Определение полифенольного комплекса в Reynoutria japonica Houtt. методом тандемной масс-спектрометрии
- Authors: Разгонова М.П.1, Черевач E.И.2, Кириленко Н.С.1, Демидова E.Н.1, Голохваст К.С.3
-
Affiliations:
- Федеральное государственное бюджетное научное учреждение “Федеральный исследовательский центр Всероссийский институт генетических ресурсов растений им. Н.И. Вавилова”
- Федеральное государственное автономное образовательное учреждение высшего образования “Дальневосточный федеральный университет”
- Федеральное государственное бюджетное научное учреждение “Сибирский федеральный научный центр агробиотехнологий Российской академии наук”
- Issue: Vol 71, No 4 (2024)
- Pages: 465-474
- Section: ЭКСПЕРИМЕНТАЛЬНЫЕ СТАТЬИ
- URL: https://ogarev-online.ru/0015-3303/article/view/268145
- DOI: https://doi.org/10.31857/S0015330324040093
- EDN: https://elibrary.ru/MNKJXI
- ID: 268145
Cite item
Full Text
Abstract
Целью данной работы являлось уточнение метаболомного состава экстрактов, в частности наличие полифенольного комплекса в экстрактах лекарственного растения Reynoutria japonica Houtt., принадлежащего к семейству Polygonaceae. Для идентификации целевых аналитов в экстрактах использовалась тандемная масс-спектрометрия листьев и стеблей. Всего идентифицировано 31 химическое соединение, из них 18 соединений представляют полифенольный комплекс. В приложение к идентифицированным вторичным метаболитам некоторые соединения были обнаружены впервые, в частности полифенольные соединения: дигидрохалкон аспалатин, кумарин умбеллиферон, лигнан сирингарезинол, а также флавоны формононетин и гарденин Б.
Full Text
Введение
Лекарственное растение рейнутрия японская (Reynoutria japonica Houtt., Polygonum cuspidatum Siebold & Zucc.) принадлежит к семейству Polygonaceae. Это многолетнее растение высотой 1–3 м, широко распространенное на Дальнем Востоке России, в Южной Корее, Японии, Китае, Северной Америке и Европе [1]. R. japonica представляет собой богатый источник функциональных метаболитов, ее нежный стебель используется в повседневных продуктах питания [2], а корни – в качестве красителя для риса. Кроме того, корень этого растения традиционно используется в качестве лекарственного средства при лечении воспалений, инфекций, желтухи, ожогов кожи, хронического бронхита и гиперлипидемических заболеваний [3]. Из R. japonica было выделено большое количество вторичных метаболитов, включая хиноны, стильбены, флавоноиды, кумарины и другие полифенольные соединения. Известно, что эти функционально важные фитохимические вещества обладают противовоспалительной, противораковой, противовирусной и антибактериальной активностью [3, 4].
Нафтохиноны – это вторичные метаболиты, обнаруженные в растениях и обладающие множеством интересных биологических свойств. Многие из 1,4-нафтохинонов, особенно 5-гидрокси-1,4-нафтохинон (юглон) и его производные, проявляют мощную биологическую активность, включая антибактериальную, противогрибковую и противовирусную, антиагрегантное, противодиабетическое, противоопухолевое и цитотоксическое действие [4]. Известно, что 1,4-нафтохиноны природного происхождения или близкородственные химические вещества используются в качестве антибиотиков или химиотерапевтических средств. В работе Khalil с соавт. [5] сообщалось о химической структуре и активности против Helicobacter pylori пяти антрахинонов, двух стильбенов и производного 1,4-нафтохинона из корневой части R. japonica. Среди изолятов юглон, 2-метокси-6-ацетил-7-метилюглон, проявлял выраженную антибактериальную активность как природное соединение. Ингибирующая активность была самой высокой среди известных производных юглона [6].
Цель работы – одновременная оценка присутствия как фенольных соединений в экстрактах листьев и стеблей R. japonica, так и соединений других химических классов. Начальный метаболомный анализ показал наличие 30 биоактивных соединений, обнаруженных в представленных экстрактах R. japonica. Метаболомный анализ был осуществлен методом многомерной тандемной масс-спектрометрии для 6 экстрактов стеблей и листьев R. japonica.
Материалы и методы
Объект исследования. В качестве объекта исследований использовались шесть образцов Reynoutria japonica Houtt., представленных в коллекции Федерального научного центра агробиотехнологий Дальнего Востока им. А.К. Чайки. Все образцы собраны в июне-июле 2023 г. Образцы хранились в морозильной камере при температуре –15°С не более 1 недели до начала экспериментов. Все образцы соответствовали морфологическим стандартам Фармакопеи Евразийского экономического союза [7].
Дробная мацерация. Для получения высококонцентрированных экстрактов применяли метод фракционной мацерации. Для мацерации случайным образом отбирали около 200 г отдельно листьев и отдельно стеблей R. japonica. Общее количество экстрагента (этилового спирта х.ч., 96%) делили на три равные части и последовательно настаивали листья и стебли растения первой, второй и третьей частями. Соотношение твердого вещества и растворителя составляло 1 : 15. Настаивание каждой части экстрагента проводили в течение 7 дней при комнатной температуре.
