Magnetic state of vanadium in chalcogenide V7Se8
- Authors: Utkin N.A.1,2, Kashnikova M.E.1,2, Piskunov Y.V.1, Smolnikov A.G.1, Ogloblichev V.V.1, Sadykov A.F.1, Gerashchenko A.P.1, Selezneva N.V.2, Baranov N.V.1,2
-
Affiliations:
- Mikheev Institute of Metal Physics, Ural Branch, Russian Academy of Sciences
- Ural Federal University named after the First President of Russia B. N. Yeltsin
- Issue: Vol 126, No 2 (2025)
- Pages: 131-139
- Section: ЭЛЕКТРИЧЕСКИЕ И МАГНИТНЫЕ СВОЙСТВА
- URL: https://ogarev-online.ru/0015-3230/article/view/294909
- DOI: https://doi.org/10.31857/S0015323025020017
- EDN: https://elibrary.ru/AZLXRI
- ID: 294909
Cite item
Abstract
The structural and magnetic properties of V7Se8 chalcogenide were studied using X-ray diffractometry, magnetic susceptibility measurements and nuclear magnetic resonance (NMR) spectroscopy on 51V nuclei. The ordering of vacancies in vanadium cationic layers with the formation of a 4C-type superstructure was found. It is estimated that the effective magnetic moment of vanadium ions is µeff = 0.35 µB. A significant local charge and magnetic heterogeneity of the V7Se8 compound has been revealed. The hyperfine interaction constant in vanadium ions is estimated from the temperature dependences of the magnetic shift of the NMR 51V line and the susceptibility χ(T) in V7Se8. A joint analysis of the NMR line shift data and the spin-lattice relaxation rate of 51V showed that the 3d-electrons of vanadium are in a itinerant state. At the same time, with decreasing temperature in the V7Se8 system, antiferromagnetic correlations are induced between the magnetic moments of vanadium in adjacent layers.
Full Text
Введение
Халькогенид ванадия V7Se8 относится к классу катион-дефицитных слоистых соединений М7Х8, где M – атом переходного металла, X – двухвалентный анион VI группы таблицы Менделеева S, Se, Te. Для этих соединений характерно наличие вакансий в катионных слоях, а также образование разных сверхструктур в результате упорядочения вакансий и M атомов в слоях. Вакансии в соединениях M7X8 со структурой типа NiAs распределяются в каждом втором базисном слое атомов переходных металлов, что является основным принципом формирования этих сверхструктур (см. рис. 1).
Рис. 1. Элементарная ячейка 4С-сверхструктуры соединения V7Se8. Пунктирными линиями показана базисная элементарная ячейка.
Интерес к системам М7Х8 обусловлен тем, что соединения этой группы халькогенидов Fe7S8 и Fe7Se8 являются ферримагнетиками с высокими температурами Кюри 588–598 K [1, 2] и 450–483 K [3, 4] соответственно. Магнитные моменты железа в этих соединениях упорядочены ферромагнитно внутри слоев, а взаимодействие между слоями является антиферромагнитным. Из-за наличия вакансий в каждом втором слое магнитные моменты не скомпенсированы полностью, что и приводит к существованию результирующей намагниченности и ферримагнетизму этих соединений [2, 5]. В попытках дальнейшего улучшения магнитных свойств Fe7S8 и Fe7Se8 были проведены исследования влияния замещения железа атомами других 3d-элементов: титана, ванадия, хрома, марганца, кобальта и никеля.
В работе [6] проведено исследование влияния замещения железа в соединении Fe7Se8 от 3 до 10 ат. % атомами Ti, V, Cr, Mn, Co и Ni. Показано, что наличие даже небольшого количества атомов переходных металлов приводит к сильным изменениям магнитных свойств. Так, при замещении железа титаном или ванадием до 10 ат. % происходит понижение эффективного магнитного момента железа от 5.8 до 4 μВ. Аналогичная тенденция наблюдается в поведении μэфф при замещении до 10 ат. % атомами кобальта или никеля. Замещение по катионной подрешетке атомами хрома или марганца практически не влияет на магнитное состояние ионов железа. Анализ экспериментальных данных показал, что для объяснения изменения магнитного состояния в таких системах нельзя опираться ни на модель полностью локализованных моментов, ни на модель коллективизированных электронов [6].
