Биохимическая, генетическая и цифровая оценка зерна сортов озимой мягкой пшеницы с различным индексом прорастания
- Authors: Федяева А.В.1,2, Афонникова С.Д.1,3,4, Афонников Д.А.1,3, Смирнова О.Г.1,3, Деева В.Н.5, Прянишников А.И.6, Салина Е.А.1,3
-
Affiliations:
- Федеральное государственное бюджетное учреждение науки “Федеральный исследовательский центр Институт цитологии и генетики Сибирского отделения Российской академии наук”
- Федеральное государственное бюджетное учреждение науки Сибирский институт физиологии и биохимии растений Сибирского отделения Российской академии наук
- Курчатовский геномный центр Институт цитологии и генетики Сибирского отделения Российской академии наук
- Новосибирский национальный исследовательский государственный университет
- Общество с ограниченной ответственностью “Научно-производственное объединение «Бетагран Семена»”
- Департамент селекции и семеноводства сельскохозяйственных культур, Акционерное общество “Щелково Агрохим”
- Issue: Vol 71, No 2 (2024)
- Pages: 205-215
- Section: ЭКСПЕРИМЕНТАЛЬНЫЕ СТАТЬИ
- URL: https://ogarev-online.ru/0015-3303/article/view/261886
- DOI: https://doi.org/10.31857/S0015330324020072
- EDN: https://elibrary.ru/OBFMEG
- ID: 261886
Cite item
Full Text
Abstract
Устойчивость к прорастанию зерна на корню (ПЗНК) является хозяйственно важным признаком, который влияет на качество зерна и урожайность пшеницы. Данная устойчивость зависит как от факторов окружающей среды, так и от генотипических и фенотипических особенностей сортов пшеницы. Известно, что краснозерные сорта пшеницы являются более устойчивыми к ПЗНК, чем белозерные. Однако в настоящее время не существует подходов, позволяющих однозначно различать краснозерные сорта пшеницы по степени устойчивости к ПЗНК. Целью настоящей работы являлось сравнение различных подходов для эффективной дифференцировки сортов озимой мягкой пшеницы (Triticum aestivum L.) по устойчивости к ПЗНК. У 164 сортов озимой мягкой пшеницы, среди которых 156 были краснозерными, были определены индекс прорастания (ИП), активность α-амилазы (ААА), проведена цифровая и генетическая оценка уровня красной окраски зерновки. Исследования проводили на стадиях молочно-восковой спелости (М/ВС) и полного созревания (ПС) зерна. Исходя из динамики изменения ИП на стадиях М/ВС и ПС зерна установлено, что наиболее целесообразно проводить оценку ИП на стадии М/ВС зерна. Анализ ААА был проведен с использованием метода Церальфа и определения числа падения (ЧП). Показано повышение уровня ААА в процессе созревания зерна у изученных сортов. Была выявлена отрицательная корреляционная связь между ИП и ЧП, ЧП и ААА. Использование цветовой модели Lab для оценки окраски оболочки зерна позволило выделить 3 типа окраски зерна. Изучены аллельные варианты гена Tamyb10, контролирующего красную окраску зерна. Анализ цифровой оценки окраски зерна и аллельного состава генов Tamyb10 не выявил дополнительного к ИП и ЧП критерия, который можно было бы использовать для разделения краснозерных сортов пшеницы по устойчивости к ПЗНК. В то же время показано, что наиболее многочисленная группа из изученных сортов, имеет от двух и более доминантных генов, контролирующих красную окраску зерна. В целом, сравнение краснозерных сортов по всем трем параметрам позволило выделить группу сортов, наиболее устойчивых к ПЗНК. В эту группу вошли 73 краснозерных сорта мягкой пшеницы из 156 изученных, при этом белозерных сортов, устойчивых к ПЗНК, выявлено не было.
Full Text
Дополнительные материалы размещены в электронном виде по DOI статьи: 10.31857/S0015330324020072
Сокращения: ААА – α-амилазная активность, ИП – индекс прорастания, М/ВС – молочная/восковая спелость, ПЗНК – прорастание зерна на корню, ПС – полная спелость, ЧП – число падения.
ВВЕДЕНИЕ
Прорастание зерна на корню (ПЗНК) приводит к снижению качества и количества урожая зерновых культур [1]. Прорастание зерна в колосе на родительском растении происходит после его созревания. На данное явление оказывает влияние комплекс факторов, таких как, поздний сбор урожая, дождливая погода, пониженные температуры, фенотип и восприимчивость сорта [1]. Известно, что морфологические особенности строения колоса, восковой налет, опушенность, остистость, проницаемость семенной оболочки также оказывают влияние на ПЗНК у злаковых культур [2].
К настоящему моменту установлено, что основной причиной ПЗНК является дисбаланс в соотношении двух процессов – покоя и прорастания [3]. В регуляции этих процессов задействованы разнообразные механизмы [4]. Наряду с другими факторами, исследователи связывают активность α-амилазы (ААА) с ПЗНК у злаковых культур [3]. В процессе прорастания зерна происходит гидролиз крахмала под действием α-амилазы [5]. Изоферменты α-амилазы контролируются семействами генов α-Amy1 и α-Amy2, расположенными на 6 и 7 хромосомах соответственно [6]. Пик активности α-Amy2 приходится на начальные стадии развития зерна, а активность α-Amy1 повышается при созревании зерна. Относительная экспрессия гена α-Amy1 была выше у сортов, неустойчивых к ПЗНК, по сравнению с устойчивыми сортами [6]. Изучение содержания и активности α-амилазы “позднего созревания” α-Amy1 является относительно новой областью исследований. Несвоевременный синтез α-амилазы приводит к уменьшению числа падения (ЧП) и ухудшению качества зерна [8]. Мука, полученная из такого зерна, имеет невысокую загущающую способность и считается непригодной для выпечки хлебобулочных изделий [9].
Для измерения ААА в зерне на настоящий момент применяются различные методы, в том числе колориметрический с использованием таблеток Фадебас, крахмально-йодометрический и анализ на приборах амилограф и миксолаб [10]. В последние годы очень часто используется метод Церальфа [10]. К преимуществам данного метода относятся использование микронавесок образца и применение 96-луночного спектрофотометра, что позволяет в короткие сроки провести анализ ААА у большого числа образцов.
Установлено, что устойчивость к ПЗНК является количественным признаком. У пшеницы устойчивость к ПЗНК контролируется несколькими локусами, которые расположены на 1A, 1B, 2A, 2B, 2D, 3A, 3B, 3D, 4A, 4B, 5B, 5D, 6A, 6B, 6D, 7A, 7B и 7D хромосомах [2]. К идентифицированным генам устойчивости к ПЗНК относятся гены R, контролирующие окраску [11]. У пшеницы Tamyb10 является R геном, кодирующим активатор транскрипции флавоноидных пигментов. Краснозерные сорта пшеницы более устойчивы к ПЗНК, чем сорта с белым цветом зерна [12].
Оценку цвета зерна чаще проводят визуально, используя методику с применением раствора NaOH [13]. Однако это приводит к внешнему повреждению зерна. В настоящее время разработано приложение SeedCounter, позволяющее проводить точные измерения окраски без повреждения зерна [14, 15].