Высокоэффективная жидкостная хроматография. Для выполнения разделения многокомпонентных смесей использовался жидкостный хроматограф высокого давления Shimadzu LC-20 Prominence HPLC (Shimadzu, Япония), оборудованный UV-детектором и обращенно-фазовой колонкой Shodex ODP-40 4E (250 × 4.6, размер частиц 4 мкм). Элюировали в градиенте от воды к ацетонитрилу (А): 0–4 мин – 0% А; 4–60 мин – 25% А; 60–75 мин – 100% А; 75–120 мин – 100% А, скорость потока составляла 0.5 мл/мин. ВЭЖХ-анализ проведен при помощи UV-VIS-детектора SPD-20A (Kanda-Nishikicho 1-chrome, Shimadzu, Chiyoda-ku, Tokyo, Япония) при длинах волн 230 нм и 330 нм, температура 50°С. Объем загрузочной петли составлял 200 мкл.
Тандемная масс-спектрометрия. Масс-спектрометрические данные получены с помощью ионной ловушки amaZon SL (Bruker Daltoniks, Германия), оснащенной источником ионизации электрораспылением в режимах отрицательных и положительных ионов. Оптимизированные параметры получены следующим образом: температура источника ионизации – 70°С, поток газа – 4 л/мин, газ-небилайзер (распылитель) – 7.3 psi, капиллярное напряжение – 4500 В, напряжение на изгибе торцевой пластины – 1500 В, фрагментатор – 280 В, энергия столкновения – 60 eВ. Масс-спектрометр использовался в диапазоне сканирования m/z 100 – 1.700 для MС и МС/МС. Произведена фрагментация 4 порядка. Идентификация химических компонентов проводилась путем сравнения их индекса удерживания, масс-спектров и фрагментации МС с базой данных домашней библиотеки, созданной Группой биотехнологий, биоинженерии и пищевых систем “Передовые инженерные школы” Дальневосточного федерального университета (Россия) на основе данных других спектроскопических методов, таких как ядерный магнитный резонанс, ультрафиолетовая спектроскопия и МС, а также сравнения полученных экспериментальных данных с известными научными результатами, опубликованными в открытой научной литературе, которые постоянно обновляются и пересматриваются.
Результаты и их обсуждение
Уточнение состава вторичных метаболитов является чрезвычайно важной задачей в общей системе биохимического анализа. В данной работе был использован метод ВЭЖХ-MС/MС с электрораспылительной ионизацией и анализом фрагментированных ионов. Ниже представлен график, показывающий распределение плотности выхода биологически активных веществ при тандемной масс-спектрометрии анализируемых целевых аналитов экстракта R. japonica (рис. 1). Всего на ионных хроматограммах было обнаружено 300 пиков выделенных целевых аналитов. Для простоты идентификации составлена унифицированная таблица молекулярных масс целевых аналитов, выделенных из экстрактов отдельно листьев и отдельно стеблей R. japonica (табл. 1). При масс-спектрометрическом анализе было предварительно идентифицировано 18 соединений полифенольной группы и 13 соединений других химических групп. Полифенольные соединения, представленные в табл. 1, охватывают практически все классы полифенолов: флавоны, флаванолы, антоцианиновая группа, гидроксибензойные и гидроксикоричные кислоты, халконы, кумарины, лигнаны и т.д.
Таблица 1. Унифицированная системная таблица целевых соединений, выделенных из экстрактов листьев и стеблей Reynoutria japonica
№ | Класс соединений | Соединение | Химическая формула | Мол. м., Д | tR | Ион-аддукт | Фрагментация | Источники | |||
[M+H]+ | [M-H]– | МС/МС 1 порядка | МС/МС 2 порядка | МС/МС 3 порядка | |||||||
Полифенольные соединения | |||||||||||
1 | Флавоны | Формононетин | C16H12O4 | 268.26 | 7.1 | 269.29 | 213.22 | 196.21 | 167.13 | Huolisu Oral Liquid [10]; Chinese herbal formula Jian-Pi-Yi-Shen pill [11] | |
2 | Флавоны | Гарденин Б | C19H18O7 | 358.34 | 42.4 | 359.27 | 326.14 | 298.17 | 283.14 | ||
3 | Флавонолы | Кверцетин | C15H10O7 | 302.23 | 8.0 | 303.15 | 257.15 | 229.08 | 161.19 | Propolis [13] | |
4 | Флавонолы | Кверцитрин [Кверцетин-рамнозид] | C21H20O11 | 448.37 | 7.4 | 447.38 | 301.18 | 179.19; 271.17 | 151.18 | ||