Причина сильной концентрационной зависимости TC и намагниченности в Fe7-xVxSe8 до конца не выяснена. Непонятно, связана ли она с коллективизацией 3d-электронов ионов железа и/или с переходом ионов Fe из высокоспинового в низкоспиновое состояние из-за изменения кристаллического поля при изменении параметров решетки. Нельзя также исключить и того, что ионы ванадия, обладая малым моментом, выступают в качестве разбавителя магнитной подсистемы железа. Именно такая причина уменьшения TC и намагниченности при замещении железа слабомагнитным кобальтом была обнаружена нами в Fe7-xCoxSe8 в работах [7, 8]. Так или иначе, для выяснения магнитного состояния ионов ванадия необходимо исследовать состав с полным замещением ионов железа ванадием.
В данной работе нами было выполнено исследование структурных и магнитных свойств соединения V7Se8 посредством рентгенографии, ЯМР 51V и измерения магнитной восприимчивости.
Образцы и методы исследования
Поликристаллический образец V7Se8 был получен методом твердофазных реакций в вакуумированной кварцевой ампуле. Исходные материалы: ванадий (чистота 99.95 %), селен марки “особо чистый” (чистота 99.999 %). Ампулу медленно нагревали в печи со скоростью около 15°C/час до температуры 800°C с промежуточными выдержками при 200°C, 400°C и 600°C в течение суток при каждой температуре. Затем образец отжигали при температуре 800°C в течение 2 недель. Далее следовали три гомогенизационных отжига (каждый в течение недели) в вакуумированной кварцевой ампуле при 750°С. Перед каждым отжигом образец перетирали и спрессовывали в таблетку. Такой способ позволил получить однородный однофазный материал.
Анализ фазового состава и исследование кристаллической структуры проводили с помощью рентгеновского дифрактометра Bruker D8 Advance c использованием позиционно-чувствительного детектора LynxEye (CuKα1,2-излучение). Экспериментальные и рассчитанные дифрактограммы соединения V7Se8 представлены на рис. 2. Рентгеноструктурный анализ показал, что соединение V7Se8 имеет слоистую кристаллическую структуру типа NiAs, кристаллизуется в моноклинной сингонии (пространственная группа F2/m) с параметрами элементарной ячейки: а = 12.463(4) Å, b = 7.079(4) Å, c = 23.900(3) Å, β = 90.961(3)°. Выяснено, что соединение V7Se8 обладает сверхструктурой 4C [a02√3×2a0×4c0], где a0 и c0 являются параметрами базовой гексагональной ячейки NiAs.
Рис. 2. Дифрактограмма соединения V7Se8 (пр. группа F2/m). Символы – наблюдаемые интенсивности, сплошная линия – расчет, внизу – разностная кривая между наблюдаемыми и рассчитанными интенсивностями. Штрихами показано положение рефлексов в структуре, описываемой пространственной группой F2/m.
Полевые и температурные зависимости намагниченности V7Se8 измеряли на установке MPMS SQUID XL7 (Quantum Design) в интервале температур от 2 K до 350 K в магнитных полях до 70 кЭ. ЯМР-измерения на ядрах 51V выполнены на импульсном спектрометре во внешнем магнитном поле H0 = 92.8 кЭ в диапазоне температур от 20 до 300 K. Для исключения ЯМР-сигналов от металлической меди использована резонансная катушка из серебра. ЯМР-спектры на ядрах 51V получены с использованием стандартной методики спинового эха p – tdel – 2p – tdel – echo. Длительность первого импульса выбирали p = 1 мкс, мощность радиочастотного усилителя – N = 300 Вт. Задержка между импульсами tdel = 20 мкс. Спектры ЯМР на ядрах 51V, представленные в работе, являются суммой фурье-преобразований echo-сигналов, накопленных в требуемом частотном диапазоне с шагом Dn = 100 кГц. Скорость ядерной спин-решеточной релаксации Т1−1 измеряли с использованием методики инвертирования и последующего восстановления ядерной намагниченности.