Как правило, оценку сортов на ПЗНК проводят в лабораторных условиях. Наиболее распространенным методом оценки устойчивости зерновых к ПЗНК является прямой провокационный способ, который позволяет определить индекс прорастания (ИП), процент прорастания и устойчивость к прорастанию [10, 16]. Оценка устойчивости к ПЗНК у пшеницы может проводиться на разных стадиях созревания зерна. Использование современных подходов может оптимизировать отбор зерновых культур, устойчивых к ПЗНК.
Цель работы – исследование эффективности различных подходов для оценки ПЗНК на стадиях молочно-восковой спелости и полного созревания зерна для отбора устойчивых сортов озимой мягкой пшеницы. Для достижения данной цели было проведено цифровое исследование окраски оболочки зерна, установлено разнообразие аллельных вариантов гена Tamyb10, определены ИП, число падения (ЧП) и проведен анализ ААА.
МАТЕРИАЛЫ И МЕТОДЫ
Объект исследования и условия его выращивания. Объектом исследования являлась коллекция озимой мягкой пшеницы (Triticum aestivum L.), предоставленная Федеральным исследовательским центром Всероссийский институт генетических ресурсов растений им. Н.И. Вавилова (ВИР). Данная коллекция состояла из 164 сортов пшеницы. Сорта имели следующие разновидности: albidum, lutescens, milturum, composituminumilturum, velutinum, graecum, ferrugineum, hostianum, erythrospermum, compositumferrugineum. Детально коллекция описана ранее [17].
К работе привлекался материал из изучаемой коллекции, репродуцированный в полевых условиях в Орловской области (131 краснозерный сорт, 7 белозерных сортов), и в искусственных условиях в Центре коллективного пользования “Лаборатория искусственного выращивания растений” (ЦКП ЛИВР) Федерального исследовательского центра Института цитологии и генетики (156 краснозерных сортов, 8 белозерных сортов).
Для исследований колосья собирали на двух стадиях созревания зерна: молочно-восковой спелости (М/ВС) и полного созревания (ПС) зерна. В первом случае сорта из коллекции высаживали делянками (1 м2) осенью 2021 г. в Орловской области (52°51ʹ с. ш. 36°26ʹ в. д.) и летом 2022 г. проводили сбор колосьев на стадии М/ВС зерна. Во втором случае образцы из коллекции, в количестве 5 шт. для каждого изучаемого сорта, после периода яровизации (2 мес. при 2°C) были высажены в ванны с керамзитом. Образцы выращивались в условиях гидропонной теплицы ЦКП ЛИВР при температуре 25–32°C при естественном освещении и при температуре 10–16°C при искусственном освещении (16 ч, средняя освещенность 22 кЛк) до ПС зерна. Стадию созревания зерна оценивали по плотности эндосперма.
Определение индекса прорастания зерна. Для определения ИП зерно из колосьев на стадии М/ВС сразу вымолачивали вручную и стерилизовали. В случае, если колосья собирались на стадии ПС зерна, их перед вымолачиванием помещали в электрический суховоздушный термостат ТС-1/80 (Смоленское СКТБ СПУ, Россия) на 3 дня при температуре 30°C, стерилизацию не проводили. Зерно каждого сорта в количестве 72 шт. заливали 30 мл 0.1% раствора перманганата калия на 20 мин с регулярным помешиванием. Далее зерно промывали проточной водой в течение 1 мин с использованием ситечка. В стеклянные чашки Петри помещали фильтровальную бумагу, добавляли 10 мл дистиллированной воды и раскладывали промытое зерно в 3-кратной повторности, из расчета 24 зерна на одну повторность. Далее чашки с зерном помещали в климатическую камеру C180-40 (Weiss Technik, Германия) без освещения на 7 дней при температуре 22°C и влажности 50%. Ежедневно фиксировали количество проросшего зерна, считая проросшим зерно, которое имело разрыв оболочки над зародышем. Для оценки жизнеспособности зерна по окончании эксперимента чашки с непроросшим зерном помещали в холодильник Atlant XM 4421-000 N (Atlant, Республика Беларусь) с температурой 5–6°C на 3 дня и далее оставляли при комнатных условиях (24°C) на 3 дня. Непроросшее зерно считали нежизнеспособным и в подсчете ИП не учитывали.
Подсчет ИП осуществлялся по формуле [18]:
, (1)
где n1, n2, …n7 – число проросших зерен за первые, вторые и последующие сутки; N – общее число зерен; D – общее число дней испытания. Значение ИП варьирует в диапазоне от 0 до 1, где “0” – не проросло ни одно зерно, “1” – проросли все зерна.
Оценка активности α-амилазы. ААА оценивали с использованием набора реактивов методом Церальфа (Megazyme International Ireland Ltd, Ирландия) [19]. Для анализа ААА зерно из колосьев на стадии М/ВС сразу вымолачивали вручную. Муку фракции меньше 0.5 мм получали с использованием кофемолки (Centek, КНР), 100 мг муки хранили при –80°C до момента проведения анализа. Если колосья собирали на стадии ПС зерна, то перед вымолачиванием их помещали в термостат ТС-1/80 (Смоленское СКТБ СПУ, Россия) с температурой 30°C на 3 дня. После получения муки анализ проводили в тот же день. Экстракционный буфер (50 мМ C4H4Na2O5, 50 мМ NaCl, 2 мМ CaCl2, 0.005% NaN3, рН 5.4) комнатной температуры (22–24°C) в объеме 700 мкл добавляли к 100 мг муки. Экстракцию проводили в течение 20 мин с периодическим (5 раз) перемешиванием на Вортексе V-1 plus (BioSan, Латвия). После этого образцы центрифугировали (центрифуга MiniSpin, Eppendorf, Германия) при 3900 об./ мин в течение 10 мин, отбирали супернатант. Дальнейший анализ проводили по процедуре, предложенной “Megazyme” для планшетных анализаторов. В ходе этой процедуры использовали коммерческий субстрат (блокированный п-нитрофенил-мальтогептаозид + избыточный уровень термостабильной α-глюкозидазы) в объеме 20 мкл. Через 20 мин после добавления 20 мкл экстракта к субстрату реакция останавливалась раствором ортофосфата натрия (рН 11) в объеме 300 мкл. Определение оптической плотности проводилось на планшетном анализаторе “Multiskan™ FC Microplate Photometer” (Thermo Fisher Scien tific, Финляндия) при 405 нм. Одна единица церальфа (ЦЕ) определяется как количество фермента, необходимого для образования одного мкМ п-нитрофенола из блокированного п-нитрофенил-мальтогептаозида за 1 мин при условии наличия избытка термостабильной α-глюкозидазы. Для расчета применялась формула, предоставленная “Megazyme”:
, (2)
где ∆Е – разность между оптической плотностью анализируемого образца и холостой пробой, представляющей собой смесь субстрата и раствора ортофосфата натрия, при длине волны 405 нм; время инкубации – время от момента внесения в лунку планшета экстракта и совместной инкубации с субстратом (мин); общий объем – суммарный объем образца перед измерением оптической плотности (мл); l – длина пути излучения в образце (см); εмМ – коэффициент молярной экстинкции п-нитрофенола при 405 нм в 1% растворе ортофосфата натрия.
