Стериновый состав лишайника Peltigera canina при действии неблагоприятных температур
- Авторы: Валитова Ю.Н.1, Хабибрахманова В.Р.1,2, Бабаев В.М.3, Уваева В.Л.1, Хайруллина А.Ф.1, Рахматуллина Д.Ф.1, Галеева Е.И.1, Свид М.А.1, Минибаева Ф.В.1
-
Учреждения:
- Федеральное государственное бюджетное учреждение науки Казанский институт биохимии и биофизики – обособленное структурное подразделение Федерального исследовательского центра Казанский научный центр Российской академии наук
- Федеральное государственное бюджетное образовательное учреждение высшего образования Казанский национальный исследовательский технологический университет
- Федеральное государственное бюджетное учреждение науки Институт органической и физической химии им. А.Е. Арбузова – обособленное структурное подразделение Федерального исследовательского центра Казанский научный центр Российской академии наук
- Выпуск: Том 70, № 7 (2023)
- Страницы: 887-897
- Раздел: ЭКСПЕРИМЕНТАЛЬНЫЕ СТАТЬИ
- URL: https://ogarev-online.ru/0015-3303/article/view/233798
- DOI: https://doi.org/10.31857/S0015330323600997
- EDN: https://elibrary.ru/BGZAUW
- ID: 233798
Цитировать
Полный текст
Аннотация
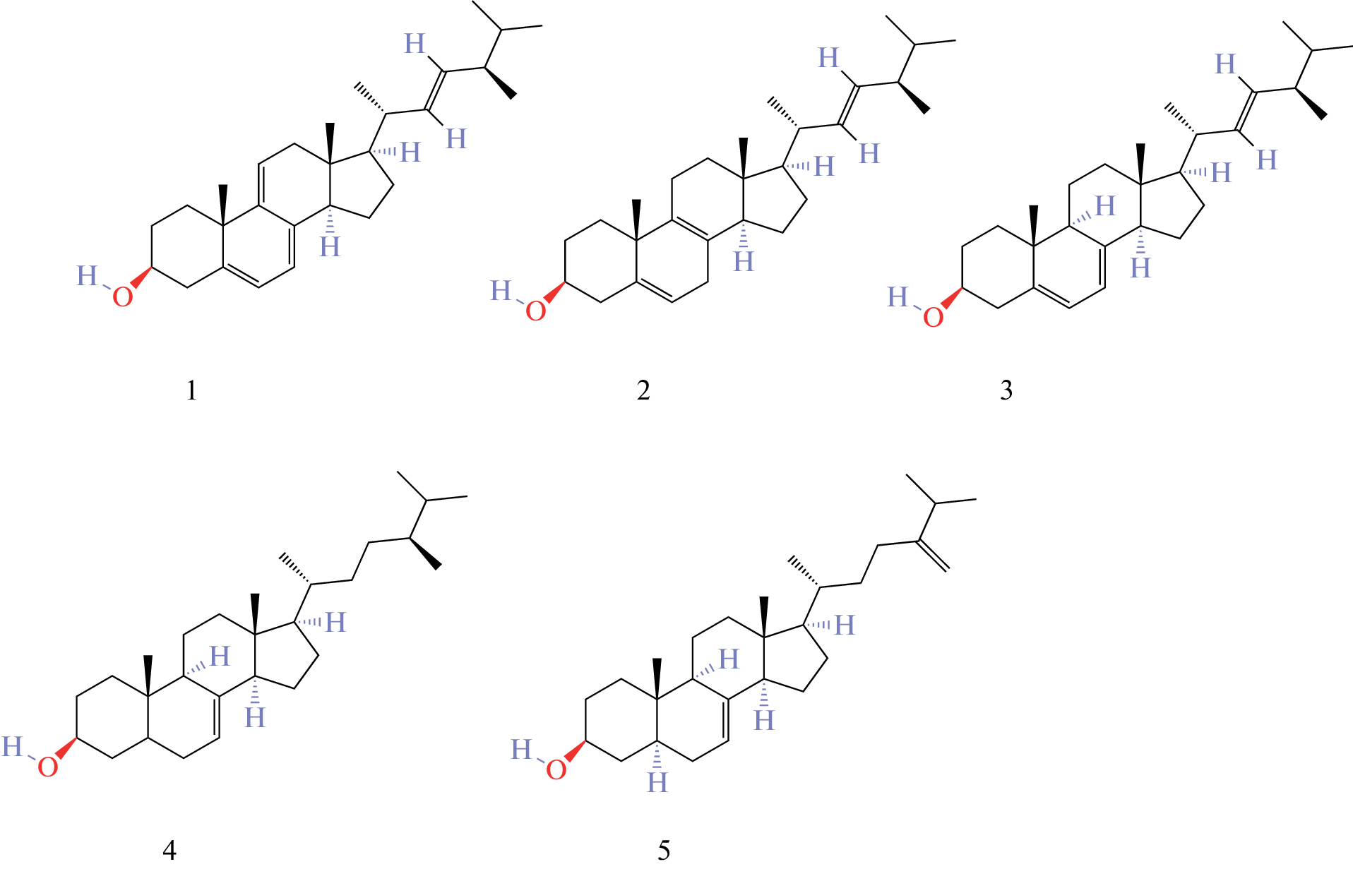
В настоящее время особое внимание уделяется исследованию механизмов стрессовой устойчивости организмов-экстремофилов, способных выживать в экстремальных условиях. К таким организмам относятся лишайники, представляющие собой симбиотические ассоциации грибов и водорослей и/или цианобактерий. Высокая стрессовая устойчивость лишайников обусловлена наличием у них широкого спектра биологически активных метаболитов, в том числе стеринов. Известно, что лишайники обладают разнообразным и уникальным стериновым составом, отличающимся от такового у грибов и водорослей. Стерин-опосредованные биохимические механизмы стрессовой устойчивости лишайников изучены недостаточно полно и не систематизированы. Температурный стресс является достаточно привычным для лишайников, часто произрастающих в неблагоприятных условиях. Известно, что сухие талломы лишайников способны выдерживать изменения температур в больших диапазонах, тогда как гидратированные талломы гораздо более чувствительны к действию неблагоприятных температур. В настоящей работе были исследованы стресс-индуцированные изменения дыхательной активности и индекса мембранной стабильности (ИМС), а также стеринового профиля гидратированных талломов лишайника Peltigera canina (L.) Willd. при действии повышенной (+40°С) и пониженной (– 20°С) температур. Было показано, что неблагоприятные температуры вызывали подавление интенсивности дыхания и снижение ИМС талломов лишайника. Хроматомасс-спектрометрический анализ показал наличие у лишайника P. canina эргостерина, дегидроэргостерина, эпистерина, лихестерина и фунгистерина. При действии обоих стрессовых факторов происходило снижение уровня эргостерина и увеличение доли эпистерина. В условиях холодового стресса также увеличивалась доля дегидроэргостерина, доля лихестерина снижалась, а относительное содержание более насыщенного стерина фунгистерина оставалось на контрольном уровне. Можно полагать, что стресс-индуцированные изменения стеринового профиля лишайника при низкотемпературном воздействии создают оптимальный баланс стеринов в мембранах, который обеспечивает условия для разворачивания успешной стратегии, ведущей к адаптации лишайника к действию стрессора.