5 | Флавонолы | Рамнозилгексозил-метилкверцетин | C26H28O17 | 612.49 | 49.0 | 613.68 | 595.6 | 521.59; 315.26; 185.15 | 503.54; 393.47; 173.14 | Phoenix dactylifera [19] | |
6 | Флаваноны | Пиносембрин | C15H12O4 | 256.25 | 42.1 | 257.1 | 210.22 | 182.14 | Propolis [13]; Punica granatum [20] | ||
7 | Флаваноны | Аромадендрин [Дигидрокемпферол] | C15H12O6 | 288.25 | 35.2 | 289.17 | 271.15 | 243.17 | 185.15 | Phoenix dactylifera [19]; Juglans mandshurica [16]; F. glaucescens [21] | |
8 | Флаваноны | Пиностромбин | C16H14O4 | 270.28 | 40.3 | 271.16 | 229.13 | 201.15 | 173.13 | Propolis [13]; Jatropha gossypifolia [22] | |
9 | Метилированные флавоноиды | Артеметин | C20H20O8 | 388.36 | 39.6 | 389.27 | 356.21 | 341.16 | 312.03 | Pubchem | |
10 | Флавоноид | Полигалин А | C23H24O11 | 476.43 | 42.5 | 477.42 | 458.36; 335.32; 155.15 | 413.87; 261.32 | 261.21; 163.17 | Polygala japonica [23]; P. sibirica [24] | |
11 | Антоцианины | Дельфинидин | C15H11O7 | 303.24 | 25.1 | 303.18 | 257.14; 165.14 | 229.16 | 201.13; 145.14 | A. cordifolia [21] | |
12 | Гидроксикоричная кислота | Кофейная кислота | C9H8O4 | 180.15 | 31.9 | 181.18 | 163.2 | 145.25 | 117.2 | Vaccinium myrtillus [8] | |
13 | Гидроксикоричная кислота | 3,4-дигидрокси-коричная кислота | C9H10O4 | 182.17 | 31.5 | 183.1 | 153.23 | 127.15 | 114.33 | ||
14 | Гидроксибензойная кислота | Эллаговая кислота | C14H6O8 | 302.19 | 8.0 | 303.15 | 257.15 | 229.08 | 161.19 | ||
15 | Гидроксикоричная кислота | Хлорогеновая кислота | C16H18O9 | 354.31 | 19.7 | 355.11 | 163.13 | 145.16 | 117.13 | ||
16 | Дигидрохалкон | Аспалатин | C21H24O11 | 452.41 | 25.1 | 453.48 | 435.44; 336.35; 227.28 | 336.34; 226.30 | 209.28 | ||
17 | Кумарины | Умбеллиферон | C9H6O3 | 162.14 | 8.8 | 163.17 | 145.15 | 117.11 | F. glaucescens [21]; Actinidia [28]; Zostera marina [29] | ||
18 | Лигнан | Сирингарезинол | C22H26O8 | 418.44 | 8.4 | 419.25 | 326.08; 401.24; 165.11 | 298.11 | 252.10; 154.21 | Magnolia [30]; Lignans [31] | |
Соединения других химических групп | |||||||||||
19 | Аминокислоты | L-Глутаминовая кислота | C5H7NO4 | 145.11 | 7.6 | 146.1 | 127.19 | ||||
20 | Аминокислоты | Теанин | C7H14N2O3 | 174.19 | 10.9 | 175.13 | 157.07 | Camellia kucha [34] | |||
21 | Хромоны | Альтехромон А | C11H10O3 | 190.19 | 7.8 | 191.12 | 150.05 | Chinese herbal formula Jian-Pi-Yi-Shen pill [11] | |||
22 | Омега-5 жирная кислота | Миристолеиновая кислота | C14H26O2 | 226.36 | 9.3 | 227.23 | 209.25 | 139.21 | 110.26 | ||
23 | Антрахинон | 1,4,8-Тригидрокси-антрахинон | C14H8O5 | 256.21 | 41.2 | 257.1 | 210.18 | 181.93 | 181.14 | Juglans mandshurica [16] | |
24 | Антрахинон | Emodin [6-Methyl-1,3,8-trihydroxy-anthraquinone] | C15H10O5 | 270.24 | 40.3 | 271.16 | 229.13 | 201.15 | 173.13 | Chinese herbal formula Jian-Pi-Yi-Shen pill [11]; R. japonica (Polygonum cuspidatum) [14]; Reynoutria [15] | |
25 | Омега-3 жирная кислота | Линоленовая кислота | C18H30O2 | 278.42 | 37.8 | 279.25 | 219.16 | 159.09 | 178.67 | ||
26 | Ненасыщенная жирная кислота | Оксо-эйкозатетраеновая кислота | C20H30O3 | 318.45 | 39.5 | 319.4 | 300.39; 119.30 | 282.35 | 264.25 | F. potsii [21] | |
27 | Полисахариды | Фруктозо-1,6-бисфосфат | C6H10O12P2 | 336.08 | 10.9 | 337.07 | 277.06 | 233.99 | |||
28 | Тритерпеноиды | Уваол | C30H50O2 | 442.72 | 36.0 | 443.7 | 425.36; 175.27 | 367.33; 174.72 | 117.2 | F. herrerae [21] | |
29 | Сесквитерпеновый алкалоид | Сеспендол | C33H45NO4 | 519.71 | 45.6 | 520.47 | 184.15; 502.48 | 125.13 | Hylosereus polyrhizus [37] | ||
30 | Иридоиды | п-Кумарил монотропеин гексозид | C37H62O12 | 698.88 | 38.6 | 699.54 | 537.45; 347.20; 203.16 | 375.30; 259.10 | Vaccinium myrtillus [38] | ||
31 | Продукт деградации хлорофилла | Феофитин A | C55H74N4O5 | 871.2 | 48.6 | 872.1 | 593.46 | 533.41 | 461.36 | Physalis peruviana [39] | |
Примечание. tR – время удерживания, t (мин).