Определение окраски зерна. Фенотипирование зерна проводили на семенах из коллекции ВИР. Оценка выполнялась с использованием приложения SeedCounter, реализованного для персональных компьютеров и мобильных устройств (платформа Android) [14, 15]. С помощью данного приложения были обработаны изображения зерен, полученные с использованием цифрового фотоаппарата Canon EOS 600D (Canon, Япония), с объективом Canon EF 100 mm f/2.8 Macro USM. Для измерения и количественной оценки различия цвета оболочки зерна использовали значения “компонент цвета” в цветовой шкале Lab, полученные с использованием приложения SeedCounter. Данная цветовая шкала включает компоненту светлоты и две компоненты оттенка [11]. Первая из них, компонента a соответствует увеличению интенсивности красного цвета для положительных значений и зеленого для отрицательных. Вторая компонента – b соответствует увеличению интенсивности желтого цвета для положительных значений и синего для отрицательных. Мы характеризовали цвет зерен средними значениями этих двух компонент (Lab_ma и Lab_mb соответственно) для пикселей зерен на цифровых изображениях. Для простоты мы интерпретировали значения компоненты a как краснота, а значения компоненты b как желтизна.
Анализ числа падения. Оценка ЧП проводилась в соответствии с требованиями ГОСТ ISO 3093-2016 методом Хагберга-Пертена [20] на приборе ПЧП-7 (ООО “Биофизическая аппаратура”, Россия) после сбора зерна изучаемых сортов, выращенных в Орловской области в 2022 г.
Оценка аллельных вариаций гена Tamyb10. Анализ полиморфизма гена был проведен на растительном материале, который был собран с тепличных растений. Геномную ДНК выделяли из листьев молодых растений по методике, описанной ранее [21]. Буфер для выделения ДНК содержал 0.1 M Tris, 0.5 M NaCl, 0.05 M EDTA, 0.38% Na2S2O5, 1.25% SDS. В данной работе были использованы ПЦР-маркеры, разработанные Himi с соавт. [22]. Для выявления аллельных вариантов Tamyb10-A1 использовали комбинации праймеров Tamyb10-LP6 (5'-ctatgtggatggccttggat-3')/Tamyb10-RP6 (5'-ctac cagctcgtttgggaag-3'); Tamyb10-LP7 (5'-tttcaatcgag tgggcataa-3')/Tamyb10-RP4 (5'-cctgacgatgagctcct ctt-3'); для выявления аллельных вариантов Tamyb10-B1 – Tamyb10-LP2 (5'-agcaagaggaacctg cagtc-3')/Tamyb10-RP1 (5'- gatgccctccagatcaaggt-3'); Tamyb10-D1 – Tamyb10-LP9 (5'-taggccaacaccttctaa acg-3')/Tamyb10-RP3 (5'-aggcacaccagcttatttgg-3' [14]. Реакцию ПЦР проводили с использованием Tag ДНК-полимеразы и готовой реакционной смеси БиоМастер HS-Taq ПЦР-Спец (2×) (Биолабмикс, Россия). Протокол проведения амплификации [22] был модифицирован и состоял из следующих этапов: предварительной денатурации ДНК при 94°C (5 мин) – однократно; денатурации ДНК при 94°C (30 с); отжига праймеров при 61°C (30 с) для Tamyb10-A, 55°C (30 с) для Tamyb10-B1, при 64°C (30 с) для Tamyb10-D1; элонгации при 72°C (2 мин) для Tamyb10-A1, 72°C (30 с) для Tamyb10-B1, 72°C (1 мин) для Tamyb10-D1 (30 циклов). Финальный этап пролонгирования нуклеотидной цепи – 7 мин при 72°C (однократно). ПЦР выполняли на амплификаторе T100 Thermal Cycler (Bio-Rad, США). Электрофоретический анализ продуктов амплификации проводили с использованием камеры Sub Cell model 192 (Bio-Rad, США) в 1.5% агарозном геле с добавлением бромистого этидия. Результат визуализировали и документировали с помощью системы гель-документирования Gel Doc XR+ (Bio-Rad, США).
Статистический анализ. Статистическую обработку проводили с использованием программы STATISTICA 12 и MS Excel 2010. Для построения графиков использовали пакеты R “ggbreak”, “ggplot2”, “ggpubr” [23]. На диаграммах “ящик с усами” представлены медианы и 25–75-й процентили в прямоугольниках и диапазон невыпадающих значений. Достоверность отличий оценивали по U-критерию Манна-Уитни и критерию Крускала-Уоллиса. Корреляционную связь оценивали, используя коэффициент корреляции Спирмана. Для того, чтобы привести данные ИП и ААА на обеих стадиях созревания к нормальному распределению, использовали преобразование Бокса-Кокса (пакет R EnvStats). Оптимальный параметр λ для ИП ПС составлял 1, для ИП М/ВС этот параметр был равен –4. Для ААА на обеих стадиях созревания зерна значение λ составляло –1.
РЕЗУЛЬТАТЫ
Оценка индекса прорастания, α-амилазной активности и числа падения. Одним из классических и распространенных методов определения устойчивости сортов злаковых культур к ПЗНК является прямой провокационный способ, результатом которого является определение ИП зерна [10]. Расчет ИП производили по формуле 1, варьирование показателя составляло от 0 до 1. Эксперимент проводили на стадиях М/ВС и ПС зерна. Определение ИП у покоящегося зерна не проводят. В то же время нами был выполнен эксперимент по установлению ИП у зерна, которое хранилось при комнатной температуре в течение 3 мес. после сбора урожая. Было установлено, что у сортов всей коллекции ИП был равен почти 1 (данные не представлены). На ранних стадиях созревания зерна (М/ВС) максимальное количество сортов, за исключением белозерных, обладали низким ИП в диапазоне 0–0.33, только 27 сортов имели высокий ИП – 0.34–0.89 (рис. 1а). По мере созревания зерна происходило увеличение как ИП, так и количества сортов, которые имеют ИП более 0.33 (рис. 1б), что соответствует их восприимчивости к ПЗНК. Сравнение белозерных и краснозерных сортов по ИП представлено в табл. 1. Как видно из табл. 1, от 71 до 89 % изученных белозерных сортов мягкой пшеницы имели высокий ИП на стадиях М/ВС и ПС зерна, что соответствует принятой точке зрения о восприимчивости к ПЗНК белозерных сортов пшеницы. У более устойчивых, как считается, к ПЗНК краснозерных сортов пшеницы процент сортов с высоким ИП на стадии М/ВС составлял 21.43%. На стадии ПС зерна процент краснозерных сортов с высоким ИП достиг величины 58.9%. Исходя из динамики изменения ИП на стадиях М/ВС и ПС зерна (рис. 1) можно говорить о том, что оценку сортов пшеницы на предмет их восприимчивости к ПЗНК наиболее целесообразно проводить на стадии М/ВС зерна.