Результаты и обсуждение
Температурная зависимость магнитной восприимчивости χ(T) V7Se8 в температурном интервале от 2 до 350 K представлена на рис. 3. На вставке для наглядности χ(T) в диапазоне Т = 75–350 K показана в другом масштабе. Как видно из рисунка, зависимость χ(T) в исследуемом халькогениде хорошо описывается законом Кюри–Вейса (сплошная линия на вставке рисунка):
Рис. 3. Температурная зависимость магнитной восприимчивости c(T) в V7Se8, измеренная во внешнем магнитном поле H = 10 кЭ. На вставке представлена зависимость χ(T) в диапазоне температур Т = 75 – 350 K. Сплошная линия – результат аппроксимации экспериментальных данных выражением χ(T) = C/(T – q) + χ0.
χ(T) = C/(T – q) + χ0, (1)
где С – постоянная Кюри, q – парамагнитная температура Кюри. Величина χ0 = cdia + cP + + corb представляет собой сумму независящих от температуры вкладов, определяемых, соответственно, диамагнетизмом заполненных электронных оболочек, парамагнетизмом свободных носителей заряда (парамагнетизм Паули) и частичным размораживанием орбитальных моментов 3d-электронов ванадия. Значение χ0 = 5.14×10-4 emu/Э·моль было найдено из экстраполяции зависимости c от обратной температуры 1/Т в область 1/Т → 0, что соответствует Т → ∞ (см. вставку на рис. 4). На рис. 4 показана зависимость величины от температуры. Аппроксимация этой зависимости прямой линией легко позволяет получить следующие значения C = 0.0155 emu K/Э·моль, q = –1.5 K. Из находим 0.35 μВ. Близкие данному значению эффективного момента величины = 0.20 μB и = 0.36 μB были ранее получены нами для ионов кобальта в соединениях Co7Se8 и Fe4Co3Se8 соответственно [7, 8]. Как видно из рисунка, в температурной зависимости восприимчивости наблюдаются аномалии вблизи температур 50 K и 175 K. В работе [9] при этих же температурах наблюдали аномалии в поведении коэффициента линейного теплового расширения и электросопротивления в халькогениде V7Se8. Автор связал эти аномалии с возможными структурными фазовыми переходами в соединении, не конкретизируя, однако, детали данных переходов. Для того, чтобы точно и детально описать структуру соединений до и после перехода и выделить основные факторы, определяющие картину структурных изменений, необходимо провести эксперименты по низкотемпературной рентгенографии.
Рис. 4. Зависимость величины 1/(c–c0) от температуры. Сплошная линия – аппроксимация данных прямой линией. На вставке зависимость магнитной восприимчивости от обратной температуры 1/T.
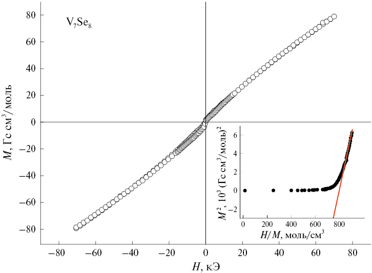
Рис. 5 демонстрирует полевую зависимость намагниченности образца V7Se8, измеренную вплоть до H = 70 кЭ. Как видим, гистерезис практически отсутствует; небольшая спонтанная намагниченность, по-видимому, обусловлена присутствием примесной магнитной фазы в образце, объем которой не превышает 1–2 %, поскольку не выявляется рентгеновской дифракцией. Таким образом, измерение температурной зависимости магнитной восприимчивости и полевой зависимости намагниченности свидетельствуют о том, что основная фаза образца V7Se8 в интервале температур от 2 K до 300 K является парамагнитной. Для определения возможной спонтанной намагниченности в основной фазе V7Se8 был использован метод Белова–Аррота. На вставке рис. 5 приведена зависимость квадрата намагниченности M2 от величины отношения H/M. Экстраполяция прямолинейного высокополевого участка (показан линией на рисунке) этой зависимости к H/M = 0 приводит к явно отрицательному значению M2. Это говорит о том, что спонтанная намагниченность в нулевом поле в основной фазе V7Se8 отсутствует.