Рис. 1. Распределение плотности выхода биологически активных веществ при тандемной масс-спектрометрии анализируемых целевых аналитов экстракта Reynoutria japonica.
На рис. 1 и 2 представлены распределение плотности выхода биологически активных веществ при тандемной масс-спектрометрии анализируемых целевых аналитов экстракта и распределенный график тандемной масс-спектрометрии анализируемых целевых аналитов экстракта R. japonica, представленный ионной хроматограммой. Впервые в экстрактах R. japonica обнаружены следующие полифенольные соединения: дигидрохалкон аспалатин, кумарин умбеллиферон, лигнан сирингарезинол, а также флавоны формононетин и гарденин Б.
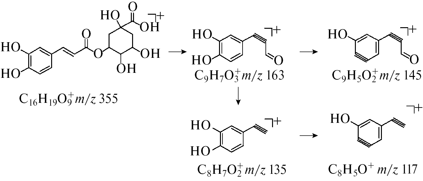
Рис. 2. Масс-спектр хлорогеновой кислоты из экстракта листьев Reynoutria japonica. Вверху МС-скан в диапазоне 100–1700 m/z, внизу спектры фрагментации (сверху-вниз): МС2 протонированного иона хлорогеновой кислоты (355.11 m/z, красный ромб), МС3 фрагмента 355.11→163.13 m/z и МС4 фрагмента 355.19→163.13→145.16 m/z.
На рис. 2–5 представлены масс-спектры, полученные методом тандемной масс-спектрометрии, и расшифровка выделенных химических соединений из экстрактов R. japonica. Масс-спектр хлорогеновой кислоты из экстракта листьев R. japonica представлен на рис. 2. [M + H]+ ион-аддукт продуцирует один фрагментарный ион с m/z 163.13 (рис. 2). В свою очередь фрагментарный ион с m/z 163.13 продуцирует дочерний ион с m/z 145.16, который далее фрагментирует ион с m/z 117.13. Данное соединение идентифицировано, согласно полученной фрагментации, как хлорогеновая кислота, что подтверждается подобными фрагментациями указанного химического соединения в следующих растительных матрицах: Vaccinium myrtillus [8] и Ribes magellanicum [9].
Путь фрагментации молекулы хлорогеновой кислоты, выраженный в структурных формулах, представлен ниже на рис. 3. Данный путь фрагментации, представленный в структурных формулах, практически полностью совпадает с масс-спектром хлорогеновой кислоты, представленным на рис. 2. Масс-спектр флавона формононетина из экстракта стеблей R. japonica представлен на рис. 4. [M + H]+ ион продуцирует один фрагментарный ион при m/z 213.22 (рис. 4). Фрагментарный ион при m/z 213.22 порождает один дочерний ион при m/z 196.21. Фрагментарный ион при m/z 196.21 продуцирует один дочерний ион при m/z 167.13. Это соединение идентифицировано по подобным фрагментациям в Huolisu Oral Liquid [10], Chinese herbal formula Jian-Pi-Yi-Shen pill [11].
Рис. 3. Путь фрагментации молекулы хлорогеновой кислоты.
Рис. 4. Масс-спектр формононетина из экстракта стеблей Reynoutria japonica. Вверху МС-скан в диапазоне 100–1700 m/z, внизу спектры фрагментации (сверху-вниз): МС2 протонированного иона формононетина (269.29 m/z, красный ромб), МС3 фрагмента 269.29→213.22 m/z и МС4 фрагмента 269.29→213.22→196.21 m/z.
Масс-спектр флавонола кверцитрина из экстракта листьев R. japonica представлен на рис. 5. [M – H]- ион продуцирует один фрагментарный ион при m/z 301.18 (рис. 5). Фрагментарный ион при m/z 301.18 порождает два дочерних иона при m/z 271.17 и m/z 179.19. В фрагментации четвертого порядка присутствует один дочерний ион с m/z 151.18. Это соединение предположительно идентифицировано как кверцитрин по похожей фрагментации данного химического соединения в Euphorbia hirta [12], Propolis [13].
Рис. 5. Масс-спектр кверцитрина из экстракта листьев Reynoutria japonica. Вверху МС-скан в диапазоне 100–1700 m/z, внизу спектры фрагментации (сверху-вниз): МС2 протонированного иона кверцитрина (447.38 m/z, красный ромб), МС3 фрагмента 447.38→301.18 m/z и МС4 фрагмента 447.38→301.18→179.19 m/z.
На рис. 6 представлена диаграмма Венна, которая обобщает масс-спектрометрические исследования, представленные выше в табл. 1, и наглядно показывает совпадения и расхождения в обнаруженных химических соединениях отдельно в листьях и стеблях R. japonica. На диаграмме Венна (рис. 6) показано, что присутствует большая степень схожести по химическим соединениям в листьях и стеблях R. japonica. Данные диаграммы Венна расшифрованы в табл. 2, представляющей присутствие тех или иных химических соединений в стеблях и листьях, или отдельно в стеблях и отдельно в листьях.