Ключевые слова
Об авторах
Ю. Н. Валитова
Федеральное государственное бюджетное учреждение науки Казанский институт биохимии и биофизики – обособленное структурное подразделение Федерального исследовательского центраКазанский научный центр Российской академии наук
Email: yulavalitova@mail.ru
Россия, Казань
В. Р. Хабибрахманова
Федеральное государственное бюджетное учреждение науки Казанский институт биохимии и биофизики – обособленное структурное подразделение Федерального исследовательского центраКазанский научный центр Российской академии наук; Федеральное государственное бюджетное образовательное учреждение высшего образования
Казанский национальный исследовательский технологический университет
Email: yulavalitova@mail.ru
Россия, Казань; Россия, Казань
В. М. Бабаев
Федеральное государственное бюджетное учреждение наукиИнститут органической и физической химии им. А.Е. Арбузова – обособленное структурное подразделение Федерального исследовательского центра Казанский научный центр Российской академии наук
Email: yulavalitova@mail.ru
Россия, Казань
В. Л. Уваева
Федеральное государственное бюджетное учреждение науки Казанский институт биохимии и биофизики – обособленное структурное подразделение Федерального исследовательского центраКазанский научный центр Российской академии наук
Email: yulavalitova@mail.ru
Россия, Казань
А. Ф. Хайруллина
Федеральное государственное бюджетное учреждение науки Казанский институт биохимии и биофизики – обособленное структурное подразделение Федерального исследовательского центраКазанский научный центр Российской академии наук
Email: yulavalitova@mail.ru
Россия, Казань
Д. Ф. Рахматуллина
Федеральное государственное бюджетное учреждение науки Казанский институт биохимии и биофизики – обособленное структурное подразделение Федерального исследовательского центраКазанский научный центр Российской академии наук
Email: yulavalitova@mail.ru
Россия, Казань
Е. И. Галеева
Федеральное государственное бюджетное учреждение науки Казанский институт биохимии и биофизики – обособленное структурное подразделение Федерального исследовательского центраКазанский научный центр Российской академии наук
Email: yulavalitova@mail.ru
Россия, Казань
М. А. Свид
Федеральное государственное бюджетное учреждение науки Казанский институт биохимии и биофизики – обособленное структурное подразделение Федерального исследовательского центраКазанский научный центр Российской академии наук
Email: yulavalitova@mail.ru
Россия, Казань
Ф. В. Минибаева
Федеральное государственное бюджетное учреждение науки Казанский институт биохимии и биофизики – обособленное структурное подразделение Федерального исследовательского центраКазанский научный центр Российской академии наук
Автор, ответственный за переписку.