Рис. 1. Распределение значений индекса прорастания у краснозерных и белозерных сортов озимой мягкой пшеницы: а – стадия молочной/восковой спелости; б – стадия полного созревания зерна. Цифры напротив столбцов указывают на число белозерных сортов.
Таблица 1. Число сортов (%) озимой мягкой пшеницы, имеющих высокий (более 0.33) индекс прорастания
Белозерные сорта | Краснозерные сорта | ||
М/ВС | ПС | М/ВС | ПС |
71.43 | 88.89 | 21.43 | 58.90 |
Примечание: М/ВС – стадия молочной/восковой спелости зерна; ПС – стадия полной спелости зерна.
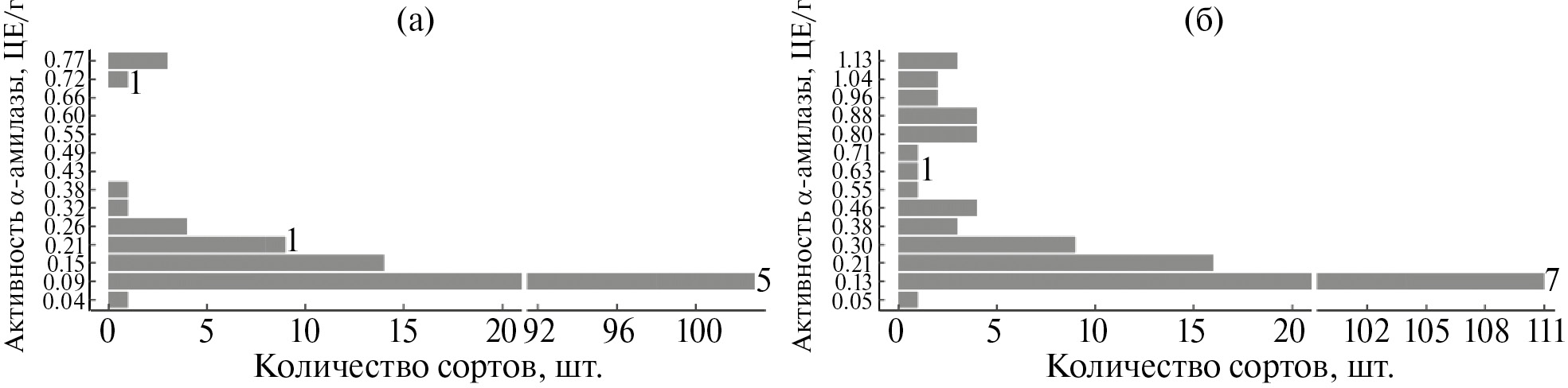
Известно, что энергия, необходимая для прорастания зерна, образуется в процессе гидролиза крахмала, поэтому при изучении сортов на устойчивость к ПЗНК проводят оценку ААА. Высокая ААА часто свидетельствует о прорастании зерна на корню [7]. Оценку ААА на поздней стадии созревания зерна пшеницы проводили с использованием метода Церальфа (AACCI Method 22-05.01) [24]. Используя этот метод, мы показали, что максимальное число сортов порядка 100–110, имели ААА примерно 0.09 ЦЕ/г (рис. 2а) и 0.13 ЦЕ/г (рис. 2б) на стадии М/ВС стадии и на стадии ПС зерна соответственно.
Рис. 2. Распределение значений активности α-амилазы у краснозерных и белозерных сортов озимой мягкой пшеницы: а – стадия молочной/восковой спелости; б – стадия полного созревания зерна. Цифры напротив столбцов указывают на число белозерных сортов.
Проведена оценка изучаемых сортов по ЧП, что также используется в работах по анализу ААА [24]. ЧП – оценка вязкости водно-мучной суспензии (по времени падения шток-мешалки) при прогревании ее на кипящей бане в течение 60 с, при этом суспензия клейстеризуется и подвергается разжижению под воздействием фермента α-амилазы [25]. Таким образом, величина ЧП отражает величину обратную ААА. Результаты анализа ЧП в зерне изучаемых сортов пшеницы показали, что максимальное количество сортов имело значение ЧП в диапазоне от 221 до 357 с (рис. 3). Минимальное значение по данному показателю и, следовательно, максимальная ААА составляло 131 с. Максимальное значение составило 425 с, что соответствует минимальному значению ААА у изученной группы сортов.
Рис. 3. Распределение значений числа падения у краснозерных и белозерных сортов озимой мягкой пшеницы. Цифры напротив столбцов указывают на число белозерных сортов.
Проведено сравнение данных ААА, полученных методом Церальфа, на стадиях М/ВС и ПС, и по оценке ЧП после сбора зерна. Показано, что данные по ААА, определяемые разными методами на разных этапах созревания и независимо от места выращивания, коррелировали между собой. Так, невысокая положительная корреляция отмечалась между оценкой ААА, полученной методом Церальфа, на стадии М/ВС и ПС (r = 0.32, Р ≤ 0.001). Невысокая отрицательная корреляция наблюдается между ЧП и ААА на стадии М/ВС и ПС, (r = –0.43, Р ≤ 0.001) и (r = –0.22, Р ≤ 0.05) соответственно (Дополнительные материалы, рис 1). Больший уровень отрицательной корреляции (r = –0.43, Р ≤ 0.001) между ААА, полученной методом Церальфа, на стадии М/ВС и ЧП, видимо, связан с тем, что оценка зерна проводилась с растений, которые были выращены в одинаковых условиях.
Корреляционный анализ был также проведен для выявления взаимосвязи между ИП на разных стадиях созревания зерна и ЧП при оценке коллекции пшеницы на предмет устойчивости/восприимчивости к прорастанию зерна. Была выявлена невысокая отрицательная корреляция (r = –0.36, Р ≤ 0.001) между ИП на М/ВС зерна и ЧП (Дополнительные материалы, рис 1).
В целом, сравнение краснозерных сортов по всем трем параметрам (табл. 1, Дополнительные материалы) позволило выделить группу сортов наиболее устойчивых к ПЗНК, в которую вошли 73 краснозерных сорта озимой мягкой пшеницы из 156 изученных. Белозерных сортов, устойчивых к прорастанию, выявлено не было.
Анализ окраски зерна. Краснозерные сорта пшеницы хотя и являются более устойчивыми к прорастанию зерна на корню, чем белозерные, также различались между собой по данному признаку. Нами была предпринята попытка разделить группу краснозерных сортов пшеницы по степени выраженности окраски, используя подходы цифрового фенотипирования, как описано в разделе “Материалы и методы”.
На рис. 4 представлено распределение сортов пшеницы по стандартизованным значениям “компонент цвета a и b”. Коллекция была разделена на 3 типа окраски зерна относительно значений по указанным компонентам. К нулевому типу с диапазоном значений по красноте и желтизне Lab_ma < 0 и Lab_mb > 0 были отнесены 23 сорта, в том числе все белозерные. На рис. 4 белозерные сорта обведены овалами. Первый тип включал 52 сорта, значения компонент попадали в диапазон Lab_ma < 0 и Lab_mb < 0. Наибольшее количество сортов – 89 – относилось ко второму типу окраски зерна, с диапазоном значений компонент по Lab_ma > 0. Lab_mb имел как положительные, так и отрицательные значения.