Рис. 6. Диаграмма Венна предварительно идентифицированных химических соединений Reynoutria japonica.
Таблица 2. Присутствие химических соединений в листьях и стеблях Reynoutria japonica
Исследуемые объекты | Химические соединения |
Листья Стебли | Аспалатин; 3,4-дигидроксигидрокоричная кислота; Феофитин A; Миристоленовая кислота; Сеспендол; Линоленовая кислота; Кверцитрин; Фруктоза-1,6-бифосфат; L-теанин; |
Листья | Уваол; Кофеиновая кислота; Дигидрокемпферол; 1,4,8-тригидроксиантрахинон; Полигалин А; Сирингарезинол; Оксо-эйкозатетраеновая кислота; Кверцетин; Дельфинидин; Умбеллиферон; Рамносилгексозил-метил-кверцитин; п-кумарил-монотропеин гексозид; Пиносембрин; Пиностромбин; Хлорогеновая кислота; Эллаговая кислота |
Стебли | Альтехромон A; Артеметин; Формононетин; Гарденин Б |
Из табл. 2 можно заключить, что 9 выявленных химических соединений встречаются как в экстрактах листьев, так и в экстрактах стеблей растений R. japonica. Это химические соединения: аспалатин, 3,4-дигидроксигидрокоричная кислота, феофитин A, миристоленовая кислота, сеспендол, линоленовая кислота, кверцитрин, фруктоза-1,6-бифосфат, L-теанин. 17 химических соединений, в основном это полифенольные соединения, встречаются только в экстрактах листьев растений и 4 химических соединения встречаются только в экстрактах стеблей растений. Предварительный масс-спектрометрический анализ показал, что листья R. japonica гораздо богаче по полифенольному составу, нежели стебли растения.
Антрахиноны эмодин, эмодин-8-О-глюкозид, а также емодин-8-О-(6’-О-малонил)-глюкозид ранее были обнаружены и идентифицированы у изученных видов R. japonica, R. sachalinensis, R. bohemica с помощью масс-спектрометрического анализа [14, 15] В данных соединениях наиболее распространены ионы-продукты при m/z 269 [M – H-162] (из-за потери глюкозильного фрагмента), что характерно для эмодина. Соединение 1,4,8-тригидрокси-антрахинон также было охарактеризовано впервые в данном исследовании (рис. 7). Здесь депротонированная молекула при m/z 256 [M + H]+ для соединения 23 показала наиболее распространенный ион-продукт при m/z 210 [M + H – 46]+ и ион-продукт при m/z 181 [M + H – 46 – 29]+, что соответствует характеру фрагментации 1,4,8 – тригидрокси-антрахинона, ранее выявленного в Juglans mandshurica [16]. Следующим антрахиноном, идентифицированным во всех экстрактах, был эмодин (соединение 24) из-за его характерного УФ-спектра и фрагментации (наиболее распространенный ион-продукт при m/z 229 и меньшие ионы-продукты при m/z 201 и 173).
Рис. 7. Масс-спектр 1,4,8 – тригидрокси-антрахинона из экстракта листьев Reynoutria japonica. Вверху МС-скан в диапазоне 100–1700 m/z, внизу спектры фрагментации (сверху-вниз): МС2 протонированного иона 1,4,8 – тригидрокси-антрахинона (256.17 m/z, красный ромб), МС3 фрагмента 256.17→210.18 m/z и МС4 фрагмента 256.17→210.18→181.93 m/z.
На основании литературных данных (Chinese herbal formula Jian-Pi-Yi-Shen pill [11], R. japonica (Polygonum cuspidatum) [14], Reynoutria [15]) соединение 24 было предварительно идентифицировано как эмодин, данное соединение наблюдалось во всех экстрактах R. japonica. Масс-спектрометрические исследования других видов рейнутрии в научной литературе показали присутствие нафтохинона эмодина также в R. sachalinensis и R. bohemica [15].
Таким образом, экстракты из листьев и стеблей растения R. japonica содержат большое количество полифенольных соединений, а также и другие биологически активные вещества. В данной работе авторы впервые попытались сделать метаболомное исследование образцов растения R. japonica, полученной из дальневосточных образцов зон произрастания данного растения. В данном исследовании для идентификации целевых аналитов использовался метод тандемной масс-спектрометрии (ВЭЖХ в соединении с ионной ловушкой).
Результаты исследований показали присутствие 18 соединений полифенольного класса, соответствующих семейству Polygonaceae. В добавление к обнаруженным целевым соединениям некоторые соединения были обнаружены и предварительно идентифицированы впервые в данных сортообразцах R. japonica. Впервые в экстрактах R. japonica идентифицированы следующие полифенольные соединения: дигидрохалкон аспалатин, кумарин умбеллиферон, лигнан сирингарезинол, а также флавоны формононетин и гарденин Б. Полученные данные могут поддержать будущие исследования по производству различных фармацевтических и диетических добавок, содержащих экстракты растения R. japonica. Широкий спектр биологически активных соединений обеспечивает большие возможности для создания новых лекарственных и биологически активных добавок на основе экстрактов из семейства Polygonaceae.