Email: yulavalitova@mail.ru
Россия, Казань
Список литературы
- Дьяков Ю.Т. Ботаника. Курс альгологии и микологии. Москва: Изд-во МГУ, 2007. 559 с.
- Armstrong R.A. Adaptation of lichens to extreme conditions // Plant Adaptation Strategies Changing Environment / Eds Shukla V., Kumar S., Kumar N. Springer. 2017. P. 1. https://doi.org/10.1007/978-981-10-6744-0_1
- Stocker-Wörgötter E. Stress and developmental strategies of lichens // Symbioses and Stress. Cellular Origin, Life in Extreme Habitats and Astrobiology / Eds Seckbach J., Grube M. Springer, Dordrecht. 2010. V. 17. P. 525. https://doi.org/10.1007/978-90-481-9449-0_27
- Stanton D.E., Ormond A., Koch N.M., Colesie C. Lichen ecophysiology in a changing climate // Am. J. Bot. 2023. V. 110. E16131. https://doi.org/10.1002/ajb2.16131
- Chen K., Wei J.-C. Heat tolerance of the mycobionts and phycobionts from three desert lichens // Mycosystema. 2015. V. 34. P. 1007.
- Калугина Ю.В., Никитина И.И. Криобиология. Киев: Наукова думка, 1994. 432 с.
- Порядина Л.Н., Прокопьев И.А., Конорева Л.А., Чесноков С.В., Слепцов И.В., Филиппова Г.В., Шашурин М.М. Адаптационные биохимические механизмы, обеспечивающие устойчивость лишайников к экстремальным условиям среды обитания // Природные ресурсы Арктики и Субарктики. 2018. Т. 26. С. 109. https://doi.org/10.31242/2618-9712-2018-26-4-109-117
- Вайнштейн Е.А. Некоторые вопросы физиологии лишайников. I. Дыхание // Ботанический журнал. 1972. Т. 7. С. 832.
- Beckett R.P., Minibayeva F.V., Vylegzhanina N.N. Tolpysheva T. High rates of extracellular superoxide production by lichens in the suborder Peltigerineae correlate with indices of high metabolic activity // Plant, Cell Environ. 2003. V. 41. P. 1827.
- Семихатова О.А., Чулановская М.В. Манометрические методы изучения дыхания и фотосинтеза растений. Москва: Наука, 1965. 168 с.
- Sundberg B., Ekblad A., Näsholm T., Palmqvist K. Lichen respiration in relation to active time, temperature, nitrogen and ergosterol concentrations // Funct. Ecol. 2002. V. 13. P. 119. https://doi.org/10.1046/j.1365-2435.1999.00295.x
- Гришенкова Н.Н., Лукаткин А.С. Определение устойчивости растительных тканей к абиотическим стрессам с использованием кондуктометрического метода // Поволжский экологический журнал. 2005. № 1. С. 3.
- Bligh E.C., Dyer W.J. A rapid method of total lipid extraction and purification // Can J. Biochem. Physiol. 1959. V. 37. P. 911.
- ОФС 1.2.1.0010.15. Потеря в массе при высушивании. Государственная фармакопея Российской Федерации. XIII изд. Т. 1.
- Safe S., Safe L.M., Maass W.S.G. Sterols of three lichen species: Lobaria pulmonaria, Lobaria scrobiculata and Usnea longissima // Phytochemistry. 1975. V. 14. P. 1821.
- Solberg Y. Chemical constituents of the lichens Cetraria delisei, Lobaria pulmonaria, Stereocaulon tomentosum and Usnea hirtal // J. Hattori Bot. Lab. 1987. V. 63. P. 357.
- Горбач Н.В. Лишайники Белоруссии. Определитель. Минск: Наука и техника, 1973. 77 с.
- Sundberg B., Palmqvist K., Esseen P.-A., Renhorn K.-E. Growth and vitality of epiphytic lichens. II. Modelling of carbon gain using field and laboratory data // Oecologia. 1997. V. 13. P. 10.