Рис. 4. Диаграмма рассеяния в пространстве средних значений компонент a и b цветовой модели Lab на цифровых изображениях для зерен сортов озимой мягкой пшеницы. Ось абсцисс – среднее значение компоненты a (Lab_ma, краснота); ось ординат – среднее значение компоненты b (Lab_mb, желтизна). Обозначения маркера: ромб – 0 тип окраски; треугольник – 1 тип окраски; круг – 2 тип окраски. Овалами обведены белозерные сорта.
Оценка корреляции диапазона значений Lab_ma и Lab_mb со значениями ИП или ЧП для краснозерных сортов не выявила взаимосвязи между цифровыми показателями цвета с показателями, используемыми для оценки прорастания зерна на корню.
Помимо цифровой оценки окраски проведено изучение распределения аллельных вариантов генов Tamyb10, которые являются наиболее вероятными кандидатами для генов R-1, контролирующих красную окраску зерна [22]. В пшенице данные гены представлены в трех субгеномах – Tamyb10-A1, Tamyb10-B1 и Tamyb10-D1 и локализованы на хромосомах 3AL, 3BL и 3DL соответственно [22]. Доминантный аллель генов b определяет красную окраску зерна. Рецессивный а аллель, представленный в трех субгеномах пшеницы, характерен для белозерных сортов [26]. В данной работе проведен анализ аллельного состава гена Tamyb10 в коллекции озимой пшеницы с использованием специфических праймеров и определено количество рецессивных а аллелей гена. У 164 изученных сортов озимой мягкой пшеницы было выявлено восемь аллельных вариантов гена Tamyb10 в трех субгеномах (табл. 2). Максимальное количество сортов – 77 имело не менее двух доминантных аллелей Tamyb10-B1b, Tamyb10-D1b. Как и ожидалось, все белозерные сорта имели три рецессивных аллеля гена Tamyb10.
Таблица 2. Количество сортов озимой мягкой пшеницы, содержащих различные сочетания аллельных вариантов генов Tamyb10-A1, Tamyb10-B1, Tamyb10-D1
Аллельные варианты Tamyb10-A1 / Tamyb10-B1 / Tamyb10-D1 | |||||||
*/b/b | a/b/b | */a/b | */b/a | a/a/b | a/b/a | */a/a | a/a/a |
55 | 22 | 36 | 19 | 10 | 8 | 6 | 8 |
Примечание: a – рецессивный аллель; b – доминантный аллель; * – аллель не определяется как a или b.
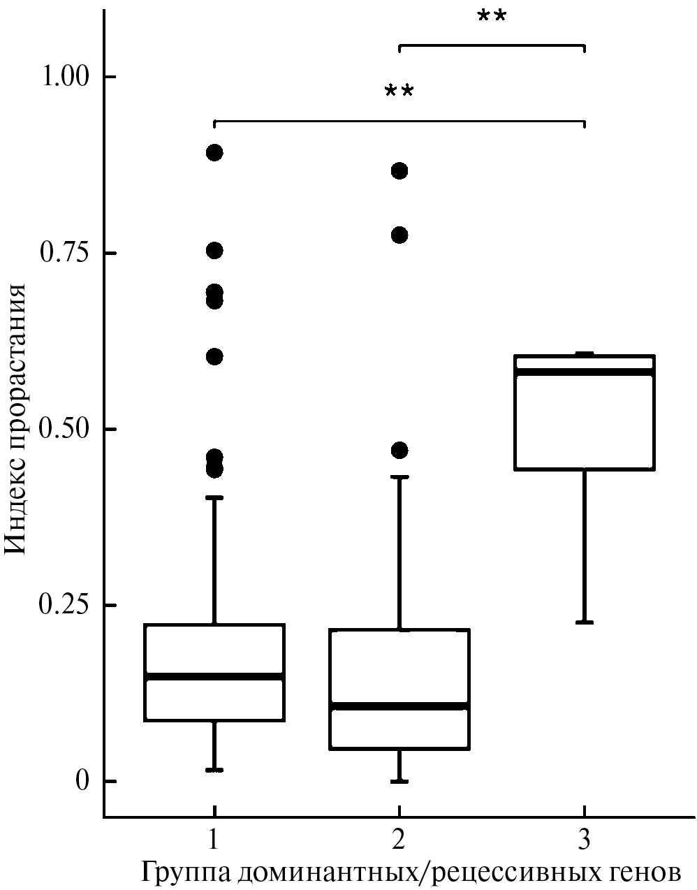
Для обнаружения различий в прорастающей способности зерна у сортов пшеницы, различающихся по аллельным вариантам гена Tamyb10, был проанализирован ИП на стадии М/ВС зерна. Для этого восемь аллельных вариантов были объединены в 3 группы по числу доминантных аллелей гена Tamyb10. В первую группу вошли краснозерные сорта, имеющие два и более доминантных генов окраски. Во вторую группу вошли краснозерные сорта, имеющие один доминантный ген, третью – белозерные сорта, не имеющие доминантных генов окраски. Достоверные различия по ИП обнаружены только при сравнении групп с доминантными генами (1, 2 группа) и группы с белозерными сортами пшеницы (3 группа) (рис. 5). Чтобы оценить, связаны ли эти различия с окраской оболочки зерна пшеницы, проанализировали данные по двум ранее изученным показателям – Lab_ma и Lab_mb (рис. 4). Выявлено, что наблюдаются аналогичные различия двух первых групп с третьей группой, имеющей только рецессивные (а) аллели гена Tamyb10 (рис. 2а, б, Дополнительные материалы).
Рис. 5. Диаграмма “ящик с усами” распределения индекса прорастания на молочной/восковой стадии созревания зерна для сортов озимой мягкой пшеницы, содержащих различные сочетания аллельных вариантов генов Tamyb10-A1, Tamyb10-B1, Tamyb10-D1: 1 группа – два или более доминантных гена, краснозерные сорта пшеницы; 2 группа – один доминантный ген, краснозерные сорта пшеницы; 3 группа – нет доминантных генов, белозерные сорта пшеницы. На графике представлены медиана и 25–75 процентили в прямоугольниках и диапазон невыпадающих значений. Черными точками на графике отмечены выбросы. Звездочками “**” отмечены достоверные различия при P ≤ 0.01, использовали U-критерий Манна-Уитни.
Таким образом, анализ цифровой оценки окраски зерна и аллельного состава генов Tamyb10 не выявил критерия, который можно было бы использовать дополнительно к ИП и ЧП для разделения краснозерных сортов пшеницы по устойчивости к ПЗНК.
Изучение коллекции озимой мягкой пшеницы на предмет устойчивости к ПЗНК выявило отрицательную корреляционную связь между ИП и ЧП, а также между ААА и ЧП. Таким образом, увеличение ИП приводило к снижению ЧП за счет увеличения ААА, однако положительной корреляции между показателем ИП и ААА обнаружено не было, что свидетельствует о наличии дополнительных процессов, происходящих при прорастании зерна, не изученных в данной работе.
