиков М.М. Шемякина и Ю.А. Овчинникова Российской академии наук
Email: savchenko_t@rambler.ru
Russian Federation, Пущино; Пущино
Д. Н. Мирошниченко
Институт фундаментальных проблем биологии, Федеральный исследовательский центр “Пущинский научный центр биологических исследований Российской академии наук”; Филиал Института биоорганической химии имени академиков М.М. Шемякина и Ю.А. Овчинникова Российской академии наук
Email: savchenko_t@rambler.ru
Russian Federation, Пущино; Пущино
А. В. Пиголев
Институт фундаментальных проблем биологии, Федеральный исследовательский центр “Пущинский научный центр биологических исследований Российской академии наук”
Email: savchenko_t@rambler.ru
Russian Federation, Пущино
Е. А. Дегтярёв
Институт фундаментальных проблем биологии, Федеральный исследовательский центр “Пущинский научный центр биологических исследований Российской академии наук”
Email: savchenko_t@rambler.ru
Russian Federation, Пущино
Е. М. Тебина
Институт фундаментальных проблем биологии, Федеральный исследовательский центр “Пущинский научный центр биологических исследований Российской академии наук”
Email: savchenko_t@rambler.ru
Russian Federation, Пущино
П. С. Стрельцова
Институт фундаментальных проблем биологии, Федеральный исследовательский центр “Пущинский научный центр биологических исследований Российской академии наук”; Федеральное государственное бюджетное образовательное учреждение высшего образования “Тульский государственный университет”
Email: savchenko_t@rambler.ru
Russian Federation, Пущино; Тула
С. В. Долгов
Филиал Института биоорганической химии имени академиков М.М. Шемякина и Ю.А. Овчинникова Российской академии наук
Email: savchenko_t@rambler.ru
Russian Federation, Пущино
Т. В. Савченко
Институт фундаментальных проблем биологии, Федеральный исследовательский центр “Пущинский научный центр биологических исследований Российской академии наук”
Author for correspondence.
Email: savchenko_t@rambler.ru
Russian Federation, Пущино
References
- Matsui K. Green leaf volatiles: hydroperoxide lyase pathway of oxylipin metabolism // Curr. Opin. Plant Biol. 2006. V. 9. P. 274.
- Sarang K., Rudziński K.J., Szmigielski R. Green leaf volatiles in the atmosphere – properties, transformation, and significance // Atmosphere. 2021. V. 12. P. 1655. https:www.mdpi.com/2073-4433/12/12/1655
- Savchenko T., Yanykin D., Khorobrykh A., Terentyev V., Klimov V., Dehesh K. The hydroperoxide lyase branch of the oxylipin pathway protects against photoinhibition of photosynthesis // Planta. 2017. V. 245. P. 1179. https:doi.org/10.1007/s00425-017-2674-z
- Scala A., Mirabella R., Mugo C., Matsui K., Haring M.A., Schuurink R.C. E-2-hexenal promotes susceptibility to Pseudomonas syringae by activating jasmonic acid pathways in Arabidopsis // Front. Plant Sci. 2013. V. 4. P. 74. https:doi.org/10.3389/fpls.2013.00074
- Su Q., Yang F., Zhang Q., Tong H., Hu Y., Zhang X., Xie W., Wang S., Wu Q., Zhang Y. Defence priming in tomato by the green leaf volatile (Z)-3-hexenol reduces whitefly transmission of a plant virus // Plant Cell Environ. 2020. V. 43. P. 2797. https:doi: 10.1111/pce.13885.
- Ameye M., Allmann S., Verwaeren J., Smagghe G., Haesaert G., Schuurink R.C., Audenaert K. Green leaf volatile production by plants: a meta-analysis // New Phytol. 2018. V. 220. P. 666. https:doi.org/10.1111/nph.14671
- Hamilton-Kemp T.R., McCracken C.T.Jr., Loughrin J.H., Andersen R.A., Hildebrand D.F. Effects of some natural volatile compounds on the pathogenic fungi Alternaria alternata and Botrytis cinerea // J. Chem. Ecol. 1992. V. 18. P. 1083.
- Savchenko T.V., Zastrijnaja O.M., Klimov V.V. Oxylipins and plant abiotic stress resistance // Biochem. (Moscow). 2014. V. 79. P. 362.
- Engelberth M., Selman S.M., Engelberth J. In-cold exposure to z-3-hexenal provides protection against ongoing cold stress in Zea mays // Plants. 2019. V. 8. P. 165. https:www.mdpi.com/2223-7747/8/6/165
- Yamauchi Y., Kunishima M., Mizutani M., Sugimoto Y. Reactive short-chain leaf volatiles act as powerful inducers of abiotic stress-related gene expression // Sci. Rep. 2015. V. 5. P. 8030.
- Tian S., Guo R., Zou X., Zhang X., Yu X., Zhan Y., Ci D., Wang M., Wang Y., Si T. Priming with the green leaf volatile (Z)-3-hexeny-1-yl acetate enhances salinity stress tolerance in peanut (Arachis hypogaea L.) seedlings // Front. Plant Sci. 2019. V. 10. P. 785.