Работа выполнена при финансовой поддержке Министерства науки и высшего образования Российской Федерации в рамках достижения результатов федерального проекта “Передовые инженерные школы” (Соглашение № 075-15-2022-1143 от 07.07.2022).
Настоящая статья не содержит каких-либо исследований с участием людей и животных в качестве объектов. Авторы заявляют об отсутствии конфликта интересов.
About the authors
М. П. Разгонова
Федеральное государственное бюджетное научное учреждение “Федеральный исследовательский центр Всероссийский институт генетических ресурсов растений им. Н.И. Вавилова”
Author for correspondence.
Email: m.razgonova@vir.nw.ru
Russian Federation, Санкт-Петербург
E. И. Черевач
Федеральное государственное автономное образовательное учреждение высшего образования “Дальневосточный федеральный университет”
Email: m.razgonova@vir.nw.ru
Передовая инженерная школа “Институт биотехнологий, биоинженерии и пищевых систем”
Russian Federation, ВладивостокН. С. Кириленко
Федеральное государственное бюджетное научное учреждение “Федеральный исследовательский центр Всероссийский институт генетических ресурсов растений им. Н.И. Вавилова”
Email: m.razgonova@vir.nw.ru
Russian Federation, Санкт-Петербург
E. Н. Демидова
Федеральное государственное бюджетное научное учреждение “Федеральный исследовательский центр Всероссийский институт генетических ресурсов растений им. Н.И. Вавилова”
Email: m.razgonova@vir.nw.ru
Russian Federation, Санкт-Петербург
К. С. Голохваст
Федеральное государственное бюджетное научное учреждение “Сибирский федеральный научный центр агробиотехнологий Российской академии наук”
Email: m.razgonova@vir.nw.ru
Russian Federation, Краснообск
References
- Shan B., Cai Y.Z., Brooks J.D., Cork H. Antibacterial properties of Polygonum cuspidatum roots and their major bioactive constituents // Food Chem. 2008. V. 109. P. 530. https://doi.org/10.1016/j.foodchem.2007.12.064
- Kirino A., Takasuka Y., Nishi A., Kawabe S., Yamashita H., Kimoto M., Ito H., Tsuji H. Analysis and functionality of major polyphenolic components of Polygonum cuspidatum // J. Nutr. Sci. Vitaminol. 2012. V. 58. P. 278.
- Peng W., Qin R., Li X., Zhou H. Botany, phytochemistry, pharmacology, and potential application of Polygonum cuspidatum Sieb. et Zucc.: a review // J. Ethnopharmacol. 2013. V. 148. P. 729. https://doi.org/10.1016/j.jep.2013.05.007
- Jin M., Sun J., Li R., Diao S., Zhang C., Cui J., Son J.K., Zhou W., Li G. Two new quinones from the roots of Juglans mandshurica // Arch. Pharm. Res. 2016. V. 39. P. 1237. https://doi.org/10.1007/s12272-016-0781-1
- Khalil A.A.K., Park W.S., Kim H.J., Akter K.M., Ahn M.J. Anti-Helicobacter pylori compounds from Polygonum cuspidatum // Nat. Prod. Sci. 2016. V. 22. P. 220. https://dx.doi.org/10.20307/nps.2016.22.3.220
- Khalil A.A.K., Park W.S., Lee J., Kim H.J., Akter K.-M., Goo Y.-M., Bae J.-Y., Chun M.-S., Kim J.-H., Ahn M.-J. A new anti-Helicobacter pylori juglone from Reynoutria japonica // Arch. Pharm. Res. 2019. V. 42. P. 505. https://doi.org/10.1007/s12272-019-01160-x
- Фармакопея Евразийского экономического союза. Утверждена Решением Коллегии Евразийской экономической комиссии от 01 августа 2020 г., № 100.