- Ahmadjian V. The lichen symbiosis. Chichester: John Wiley & Sons. New York, 1993. 250 p.
- Nash T.H. Photosynthesis, respiration, productivity and growth. Lichen Biology. Cambridge: Cambridge University Press, 1996. 88 p.
- Smyth E.S. A Contribution to the physiology and ecology of Peltigera canina and P. polydactyla // Ann. Bot. 1934. V. 48. P. 781.
- Mulgrew A., Williams P. Biomonitoring of air quality using plants. Air Hygiene Report 10. London: Kings College, 2000. 171 p.
- Garty J., Tomer S., Levin T., Lehr H. Lichens as biomonitors around a coal-fired power station in Israel // Environ. Res. 2003. V. 91. P. 186. https://doi.org/10.1016/s0013-9351(02)00057-9
- Marques A.P., Maria C.F., Hubert T.W., Steinebach O.M., Verburg T., De Goeij J.J. Cell-membrane damage and element leaching in transplanted Parmelia sulcata lichen related to ambient SO2, temperature, and precipitation // Environ. Sci. Technol. 2005. V. 39. P. 2624. https://doi.org/10.1021/es0498888
- Гималов Ф.Р. Восприятие растениями холодового сигнала, или как устроен растительный “термометр” // Известия Уфимского научного центра РАН. 2018. С. 19. https://doi.org/10.31040/2222-8349-2018-0-2-19-24
- Los D.A., Mironov K.S., Allakhverdiev S.I. Regulatory role of membrane fluidity in gene expression and physiological functions // Photosynth. Res. 2013. V. 116. P. 489.
- Sangwan V., Orvar B.J., Beyerly J., Hirt H., Dhindsa R.S. Opposite changes in membrane fluidity mimic cold and heat stress activation of distinct plant MAP kinase pathways //The Plant Journal. 2002. V. 31. P. 629.
- Saidi Y., Peter M., Finka A., Cicekli C., Vigh L., Goloubinoff P. Membrane lipid composition affects plant heaty sebsing and modulates Ca+-dependent heat shock response // Plant Signaling behav. 2010. V. 5. P. 1530.
- Rawat N., Singla-Pareek S.L., Pareek A. Membrane dynamics during individual and combined abiotic stresses in plants and tools to study the same // Physiol. Plant. 2021. V. 171. P. 653. https://doi.org/10.1111/ppl.13217
- Renne M.F., IPM de Kroon A. The role of phospholipid molecular species in determining the physical properties of yeast membranes // FEBS Lett. 2018. V. 8. P. 1330.
- Suzuki I., Los D.A., Kanesaki Y., Mikami K., Murata N. The pathway for perception and transduction of low-temperature signals in Synechocystis // EMBO J. 2000. V. 19. P. 1327.
- Мысякина И.С., Фунтикова Н.С. Роль стеринов в морфогенетических процессах и диморфизме грибов // Микробиология. 2007. Т. 76. С. 5.
- Popov A.M. Comparative study of effects of various sterols and triterpenoids on permeability of model lipid membranes // J. Evol. Biochem. Physiol. 2003. V. 39. P. 314.
- Дембицкий В.М., Толстиков Г.А. Природные галогенированные органические соединения. Новосибирск: Изд-во СО РАН, Гео, 2003. 366 с.
- Berridge M.J., Irvine R.F. Inositol trisphosphate, a novel second messenger in cellular signal transduction // Nature. 1984. V. 312. P. 315.
- Xue H.-W., Chen X., Me Y. Function and regulation of phospholipid signaling in plants // Biochem. J. 2009. V. 421. P. 145.
- Su K., Bremer D.J., Jeannotte R. Membrane lipid composition and heat tolerance in cool-season turfgrasses, including a hybrid bluegrass // J. Amer. Soc. Hort. Sci. 2009. V. 134. P. 511.
- Ravchaudhuri S., Im Y.J., Hurley J.H., Prinz W.A. Nonvesicular sterol movement from plasma membrane to ER requires oxysterol-binding protein-related proteins and phosphoinositides // J. Cell Biol. 2006. V. 173. P. 107.
- Тарчевский И.А. Сигнальные системы клеток растений. М.: Наука, 2002. 294 с.
- Fabri J., de Sa N.P., Malavazi I., Del Poeta M. The dynamics and role of sphingolipids in eukaryotic organisms upon thermal adaptation // Prog Lipid Res. 2020. V. 80. P. e101063 https://doi.org/10.1016/j.plipres.2020.101063
Дополнительные файлы