- Wasternack C., Song S. Jasmonates: biosynthesis, metabolism, and signaling by proteins activating and repressing transcription // J. Exp. Bot. 2017. V. 68. P. 1303. https:doi: 10.1093/jxb/erw443
- Rustgi S., Springer A., Kang C., Von Wettstein D., Reinbothe C., Reinbothe S., Pollmann S. Allene oxide synthase and hydroperoxide lyase, two non-canonical cytochrome P450s in Arabidopsis thaliana and their different roles in plant defense // Inter. J. Mol. Sci. 2019. V. 20. P. 3064. https:doi.org/10.3390/ijms20123064
- Wang R., Shen W., Liu L., Jiang L., Liu Y., Su N., Wan J. A novel lipoxygenase gene from developing rice seeds confers dual position specificity and responds to wounding and insect attack // Plant Mol. Biol. 2008. V. 66. P. 401. https:doi: 10.1007/s11103-007-9278-0
- Mochizuki S., Sugimoto K., Koeduka T., Matsui K. Arabidopsis lipoxygenase 2 is essential for formation of green leaf volatiles and five-carbon volatiles // FEBS Letters. 2016. V. 590. P. 1017. https:febs.onlinelibrary.wiley.com/doi/abs/10.1002/ 1873-3468.12133
- Toporkova Y.Y., Askarova E.K., Gorina S.S., Mukhtarova L.S., Grechkin A.N. Oxylipin biosynthesis in spikemoss Selaginella moellendorffii: Identification of allene oxide synthase (CYP74L2) and hydroperoxide lyase (CYP74L1) // Phytochem. 2022. V. 195. P. 113051. https:doi.org/10.1016/j.phytochem.2021.113051
- Lee D.S., Nioche P., Hamberg M., Raman C.S. Structural insights into the evolutionary paths of oxylipin biosynthetic enzymes // Nature. 2008. V. 455. P. 363. https:doi: 10.1038/nature07307
- Grechkin A.N., Hamberg M. The “heterolytic hydroperoxide lyase” is an isomerase producing a short-lived fatty acid hemiacetal // Biochim. Biophys. Acta. 2004. V. 1636. P. 47. https:doi.org/10.1016/j.bbalip.2003.12.003
- Zimmerman D.C., Coudron C.A. Identification of traumatin, a wound hormone, as 12-oxo-trans-10-dodecenoic acid // Plant Physiol. 1979. V. 63. P. 536.
- Kunishima M., Yamauchi Y., Mizutani M., Kuse M.,Takikawa H.,Sugimoto Y. Identification of (Z)-3:(E)-2-hexenal isomerases essential to the production of the leaf aldehyde in plants // J. Biolog. Chem. 2016. V. 291. P. 14023. https:doi.org/10.1074/jbc.M116.726687
- Tanaka T., Ikeda A., Shiojiri K., Ozawa R., Shiki K., Nagai-Kunihiro N., Fujita K., Sugimoto K., Yamato K.T., Dohra H. Identification of a hexenal reductase that modulates the composition of green leaf volatiles // Plant Physiol. 2018. V. 178. P. 552. https:doi.org/10.1104/pp.18.00632
- D’Auria J.C., Pichersky E., Schaub A., Hansel A., Gershenzon J. Characterization of a BAHD acyltransferase responsible for producing the green leaf volatile (Z)-3-hexen-1-yl acetate in Arabidopsis thaliana // Plant J. 2007. V. 49. P. 194. https:doi.org/10.1111/j.1365-313X.2006.02946.x
- Matsui K., Sugimoto K., Mano J.i., Ozawa R., Takabayashi J. Differential metabolisms of green leaf volatiles in injured and intact parts of a wounded leaf meet distinct ecophysiological requirements // PloS One. 2012. V. 7. P. e36433. https:doi.org/10.1371/journal.pone.0036433
- Chehab E.W., Kaspi R., Savchenko T., Rowe H., Negre-Zakharov F., Kliebenstein D., Dehesh K. Distinct roles of jasmonates and aldehydes in plant-defense responses // PLoS One. 2008. V. 3. P. e1904. https:doi.org/10.1371/journal.pone.0001904
- Degtyaryov E., Pigolev A., Miroshnichenko D., Frolov A., Basnet A.T., Gorbach D., Leonova T., Pushin A.S., Alekseeva V., Dolgov S., Savchenko T. 12-Oxophytodienoate reductase overexpression compromises tolerance to Botrytis cinerea in hexaploid and tetraploid wheat // Plants. 2023. V. 12. P. 2050. https:www.mdpi.com/2223-7747/12/10/2050
- Pigolev A.V., Miroshnichenko D.N., Pushin A.S., Terentyev V.V., Boutanayev A.M., Dolgov S.V., Savchenko T.V. Overexpression of Arabidopsis OPR3 in hexaploid wheat (Triticum aestivum L.) alters plant development and freezing tolerance // Inter. J. Mol. Sci. 2018. V. 19. P. 3989. https:www.mdpi.com/1422-0067/19/12/3989
- Savchenko T., Pearse I.S., Ignatia L., Karban R., Dehesh K. Insect herbivores selectively suppress the HPL branch of the oxylipin pathway in host plants // Plant J. 2013. V. 73. P. 653. https:onlinelibrary.wiley.com/doi/abs/10.1111/tpj.12064
- Bligh E., Dyer W.J. A rapid method of total lipid extraction and purification // J. Biochem. Physiol. 1959. V. 37. P. 911.