- Liu P., Lindstedt A., Markkinen N., Sinkkonen J., Suomela J., Yang B. Characterization of metabolite profiles of leaves of bilberry (Vaccinium myrtillus L.) and lingonberry (Vaccinium vitis-idaea L.) // J. Agric. Food Chem. 2014. V. 62. P. 12015. https://doi.org/10.1021/jf503521m
- Burgos-Edwards A., Jimenez-Aspee F., Theoduloz C., Schmeda-Hirschmann G. Colonic fermentation of polyphenols from Chilean currants (Ribes spp.) and its effect on antioxidant capacity and metabolic syndrome-associated enzymes // Food Chem. 2018. V. 30. P. 144. https://doi.org/10.1016/j.foodchem.2018.03.053
- Yin Y., Zhang K., Wei L., Chen D., Chen Q., Jiao M., Li X., Huang J., Gong Z., Kang N., Li F. The molecular mechanism of antioxidation of Huolisu oral liquid based on serum analysis and network analysis // Front. Pharmacol. 2021. V. 12. P. 710976. https://doi.org/10.3389/fphar.2021.710976
- Wang F., Huang S., Chen Q., Hu Z., Li Z., Zheng P., Liu X., Li S., Zhang S., Chen J. Chemical characterisation and quantification of the major constituents in the Chinese herbal formula Jian-Pi-Yi-Shen pill by UPLC-Q-TOF-MS/MS and HPLC-QQQ-MS/MS // Phytochem. Analys. 2020. V. 31. P. 915. https://doi.org/10.1002/pca.2963
- Mekam P.N., Martini S., Nguefack J., Tagliazucchi D., Stefani E. Phenolic compounds profile of water and ethanol extracts of Euphorbia hirta L. leaves showing antioxidant and antifungal properties // S. Afr. J. Bot. 2019. V. 127. P. 319. https://doi.org/10.1016/j.sajb.2019.11.001
- Belmehdi O., Bouyahya A., Jeko J., Cziaky Z., Zengin G., Sotkó G., El Baaboua A., Senhaji N.S., Abrini J. Synergistic interaction between propolis extract, essential oils, and antibiotics against Staphylococcus epidermidis and methicillin resistant Staphylococcus aureus // Int. J. Second Metab. 2021. V. 8. P. 195. https://doi.org/10.21448/ijsm.947033
- Shan M.P., Cai, Y.-Z., Brooks J.D., Corke H. Antibacterial properties of Polygonum cuspidatum roots and their major bioactive constituents // Food Chem. 2008. V. 109. P. 530. https://doi.org/10.1016/j.foodchem.2007.12.064
- Nawrot-Hadzik I., Slusarczyk, S., Granica S., Hadzik J., Matkowski A. Phytochemical Diversity in Rhizomes of Three Reynoutria Species and their Antioxidant Activity Correlations Elucidated by LC-ESI-MS/MS Analysis // Molecules. 2019. V. 24. P. 1136. https://doi.org/10.3390/molecules24061136
- Huo J.-H., Du X.-W., Sun G.-D., Dong W.-T., Wang W.-M. Identification and characterization of major constituents in Juglans mandshurica using ultra performance liquid chromatography coupled with time-of-flight mass spectrometry (UPLC-ESI-Q-TOF/MS) // Chinese J. Nat. Medical. 2018. V. 16. P. 0525. https://doi.org/10.1016/s1875-5364(18)30089-X
- Xu L. L., Xu J. J., Zhong K. R., Shang Z. P., Wang F., Wang R.F., Liu B. Analysis of non-volatile chemical constituents of Menthae haplocalycis herba by ultra-high performance liquid chromatography-high resolution mass spectrometry // Molecules. 2017. V. 22. P. 1756. https://doi.org/10.3390/molecules22101756
- Pandey R., Kumar B. HPLC–QTOF–MS/MS-based rapid screening of phenolics and triterpenic acids in leaf extracts of Ocimum species and their interspecies variation // J. Liquid Chromatogr. & Related. 2016. V. 39. P. 225. https://doi.org/10.1080/10826076.2016.1148048
- Said R.B., Hamed A.I., Mahalel U.A., Al-Ayed A.S., Kowalczyk M., Moldoch J., Oleszek W., Stochmal A. Tentative characterization of polyphenolic compounds in the male flowers of Phoenix dactylifera by liquid chromatography coupled with mass spectrometry and DFT // Int. J. Mol. Sci. 2017. V. 18. P. 512. https://doi.org/10.3390/ijms18030512
- Mena P., Calani L., Dall’Asta C., Galaverna G., Garcia-Viguera C., Bruni R., Crozier A., Del Rio D. Rapid and comprehensive evaluation of (poly)phenolic compounds in pomegranate (Punica granatum L.) juice by UHPLC-MSn // Molecules. 2012. V. 17. P. 14821. https://doi.org/10.3390/molecules171214821
- Hamed A.R., El-Hawary S.S., Ibrahim R.M., Abdelmohsen U.R., El-Halawany A.M. Identification of chemopreventive components from halophytes belonging to Aizoaceae and Cactaceae through LC/MS – bioassay guided approach // J. Chrom. Sci. 2021. V. 59. P. 618. https://doi.org/10.1093/chromsci/bmaa112
- Zengin G., Mahomoodally M.F., Sinan K.I., Ak G., Etienne O.K., Sharmeen J.B., Brunetti L., Leone S., Di Simone S.C., Recinella L., Chiavaroli A., Menghini L., Orlando G., Jeko J., Cziaky Z. Chemical composition and biological properties of two Jatropha species: different parts and different extraction methods // Antioxidants. 2021. V. 10. P. 792. https://doi.org/10.3390/antiox10050792
- Li T.-Z., Zhang W.-D., Yang G.-J., Liu W.-Y., Liu R.-H., Zhang C., Chen H.-S. New flavonol glycosides and new xanthone from Polygala japonica // J. Asian Nat. Prod. Res. 2006. V. 8. P. 401.
- Song Yue-Lin, Zhou Guan-Shen, Zhou Si-Xiang, Jiang Y., Tu P.-F. Polygalins D–G, four new flavonol glycosides from the aerial parts of Polygala sibirica L. (Polygalaceae) // Nat. Prod. Res. 2013. V. 27. P. 1220.