ОБСУЖДЕНИЕ
Прорастание зерна до сбора урожая наносит колоссальный экономический ущерб. К настоящему моменту проведены исследования, которые позволяют прояснить процессы и механизмы запуска и передачи сигнала, а также внешние условия, приводящие к прорастанию зерна на материнском растении [27]. Однако до сих пор остаются неясными многие моменты [1]. Выбор объекта в данной работе обоснован тем, что пшеница является одной из важных злаковых культур, которая широко выращивается почти на всех континентах. Для 2.5 млрд человек, проживающих примерно в 90 странах, она является основным продуктом питания [13]. При изучении злаковых культур на предмет устойчивости к ПЗНК используют комплексный подход, применяя различные методики [10]. Немаловажным является также выбор стадии созревания зерна для изучения устойчивости сортов к данному процессу. Так, в недавнем исследовании Mares и Himi [28] оценку ИП у зерен пшеницы проводили с 20 по 120 день после антезиса. В нашей работе изучение проводили на следующих стадиях созревания зерна: М/ВС и ПС зерна. Определение ИП у сортов, зерно которых хранилось при комнатной температуре в течение 3 мес. показало, что ИП был одинаковым (~1) у сортов всей изученной коллекции (данные не представлены). Nyachiro с соавт. [29] в своей работе рекомендуют после вымолачивания хранить зерно при –20°С до момента проведения эксперимента, это позволяло уменьшить процент выхода зерна из покоя. Поскольку различия в ИП у краснозерных сортов наблюдались на разных стадиях созревания зерна (табл. 1), мы полагаем, что оценку ИП на стадии М/ВС зерна можно использовать для отбора краснозерных сортов, наиболее устойчивых к ПЗНК. Следует отметить, что на стадии молочной спелости зерновки проявляли большую чувствительность к погодным условиям [30].
Поскольку в процессе прорастания зерна крахмал подвергается гидролизу α-амилазами, в подобных исследованиях наряду с провокационным методом применяют подходы по оценке амилазной активности [2]. Определение ЧП является не только классическим способом для отражения уровня ААА, но также является международным стандартом качества зерна. По показателю ЧП выделяют три группы: низкое ЧП (ниже 150–200 с), среднее (200–350 с) и высокое (выше 350 с) [16]. У большинства сортов пшеницы было детектировано среднее ЧП (рис. 3), при этом минимальное значение ЧП составляло 131 с, а максимальное – 425 с. Корреляционная связь между показателями ЧП и ИП была невысокой (r = –0.36), однако в работе Rasul с соавт. [31] отмечена более сильная корреляционная связь между ЧП и ИП у яровой пшеницы (r = –0.86).
Анализ распределения значений ААА среди сортов показал, что наблюдается незначительное повышение уровня активности данного фермента по мере созревания зерна (рис. 2). В работе Yu с соавт. [32] показаны различия в уровне ААА при наступлении физиологической зрелости зерна и за 3 дня до этого момента. Авторы обнаружили снижение ААА в момент физиологической зрелости зерна [32], при этом не было различий в уровне ААА у белозерных и краснозерных сортов. Simsek с соавт. [33] показали разный уровень ААА у проросшего и непроросшего зерна. Известно, что в зерне пшеницы присутствуют несколько изоформ α-амилаз [5]. Активность одной из изоформ, α-амилазы позднего созревания, повышается через 30 дней после начала цветения [34]. Мы предположили, что наблюдаемое незначительное повышение уровня ААА после стадии М/ВС зерна (рис. 2) связано именно с этой изоформой.
Анализ корреляционной связи между показателями ЧП и ААА показал наличие отрицательной корреляции (r = –0.43, Р < 0.001), что согласуется с литературными данными [35].
В данной работе с использованием специфичных ПЦР-маркеров к аллельным вариантам гена Tamyb10 было показано, что наиболее многочисленная группа из изученных сортов имеет от двух и более доминантных генов, контролирующих красную окраску зерна (табл. 2). Однако разницы по ИП между сортами, различающихся по числу доминантных генов, выявлено не было (рис. 5). Следует отметить, что в некоторых работах различия между генотипами с рецессивными и доминантными аллелями гена Tamyb10 по ИП имели другую закономерность. Так, в работах Wang с соавт. [26] генотипы с аллельной комбинацией рецессивных аллелей “aaa” показывали более низкий ИП (0.264), чем генотипы с аллельной комбинацией из доминантных и рецессивных аллелей “bba” (ИП = 0.519).
В нашей работе было установлено, что генотипы с тремя рецессивными а аллелями (белозерные сорта) имели достоверную разницу по красноте (Lab_ma) и желтизне (Lab_mb) (рис 2а, б, Дополнительные материалы), по сравнению с краснозерными генотипами, имеющими доминантные b аллели. Однако различий между группами краснозерных сортов, различающихся по числу доминантных b аллелей по красноте (Lab_ma) и желтизне (Lab_mb) выявлено не было. Это дает основание полагать, что только по оценке цветовой интенсивности окраски зерна невозможно выявить различия в устойчивости к ПЗНК у краснозерных сортов озимой мягкой пшеницы. По всей видимости, у краснозерных сортов существуют другие, отличные от Tamyb10 гены, участвующие в формировании устойчивости к ПЗНК. Необходимо использовать подходы для поиска молекулярно-генетических маркеров устойчивости к ПЗНК.
Оценка ИП, ААА на М/ВС и ЧП позволила выделить ряд краснозерных сортов изучаемой коллекции, которые имеют максимальную устойчивость к ПЗНК. Минимальные значения ИП и ААА и, напротив, максимальные значения ЧП имели следующие сорта: –/К-4832, Плюсская, Местная, Омская озимая, Безенчукская 380, Казанская 560, Московская 39, Nutka, Немчиновская 17 и Torrild. К наименее устойчивым краснозерным сортам были отнесены следующие: Велижанская, TAM 200, Казанская 285, Yasen, Ariesan, Силуэт, Статус, Ермак, Калач 60, Лидия. Наши данные согласуются с результатами других исследователей, полученными для отдельных сортов по ИП и/или ЧП. Так, в краснозерную группу сортов, наиболее устойчивых к ПЗНК, включены сорта Московская 39 и Безенчукская 380, а сорта TAM 200, Ермак и Калач 60 отнесены к наименее устойчивым сортам по изучаемому признаку (табл. 1, Дополнительные материалы) [36–40]. Кроме того, потребуется дальнейшее изучение причины различий в показаниях ИП среди краснозерных сортов озимой мягкой пшеницы.
Таким образом, оценив коллекцию озимой мягкой пшеницы на устойчивость к прорастанию зерна на корню, было показано, что оптимально проводить оценку индекса прорастания на молочной/восковой стадии созревания зерна. Следует отметить, что корреляции между количеством доминантных аллелей и степенью окраски зерна (цифровая оценка) и индексом прорастания у краснозерных сортов пшеницы выявлено не было. Обнаружена невысокая отрицательная корреляция между числом падения и индексом прорастания на молочной/восковой стадии. Показано, что данные по активности α-амилазы, определяемые разными методами на разных стадиях созревания зерна и независимо от места выращивания, коррелируют между собой.
