Анализ провоспалительных свойств растительных оксилипинов, образующихся в гидропероксидлиазной ветви
- Авторы: Радзюкевич Я.В.1, Тихонов К.Г.1, Дегтярёв Е.А.1, Дегтярёва В.И.2,3, Савченко Т.В.1
-
Учреждения:
- Институт фундаментальных проблем биологии, Федеральный исследовательский центр “Пущинский научный центр биологических исследований Российской академии наук”
- Московский государственный университет имени М.В. Ломоносова, биотехнологический факультет
- Филиал Института биоорганической химии имени академиков М.М. Шемякина и Ю.А. Овчинникова Российской академии наук
- Выпуск: Том 70, № 7 (2023)
- Страницы: 915-922
- Раздел: ЭКСПЕРИМЕНТАЛЬНЫЕ СТАТЬИ
- URL: https://ogarev-online.ru/0015-3303/article/view/233801
- DOI: https://doi.org/10.31857/S0015330323600948
- EDN: https://elibrary.ru/BJPMSQ
- ID: 233801
Цитировать
Полный текст
Аннотация
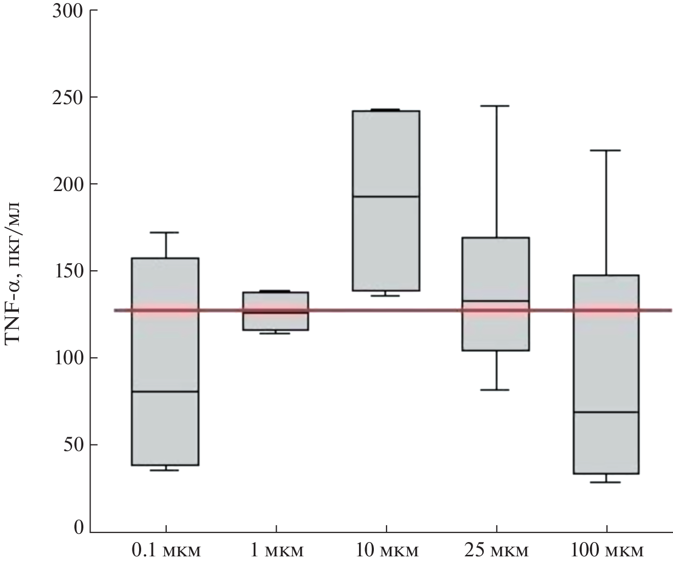
Коротко- и среднецепочечные альдегиды и их производные, образующиеся из жирных кислот в результате активности ферментов гидропероксидлиаз, присутствуют во многих продуктах растительного происхождения. Их часто используют в качестве добавок к продуктам питания для увеличения срока годности и придания аромата свежести. Учитывая, что эти соединения могут всасываться клетками кишечника и поступать в системную циркуляцию, важно оценить их влияние на здоровье человека. В данной работе мы оценили потенциальную биологическую активность альдегидов и спиртов с длиной цепи от 6 до 9 углеродов и проверили их провоспалительную активность на экспериментальной системе, основанной на использовании цельной крови доноров. Анализ показал, что девятиуглеродные оксилипины стимулируют наработку провоспалительного цитокина TNF-α (фактор некроза опухоли-альфа), при этом альдегиды активировали синтез TNF-α в меньшей степени, чем спирты. Шести- и восьмиуглеродные оксилипины не проявляли провоспалительную активность. Полученная информация может быть полезна для разработки диетологических рекомендаций для людей, страдающих воспалительными заболеваниями.
Ключевые слова
Об авторах
Я. В. Радзюкевич
Институт фундаментальных проблем биологии, Федеральный исследовательский центр“Пущинский научный центр биологических исследований Российской академии наук”
Email: savchenko_t@rambler.ru
Россия, Московская область, Пущино
К. Г. Тихонов
Институт фундаментальных проблем биологии, Федеральный исследовательский центр“Пущинский научный центр биологических исследований Российской академии наук”
Email: savchenko_t@rambler.ru
Россия, Московская область, Пущино
Е. А. Дегтярёв
Институт фундаментальных проблем биологии, Федеральный исследовательский центр“Пущинский научный центр биологических исследований Российской академии наук”
Email: savchenko_t@rambler.ru
Россия, Московская область, Пущино
В. И. Дегтярёва
Московский государственный университет имени М.В. Ломоносова,биотехнологический факультет; Филиал Института биоорганической химии имени академиков М.М. Шемякина и Ю.А. Овчинникова
Российской академии наук
Email: savchenko_t@rambler.ru
Россия, Москва; Россия, Московская область, Пущино
Т. В. Савченко
Институт фундаментальных проблем биологии, Федеральный исследовательский центр“Пущинский научный центр биологических исследований Российской академии наук”
Автор, ответственный за переписку.