- Pan M., Lei Q., Zang N., Zhang H. A Strategy based on GC-MS/MS, UPLC-MS/MS and virtual molecular docking for analysis and prediction of bioactive compounds in Eucalyptus Globulus leaves // Int. J. Mol. Sci. 2019. V. 20. P. 3875. https://doi.org/10.3390/ijms20163875
- Fan Z., Wang Y., Yang M., Cao J., Khan A., Cheng G. UHPLC-ESI-HRMS/MS analysis on phenolic compositions of different E Se tea extracts and their antioxidant and cytoprotective activities // Food Chem. 2020. V. 318: 126512. https://doi.org/10.1016/j.foodchem.2020.126512
- Fantoukh O.I., Wang Y.-H., Parveen M., Ali Z., Al-Hamoud G.A., Chittiboyina A.G., Joubert E., Viljoen A., Khan I.A. Chemical fingerprinting profile and targeted quantitative analysis of phenolic compounds from rooibos tea (Aspalathus linearis) and dietary supplements using UHPLC-PDA-MS // Separations. 2022. V. 9. P. 159. https://doi.org/10.3390/separations9070159
- Chen Y., Cai X., Li G., He X., Yu X., Yu X., Xiao Q., Xiang Z., Wang C. Chemical constituents of radix Actinidia chinensis planch by UPLC–QTOF–MS // Biomed. Chromatogr. 2021. V. 35: e5103. https://doi.org/10.1002/bmc.5103
- Razgonova M.P., Tekutyeva L.A., Podvolotskaya A.B., Stepochkina V.D., Zakharenko A.M., Golokhvast K.S. Zostera marina L. Supercritical CO2-extraction and mass spectrometric characterization of chemical constituents recovered from seagrass // Separations. 2022. V. 9. P. 182. https://doi.org/10.3390/separations9070182
- Guo K., Tong C., Fu Q., Xu J., Shi S., Xiao Y. Identification of minor lignans, alkaloids, and phenylpropanoid glycosides in Magnolia officinalis by HPLC-DAD-QTOF-MS/MS // J. Pharm. Biomed. Anal. 2019. V. 170. P. 153. https://doi.org/10.1016/j.jpba.2019.03.044
- Eklund P.C., Backman M. J., Kronberg L.A., Smeds A.I., Sjoholm R.E. Identification of lignans by liquid chromatography-electrospray ionization ion-trap mass spectrometry // J. Mass Spectrom. 2008. V. 43. P. 97. https://doi.org/10.1002/jms.1276
- Liu Y., Li M., Xu J., Liu X., Wang S., Shi L. Physiological and metabolomics analyses of young and old leaves from wild and cultivated soybean seedlings under low-nitrogen conditions // BMC Plant Biol. 2019. V. 19. P. 389. https://doi.org/10.1186/s12870-019-2005-6
- Cai Z., Wang C., Zou L., Liu X., Chen J., Tan M., Mei Y., Wei L. Comparison of multiple bioactive constituents in the flower and the caulis of Lonicera japonica based on UFLC-QTRAP-MS/MS combined with multivariate statistical analysis // Molecules. 2019. V. 24. P. 1936. https://doi.org/10.3390/molecules24101936
- Qin D., Wang Q., Li H., Jiang X., Fang K., Wang Q., Li B., Pan C., Wu H. Identification of key metabolites based on non-targeted metabolomics and chemometrics analyses provides insights into bitterness in Kucha [Camellia kucha (Chang et Wang) Chang] // Food Res. Int. 2020. V. 138. P. 109789. https://doi.org/10.1016/j.foodres.2020.109789
- Razgonova B., Cherevach E.I., Tekutyeva L.A., Fedoreev S.A., Mishchenko N.P., Tarbeeva D.V., Demidova E.N., Kirilenko N.S., Golokhvast K.S. Maackia amurensis Rupr. et Maxim.: supercritical CO2-extraction and mass spectrometric characterization of chemical constituents // Molecules. 2023. V. 28. P. 2026. https://doi.org/10.3390/molecules28052026
- Li M., Xu J., Wang X., Fu H., Zhao M., Wang H., Shi L. Photosynthetic characteristics and metabolic analyses of two soybean genotypes revealed adaptive strategies to low-nitrogen stress // J. Plant Physiol. 2018. V. 229. P. 132. https://doi.org/10.1016/j.jplph.2018.07.009
- Wu Y., Xu J., He Y., Shi M., Han X., Li W., Zhang X., Wen X. Metabolic profiling of pitaya (Hylocereus polyrhizus) during fruit development and maturation // Molecules. 2019. V. 24. P. 1114. https://doi.org/10.3390/molecules24061114
- Bujor O.-C. Extraction, identification and antioxidant activity of the phenolic secondary metabolites isolated from the leaves, stems and fruits of two shrubs of the Ericaceae family. Ph.D. Thesis. 2016.
- Etzbach L., Pfeiffer A., Weber F., Schieber A. Characterization of carotenoid profiles in goldenberry (Physalis peruviana L.) fruits at various ripening stages and in different plant tissues by HPLC-DADAPCI-MSn // Food Chem. 2018. V. 245. P. 508. https://doi.org/10.1016/j.foodchem.2017.10.120
Supplementary files