Выращивание растений проводили в Центре коллективного пользования “Лаборатория искусственного выращивания растений” Федерального исследовательского центра Института цитологии и генетики Сибирского отделения Российской академии наук, который поддерживается бюджетным проектом № FWNR-2022-0017.
Финансирование исследования осуществлялось Российским научным фондом, проект № 21-76-30003.
Настоящая статья не содержит каких-либо исследований с участием людей и животных в качестве объектов. Авторы заявляют об отсутствии конфликта интересов.
About the authors
А. В. Федяева
Федеральное государственное бюджетное учреждение науки “Федеральный исследовательский центр Институт цитологии и генетики Сибирского отделения Российской академии наук”; Федеральное государственное бюджетное учреждение науки Сибирский институт физиологии и биохимии растений Сибирского отделения Российской академии наук
Author for correspondence.
Email: fedyaeva.anna@mail.ru
Russian Federation, Новосибирск; Иркутск
С. Д. Афонникова
Федеральное государственное бюджетное учреждение науки “Федеральный исследовательский центр Институт цитологии и генетики Сибирского отделения Российской академии наук”; Курчатовский геномный центр Институт цитологии и генетики Сибирского отделения Российской академии наук; Новосибирский национальный исследовательский государственный университет
Email: fedyaeva.anna@mail.ru
Russian Federation, Новосибирск; Новосибирск; Новосибирск
Д. А. Афонников
Федеральное государственное бюджетное учреждение науки “Федеральный исследовательский центр Институт цитологии и генетики Сибирского отделения Российской академии наук”; Курчатовский геномный центр Институт цитологии и генетики Сибирского отделения Российской академии наук
Email: fedyaeva.anna@mail.ru
Russian Federation, Новосибирск; Новосибирск
О. Г. Смирнова
Федеральное государственное бюджетное учреждение науки “Федеральный исследовательский центр Институт цитологии и генетики Сибирского отделения Российской академии наук”; Курчатовский геномный центр Институт цитологии и генетики Сибирского отделения Российской академии наук
Email: fedyaeva.anna@mail.ru
Russian Federation, Новосибирск; Новосибирск
В. Н. Деева
Общество с ограниченной ответственностью “Научно-производственное объединение «Бетагран Семена»”
Email: fedyaeva.anna@mail.ru
Russian Federation, Москва
А. И. Прянишников
Департамент селекции и семеноводства сельскохозяйственных культур, Акционерное общество “Щелково Агрохим”
Email: fedyaeva.anna@mail.ru
Russian Federation, Щелково
Е. А. Салина
Федеральное государственное бюджетное учреждение науки “Федеральный исследовательский центр Институт цитологии и генетики Сибирского отделения Российской академии наук”; Курчатовский геномный центр Институт цитологии и генетики Сибирского отделения Российской академии наук
Email: fedyaeva.anna@mail.ru
Russian Federation, Новосибирск; Новосибирск
References
- Tai L., Wang H.J., Xu X.J., Sun W.H., Ju L., Liu W.T., Li W.Q., Sun J., Chen K.M. Pre‐harvest sprouting in cereals: genetic and biochemical mechanisms // J. Exp. Bot. 2021. V. 72. P. 2857. https://doi org/10.1093/jxb/erab024
- Ali A., Cao J., Jiang H., Chang C., Zhang H.P., Sheikh S.W., Shah L., Ma C. Unraveling molecular and genetic studies of wheat (Triticum aestivum L.) resistance against factors causing pre-harvest sprouting // Agronomy. 2019. V. 9. P. 117. https://doi.org/10.3390/agronomy9030117
- Sohn S.I., Pandian S., Kumar T.S., Zoclanclounon Y.A.B., Muthuramalingam P., Shilpha J., Satish L., Ramesh M. Seed dormancy and pre-harvest sprouting in rice – an updated overview // Int. J. Mol. Sci. 2021. V. 22. 11804. https://doi.org/10.3390/ijms222111804
- Kashiwakura Y., Kobayashi D., Jikumaru Y., Takebayashi Y., Nambara E., Seo M., Kamiya Y., Kushiro T., Kawakami N. Highly sprouting-tolerant wheat grain exhibits extreme dormancy and cold imbibition-resistant accumulation of abscisic acid // Plant Cell Physiol. 2016. V. 57. P. 715. https://doi.org/10.1093/pcp/pcw051
- Mieog C.J., Janecek S., Ral J.P. New insight in cereal starch degradation: identification and structural characterization of four α-amylases in bread wheat // Amylase. 2017. V. 1. P. 35. https://doi.org/10.1515/amylase-2017-0004
- Laethauwer S.D., Riek J.D., Stals I., Reheul D., Haesaert G. α-Amylase gene expression during kernel development in relation to pre-harvest sprouting in wheat and triticale // Acta Physiol. Plant. 2013. V. 35. P. 2927. https://doi.org/10.1007/s11738-013-1323-9
- Vetch J.M., Stougaard R.N., Martin J.M., Giroux M.J. Review: revealing the genetic mechanisms of pre-harvest sprouting in hexaploid wheat (Triticum aestivum L.) // Plant Sci. 2019. V. 281. P. 180. https://doi.org/10.1016/j.plantsci.2019.01.004
- Mares D.J., Mrva K. Wheat grain preharvest sprouting and late maturity alpha-amylase // Planta. 2014. V. 240. P. 1167. https://doi.org/10.1007/s00425-014-2172-5
- Kottearachchi N.S., Uchino N., Kato K., Miura H. Increased grain dormancy in white-grained wheat by introgression of preharvest sprouting tolerance QTLs // Euphytica. 2006. V. 152. P. 421. https://doi.org/10.1007/s10681-006-9231-3
- Федяева А.В., Салина Е.А., Шумный В.К. Факторы, влияющие на прорастание зерна на корню у мягкой пшеницы (Triticum aestivum L.), и методы их оценки // Генетика. 2023. Т. 59. С. 5. https://doi. org/10.31857/S0016675823010058
- Хлесткина Е.К. Гены, детерминирующие окраску различных органов пшеницы // Вавиловский журнал генетики и селекции. 2012. Т. 16. С. 202.