Email: savchenko_t@rambler.ru
Россия, Московская область, Пущино
Список литературы
- Liavonchanka A., Feussner I. Lipoxygenases: occurrence, functions and catalysis // J. Plant Physiol. 2006. V. 163. P. 348. https://doi.org/10.1016/j.jplph.2005.11.006
- Andreou A., Feussner I. Lipoxygenases - structure and reaction mechanism // Phytochem. 2009. V. 70. P. 1504. https://doi.org/10.1016/j.phytochem.2009.05.008
- Brash A.R., Ingram C.D., Harris T.M. Analysis of a specific oxygenation reaction of soybean lipoxygenase-1 with fatty acids esterified in phospholipids // Biochemistry. 1987. V. 26. P. 5465. https://doi.org/10.1021/bi00391a038
- Leon J., Royo J., Vancanneyt G., Sanz C., Silkowski H., Griffiths G., Sanchez-Serrano J.J. Lipoxygenase H1 gene silencing reveals a specific role in supplying fatty acid hydroperoxides for aliphatic aldehyde production // J. Biol. Chem. 2002. V. 277. P. 416. https://doi.org/10.1074/jbc.M107763200
- Nakashima A., von Reuss S.H., Tasaka H., Nomura M., Mochizuki S., Iijima Y., Aoki K., Shibata D., Boland W., Takabayashi J., Matsui K. Traumatin- and Dinortraumatin-containing Galactolipids in Arabidopsis: their formation in tissue-disrupted leaves as counterparts of green leaf volatiles // J. Biol. Chem. 2013. V. 288. P. 26078. https://doi.org/10.1074/jbc.M113.487959
- Lee D.S., Nioche P., Hamberg M., Raman C.S. Structural insights into the evolutionary paths of oxylipin biosynthetic enzymes // Nature. 2008. V. 455. P. 363. https://doi.org/10.1038/nature07307
- Grechkin A.N., Hamberg M. The “heterolytic hydroperoxide lyase” is an isomerase producing a short-lived fatty acid hemiacetal // Biochim. Biophys. Acta. 2004. V. 1636. P. 47. https://doi.org/10.1016/j.bbalip.2003.12.003
- Matsui K., Kurishita S., Hisamitsu A., Kajiwara T. A lipid-hydrolysing activity involved in hexenal formation // Biochem. Soc. Trans. 2000. V. 28. P. 857.
- Zimmerman D.C., Coudron C.A. Identification of traumatin, a wound hormone, as 12-oxo-trans-10-dodecenoic acid // Plant Physiol. 1979. V. 63. P. 536. https://doi.org/10.1104/pp.63.3.536
- Kallenbach M., Gilardoni P.A., Allmann S., Baldwin I.T., Bonaventure G. C12 derivatives of the hydroperoxide lyase pathway are produced by product recycling through lipoxygenase-2 in Nicotiana attenuata leaves // New Phytol. 2011. V. 191. P. 1054. https://doi.org/10.1111/j.1469-8137.2011.03767.x
- Stumpe M., Bode J., Göbel C., Wichard T., Schaaf A., Frank W., Frank M., Reski R., Pohnert G., Feussner I. Biosynthesis of C9-aldehydes in the moss Physcomitrella patens // Biochim. Biophys. Acta. 2006. V. 1761. P. 301. https://doi.org/10.1016/j.bbalip.2006.03.008
- Tijet N., Schneider C., Muller B.L., Brash A.R. Biogenesis of volatile aldehydes from fatty acid hydroperoxides: molecular cloning of a hydroperoxide lyase (CYP74C) with specificity for both the 9- and 13-hydroperoxides of linoleic and linolenic acids // Arch Biochem Biophys. 2001. V. 386. P. 281. https://doi.org/10.1006/abbi.2000.2218
- Noordermeer M.A., Veldink G.A., Vliegenthart J.F.G. Alfalfa contains substantial 9-hydroperoxide lyase activity and a 3Z:2E-enal isomerase // FEBS lett. 1999. V. 443. P. 201. https://doi.org/10.1016/S0014-5793(98)01706-2
- Kunishima M., Yamauchi Y., Mizutani M., Kuse M., Takikawa H., Sugimoto Y. Identification of (Z)-3:(E)-2-hexenal isomerases essential to the production of the leaf aldehyde in plants // J. Biol. Chem. 2016. V. 291. P. 14023. https://doi.org/10.1074/jbc.M116.726687
- Bate N.J., Riley J.C.M., Thompson J.E., Rothstein S.J. Quantitative and qualitative differences in C6-volatile production from the lipoxygenase pathway in an alcohol dehydrogenase mutant of Arabidopsis thaliana // Physiol. Plant. 1998. V. 104. P. 97. https://doi.org/10.1034/j.1399-3054.1998.1040113.x