- Krivina E.S., Savchenko T.V., Tebina E.M., Shatilovich A.V., Temraleeva A.D. Morphology, phylogeny and fatty acid profiles of Meyerella similis from freshwater ponds and Meyerella krienitzii sp. nov. from soil (Trebouxiophyceae, Chlorophyta) // J. Appl. Phycol. 2023. V. 35. P. 2295. https:doi.org/10.1007/s10811-023-03038-4
- Cerezo S., Hernández M.L., Palomo-Ríos E., Gouffi N., García-Vico L., Sicardo M.D., Sanz C., Mercado J.A., Pliego-Alfaro F., Martínez-Rivas J.M. Modification of 13-hydroperoxide lyase expression in olive affects plant growth and results in altered volatile profile // Plant Sci. 2021. V. 313. P. 111083. https:doi.org/10.1016/j.plantsci.2021.111083
- Piesik D., Wenda-Piesik A., Lamparski R., Tabaka P., Ligor T., Buszewski B. Effects of mechanical injury and insect feeding on volatiles emitted by wheat plants // Entomologica Fennica. 2010. V. 21. P. 117. https:doi.org/10.33338/ef.84521
- Ullah S., Khan M.N., Lodhi S.S., Ahmed I., Tayyab M., Mehmood T., Din I.U., Khan M., Sohail Q., Akram M. Targeted metabolomics reveals fatty acid abundance adjustments as playing a crucial role in drought-stress response and post-drought recovery in wheat // Front. Genetics. 2022. V. 13. P. 972696. https:doi.org/10.3389/fgene.2022.972696
- Cavalheiro C.V., Picoloto R.S., Cichoski A.J., Wagner R., de Menezes C.R., Zepka L.Q., Da Croce D.M., Barin J.S. Olive leaves offer more than phenolic compounds – Fatty acids and mineral composition of varieties from Southern Brazil // Industrial Crops and Products. 2015. V. 71. P. 122. https:www.sciencedirect.com/science/article/pii/S0926669015002447
- Engelberth J., Engelberth M. Variability in the capacity to produce damage-induced aldehyde green leaf volatiles among different plant species provides novel insights into biosynthetic diversity // Plants. 2020. V. 9. P. 213. https:www.mdpi.com/2223-7747/9/2/213
- Tong X., Qi J., Zhu X., Mao B., Zeng L., Wang B., Li Q., Zhou G., Xu X., Lou Y., He Z. The rice hydroperoxide lyase OsHPL3 functions in defense responses by modulating the oxylipin pathway // Plant J.: For Cell Mol. Biol. 2012. V. 71. P. 763. https:doi.org/10.1111/j.1365-313X.2012.05027.x
- Nilsson A.K., Fahlberg P., Johansson O.N., Hamberg M., Andersson M.X., Ellerström M. The activity of HYDROPEROXIDE LYASE 1 regulates accumulation of galactolipids containing 12-oxo-phytodienoic acid in Arabidopsis // J. Exp. Bot. 2016. V. 67. P. 5133. https:doi.org/10.1093/jxb/erw278
- Savchenko T., Kolla V.A., Wang C.Q., Nasafi Z., Hicks D.R., Phadungchob B., Chehab W.E., Brandizzi F., Froehlich J., Dehesh K. Functional convergence of oxylipin and abscisic acid pathways controls stomatal closure in response to drought // Plant Physiol. 2014. V. 164. P. 1151. https:doi.org/10.1104/pp.113.234310
- Engelberth J., Seidl-Adams I., Schultz J.C., Tumlinson J.H. Insect elicitors and exposure to green leafy volatiles differentially upregulate major octadecanoids and transcripts of 12-oxo- phytodienoic acid reductases in Zea mays // Mol. Plant-Microbe Interact. 2007. V. 20. P. 707. https:doi.org/10.1094/MPMI-20-6-0707
- Jiang Y., Ye J., Li S., Niinemets Ü. Methyl jasmonate-induced emission of biogenic volatiles is biphasic in cucumber: a high-resolution analysis of dose dependence // J. Exp. Bot. 2017. V. 20. P. 4679. https:doi: 10.1093/jxb/erx244
- Wang Y., Liu M., Ge D., Akhter Bhat J., Li Y., Kong J., Liu K., Zhao T. Hydroperoxide lyase modulates defense response and confers lesion-mimic leaf phenotype in soybean (Glycine max (L.) Merr.) // Plant J. 2020. V. 104. P. 1315. https:doi.org/10.1111/tpj.15002
Supplementary files