- Groos C., Gay G., Perretant M.R., Gervais L., Bernard M., Dedryver F., Charmet G. Study of the relationship between pre-harvest sprouting and grain color by quantitative trait loci analysis in a whitexred grain bread-wheat cross // Theor. Appl. Genet. 2002. V. 104. P. 39. https://doi.org/10.1007/s001220200004
- Kumar M., Kumar S., Sandhu K.S., Kumar N., Saripalli G., Prakash R., Nambardar A., Sharma H., Gautam T., Balyan H.S., Gupta P.K. GWAS and genomic prediction for pre-harvest sprouting tolerance involving sprouting score and two other related traits in spring wheat // Mol. Breed. 2023. V. 43. Р. 14. https://doi.org/10.1007/s11032-023-01357-5
- Komyshev E., Genaev M., Afonnikov D. Evaluation of the SeedCounter, a mobile application for grain phenotyping // Front. Plant Sci. 2017. V. 7. Р. 1990. https://doi.org/10.3389/fpls.2016.01990
- Afonnikov D.A., Komyshev E.G., Efimov V.M., Genaev M.A., Koval V.S., Gierke P.U., Börner A. Relationship between the characteristics of bread wheat grains, storage time and germination // Plants. 2022. V. 11. P. 35. https://doi.org/10.3390/plants11010035
- Крупнов В.А., Крупнова О.В. Подходы по улучшению качества зерна пшеницы: селекция на число падения // Вавиловский журнал генетики и селекции. 2015. V. 19. P. 604. https://doi.org/10.18699/VJ15.07
- Shcherban A.B., Kuvaeva D.D., Mitrofanova O.P., Khverenets S.E., Pryanishnikov A.I., Salina E.A. Targeting the B1 gene and analysis of its polymorphism associated with awned/awnless trait in Russian germplasm collections of common wheat // Plants. 2021. V. 10. P. 2285. https://doi.org/10.3390/plants10112285
- Walker-Simmons M. Enhancement of ABA responsiveness in wheat embryos by high temperature // Plant Cell Environ. 1988. V. 11. P. 769.
- McCleary B.V., McNally M., Monaghan D., Mugford D.C. Measurement of α-amylase activity in white wheat flour, milled malt, and microbial enzyme preparations, using the Ceralpha assay: collaborative study // J. AOAC Int. 2002. V. 85. P. 1096.
- Бундина О.И., Герасина А.Ю. Введение новых межгосударственных стандартов на зерно, продукты его переработки и методы определения качества // Инновационные технологии производства и хранения материальных ценностей для государственных нужд. 2019. С. 63.
- Сколотнева Е.С., Леонова И.Н., Букатич Е.Ю., Салина Е.А. Методические подходы к идентификации эффективных генов, определяющих устойчивость пшеницы к комплексу грибных заболеваний // Вавиловский журнал генетики и селекции. 2017. Т. 21. С. 862. https://doi.org/10.18699/VJ17.307
- Himi E., Maekawa M., Miura H., Noda K. Development of PCR markers for Tamyb10 related to R-1, red grain color gene in wheat // Theor. Appl. Genet. 2011. V. 122. P. 1561. https://doi.org/10.1007/s00122-011-1555-2
- Xu S., Chen M., Feng T., Zhan L., Zhou L., Yu G. Use ggbreak to effectively utilize plotting space to deal with large datasetts and outliers // Front. Genet. 2021. V. 12. P. 774846. https://doi.org/10.3389/fgene.2021.774846
- Derkx A.P., Mares D.J. Late-maturity α-amylase expression in wheat is influenced by genotype, temperature and stage of grain development // Planta. 2020. V. 251. P. 51. https://doi.org/10.1007/s00425-020-03341-1
- Эррера В.Э. Эталоник – автоматическая система определения истинного значения числа падения // Хлебопродукты. 2018. № 10. С. 20.
- Wang Y., Wang X.L., Meng J.Y., Zhang Y.J., He Z.H., Yang Y. Characterization of Tamyb10 allelic variants and development of STS marker for pre-harvest sprouting resistance in Chinese bread wheat // Mol. Breed. 2016. V. 36. P. 148. https://doi.org/10.1007/s11032-016-0573-9
- Gao X., Hu C.H., Li H.Z. Yao Y.J., Meng M., Dong J., Zhao W.C., Chen Q.J., Li X.Y. Factors affecting pre-harvest sprouting resistance in wheat (Triticum aestivum L.): a review // J. Anim. Plant Sci. 2013. V. 23. P. 556.
- Mares D., Himi E. The role of TaMYB10-A1 of wheat (Triticum aestivum L.) in determining grain coat colour and dormancy phenotype // Euphytica. 2021. V. 217. P. 89. https://doi.org/10.1007/s10681-021-02826-8
- Nyachiro J.M., Clarke F.R., DePauw R.M., Knox R.E., Armstrong K.C. Temperature effects on seed germination and expression of seed dormancy in wheat // Euphytica. 2002. V. 126. P. 123.
- Fišerová H., Hartman I., Prokeš J. The effect of weather and the term of malting on malt quality // Plant Soil Environ. 2015. V. 61. P. 393. https://doi.org/10.17221/174/2015-PSE
- Rasul G., Humphreys G.D., Wu J., Brule-Babel A., Fofana B., Glover K.D. Evaluation of preharvest sprouting traits in a collection of spring wheat germplasm using genotype and genotype ´ environment interaction model // Plant Breed. 2012. V. 131. P. 244. https://doi.org/10.1111/j.1439-0523.2011.01931.x
- Yu N., Laurenz R., Siler L., Ng P.K.W., Souza E., Lewis J.M. Evaluation of α-amylase activity and falling number around maturity for soft white and soft red wheat varieties in Michigan // Cereal Res. Commun. 2015. V. 43. P. 672. https://doi org/10.1556/0806.43. 2015.026
- Simsek S., Ohm J.B., Lu H., Rugg M., Berzonsky W., Alamri M.S., Mergoum M. Effect of pre-harvest sprouting on physicochemical properties of starch in wheat // Foods. 2014. V. 3. P. 194. https://doi org/10.3390/foods3020194
- Kondhare K.R., Farrell A.D., Kettlewell P.S., Hedden P., Monaghan J.M. Pre-maturity α-amylase in wheat: the role of abscisic acid and gibberellins // J. Cereal Sci. 2015. V. 63. P. 95. https://doi org/10.1016/j.jcs.2015.03.004
- Kiszonas A.M., Engle D.A., Pierantoni L.A., Morris C.F. Relationships between falling number, alpha-amylase activity, milling, cookie, and sponge cake quality of soft white wheat // Cereal Chem. 2018. V. 95. P. 373. https://doi.org/10.1002/cche.10041
- Кузьмич М.А., Сандухадзе Б.И., Мамедов Р.З., Давыдова Н.В., Кузьмич Л.С. Устойчивость к прорастанию в колосе зерновых культур селекции ФИЦ “Немчиновка” // Инновационные технологии производства и хранения материальных ценностей для государственных нужд / Под ред. Ю.И. Никитченко, К.Б. Гурьева, С.Л. Белецкого, Т.Б. Гусева, Д.Ю. Пономарева, А.Н. Рогова. Москва: Галлея-Принт, 2019. С. 93.
- Сухоруков А.Ф., Сухоруков А.А., Шаболкина Е.Н., Пронович Л.В. Селекционное улучшение озимой пшеницы по признаку “число падения” // Зерновое хозяйство России. 2017. С. 40.
- Оразаева И.В. Оценка сортов озимой мягкой пшеницы различных экотипов в условиях Юго-Западной части ЦЧР // Инновации в АПК: проблемы и перспективы. 2018. С. 135.
- Крупнова О.В., Свистунов Ю.С. Устойчивость к предуборочному прорастанию и число падения у озимой мягкой пшеницы в Поволжье // Доклады Российской академии сельскохозяйственных наук. 2014. № 5. С. 3.
- Wu J.M., Carver B.F. Sprout damage and preharvest sprout resistance in hard white winter wheat // Crop Sci. 1999. V. 39. P. 441.
Supplementary files