- Tanaka T., Ikeda A., Shiojiri K., Ozawa R., Shiki K., Nagai-Kunihiro N., Fujita K., Sugimoto K., Yamato K.T., Dohra H., Ohnishi T., Koeduka T., Matsui K. Identification of a hexenal reductase that modulates the composition of green leaf volatiles // Plant Physiol. 2018. V. 178. P. 552. https://doi.org/10.1104/pp.18.00632
- D'Auria J.C., Pichersky E., Schaub A., Hansel A., Gershenzon J. Characterization of a BAHD acyltransferase responsible for producing the green leaf volatile (Z)-3-hexen-1-yl acetate in Arabidopsis thaliana // Plant J. 2007. V. 49. P. 194. https://doi.org/10.1111/j.1365-313X.2006.02946.x
- Kihara H., Tanaka M., Yamato K.T., Horibata A., Yamada A., Kita S., Ishizaki K., Kajikawa M., Fukuzawa H., Kohchi T., Akakabe Y., Matsui K. Arachidonic acid-dependent carbon-eight volatile synthesis from wounded liverwort (Marchantia polymorpha) // Phytochemistry. 2014. V. 107. P. 42. https://doi.org/10.1016/j.phytochem.2014.08.008
- Noordermeer M.A., Van Dijken A.J., Smeekens S.C., Veldink G.A., Vliegenthart J.F. Characterization of three cloned and expressed 13-hydroperoxide lyase isoenzymes from alfalfa with unusual N-terminal sequences and different enzyme kinetics // Eur. J. Biochem. 2000. V. 267. P. 2473. https://doi.org/10.1046/j.1432-1327.2000.01283.x
- Matsui K., Minami A., Hornung E., Shibata H., Kishimoto K., Ahnert V., Kindl H., Kajiwara T., Feussner I. Biosynthesis of fatty acid derived aldehydes is induced upon mechanical wounding and its products show fungicidal activities in cucumber // Phytochemistry. 2006. V. 67. P. 649. https://doi.org/10.1016/j.phytochem.2006.01.006
- Prost I., Dhondt S., Rothe G., Vicente J., Rodriguez M.J., Kift N., Carbonne F., Griffiths G., Esquerré-Tugayé M.-Th., Rosahl S., Castresana C., Hamberg M., Fournier J. Evaluation of the antimicrobial activities of plant oxylipins supports their involvement in defense against pathogens // Plant Physiol. 2005. V. 139. P. 1902. https://doi.org/10.1104/pp.105.066274
- Matsui K. Green leaf volatiles: hydroperoxide lyase pathway of oxylipin metabolism // Curr. Opin. Plant Biol. 2006. V. 9. P. 274. https://doi.org/10.1016/j.pbi.2006.03.002
- Savchenko T., Pearse I.S., Ignatia L., Karban R., Dehesh K. Insect herbivores selectively suppress the HPL branch of the oxylipin pathway in host plants // Plant J. 2013. V. 73. P. 653. https://doi.org/10.1111/tpj.12064
- Loreto F., Barta C., Brilli F., Nogues I. On the induction of volatile organic compound emissions by plants as consequence of wounding or fluctuations of light and temperature // Plant Cell Environ. 2006. V. 29. P. 1820. https://doi.org/10.1111/j.1365-3040.2006.01561.x
- Шипелин В.А., Сидорова Ю.С. Оксилипины – биологически активные вещества пищи // Вопросы питания. 2020. Т. 89. С.16 https://doi.org/10.24411/0042-8833-2020-10073
- Thies F., Miles E.A., Nebe-von-Caron G., Powell J.R., Hurst T.L., Newsholme E.A., Calder P.C. Influence of dietary supplementation with long-chain n-3 or n-6 polyunsaturated fatty acids on blood inflammatory cell populations and functions and on plasma soluble adhesion molecules in healthy adults // Lipids. 2001. V. 36. P. 1183. https://doi.org/10.1007/s11745-001-0831-4
- Radzyukevich Y.V., Kosyakova N.I., Prokhorenko I.R. Synergistic effect of Dermatophagoides pteronyssinus allergen and Escherichia coli lipopolysaccharide on human blood cells // PloS One. 2018. V. 13:e0207311. https://doi.org/10.1371/journal.pone.0207311
- Barret R. Medicinal Chemistry: fundamentals. Elsevier. 2018. 172 p.
- Veber D.F., Johnson S.R., Cheng H.-Y., Smith B.R., Ward K.W., Kopple K.D. Molecular properties that influence the oral bioavailability of drug candidates // J. Med. Chem. 2002. V. 45. P. 2615. https://doi.org/10.1021/jm020017n
- Филимонов Д.А., Лагунин А.А., Глориозова Т.А., Рудик А.В., Дружиловский Д.С., Погодин П.В., Поройко В.В. Предсказание спектров биологической активности органических соединений с помощью веб-ресурса PASS ONLINE // Химия гетероциклических соединений. 2014. Т. 3. С. 483.
- Kumar A., Taghi Khani A., Sanchez Ortiz A., Swaminathan S. GM-CSF: a double-edged sword in cancer immunotherapy // Front. Immunol. 2022. V. 13. P. 901277. https://doi.org/10.3389/fimmu.2022.901277
- Savchenko T., Degtyaryov E., Radzyukevich Y., Buryak V. Therapeutic potential of plant oxylipins // Int. J. Mol. Sci. 2022. V. 23. P. 14627. https://doi.org/10.3390/ijms232314627
- Lehtonen M., Kekäläinen S., Nikkilä I., Kilpeläinen P., Tenkanen M., Mikkonen K.S. Active food packaging through controlled in situ production and release of hexanal // Food Chem.: X. 2020. V. 5. P. 100074. https://doi.org/10.1016/j.fochx.2019.100074
- Mussinan C.J., Mookherjee B.D., Vock M.H., Schmitt F.L., Granda E.J., Vinals J.F., Kiwala J. Flavoring with a mixture of cis-3-hexenal, trans-2-hexenal, cis-3-hexenyl formate, cis-3-hexenol and cis-3-hexenyl-cis-3-hexenoate. US Patent № 4241098. 1979.
- Vincenti S., Mariani M., Alberti J.-C., Jacopini S., Brunini-Bronzini de Caraffa V., Berti L., Maury J. Biocatalytic synthesis of natural green leaf volatiles using the lipoxygenase metabolic pathway // Catalysts. 2019. V. 9. P. 873. https://doi.org/10.3390/catal9100873
- Karg K., Dirsch V.M., Vollmar A.M., Cracowski J.L., Laporte F., Mueller M.J. Biologically active oxidized lipids (phytoprostanes) in the plant diet and parenteral lipid nutrition // Free Radic. Res. 2007. V. 41. P. 25. https://doi.org/10.1080/10715760600939734
- Larsson K., Harrysson H., Havenaar R., Alminger M., Undeland I. Formation of malondialdehyde (MDA), 4‑hydroxy-2-hexenal (HHE) and 4-hydroxy-2-nonenal (HNE) in fish and fish oil during dynamic gastrointestinal in vitro digestion // Food Funct. 2016. V. 7. P. 1176. https://doi.org/10.1039/c5fo01401h
- Goicoechea E., Brandon E.F., Blokland M.H., Guillén M.D. Fate in digestion in vitro of several food components, including some toxic compounds coming from omega-3 and omega-6 lipids // Food Chem. Toxicol. 2011. V. 49. P. 115. https://doi.org/10.1016/j.fct.2010.10.005
- Salem M.L. Immunomodulatory and therapeutic properties of the Nigella sativa L. seed // Int. Immunopharmacol. 2005. V. 5. P. 1749. https://doi.org/10.1016/j.intimp.2005.06.008
- Block K.I., Mead M.N. Immune system effects of echinacea, ginseng, and astragalus: a review // Integr. Cancer Ther. 2003. V. 2. P. 247. https://doi.org/10.1177/1534735403256419
Дополнительные файлы