Рис. 5. Полевая зависимость намагниченности соединения V7Se8 при температуре 2 K. На вставке представлен график Белова–Аррота. Сплошная линия аппроксимирует высокополевую линейную часть зависимости.
На рис. 6 представлен спектр ЯМР ядер 51V в поликристаллическом образце V7Se8, полученный при T = 293 K во внешнем магнитном поле H0 = 92.8 кЭ. Ядро изотопа 51V обладает спином 51I = 7/2 и электрическим квадрупольным моментом e51Q = –0.051·10-24 см2. В случае симметрии кристаллической решетки ниже кубической ЯМР-спектр ядер со спином I = 7/2 представляет собой набор из 2I = 7 линий. Одна из линий соответствует центральному переходу (m = –1/2 ↔ +1/2), а 6 других – сателлитным переходам (m = ±3/2 ↔ ± 1/2), (m = ±5/2 ↔ ± 3/2) и (m = ±7/2 ↔ ± 5/2). В спектре на рис. 6 разрешенных сателлитных линий не наблюдается. Очевидно, это связано со значительным магнитным уширением спектра ЯМР 51V, а также с малым значением квадрупольного момента e51Q. В данной работе для расчета формы линий ЯМР использована специальная программа моделирования спектров “Simul” [10], численно рассчитывающая энергетические уровни и вероятности переходов на основе диагонализации матричных элементов гамильтониана (квадрупольного и зеемановского) ядерной системы. Программа позволяет определять компоненты магнитного сдвига Ka (α = x, y, z – главные оси тензора градиента электрического поля (ГЭП)).
Рис. 6. Спектр ЯМР ядер 51V в поликристаллическом образце V7Se8 в магнитном поле Н0 = 92.8 кЭ при температуре T = 293 K и результат моделирования экспериментального спектра набором из трех резонансных линий 1–3.
Моделирование спектров 51V в V7Se8 показало, что полные экспериментальные спектры ЯМР могут быть описаны не менее чем тремя различными резонансными линиями, как это показано на рис. 6. Каждая такая линия, которые мы в порядке убывания интегральной интенсивности обозначили цифрами 1, 2, 3, характеризуется собственным магнитным сдвигом Ka. Невозможность описать экспериментальный спектр одной резонансной линией свидетельствует о наличии в V7Se8 кристаллографически и магнитно неэквивалентных позиций ванадия. Как упоминали ранее, в системе V7Se8 имеются вакансии в подрешетке ванадия. Их наличие может приводить к разнице в сдвигах Ka для отдельных групп ионов V, что и проявляется в различии соответствующих им резонансных линий. К сожалению, идентифицировать линии 1–3 по их интенсивностям без дополнительных исследований не представляется возможным. Тем не менее спектр ЯМР 51V на рис. 6 однозначно свидетельствует о существенной локальной неоднородности, как зарядовой, так и магнитной, халькогенида V7Se8.
При анализе спектров ЯМР в поликристаллических образцах часто удобно перейти от компонент Ka к изотропной Kiso = 1/3(Kx+Ky+Kz), аксиальной Kax = 1/3(Kz – 1/2(Kx +Ky)) и анизотропной Kaniso = 1/2(Ky – Kx) частям тензора магнитного сдвига линии ЯМР. Моделирование спектров в программе “Simul” показало, что значения Kax и Kaniso для линий 1–3 во всем диапазоне температур близки к нулю, а температурная эволюция Kiso для каждой из этих линий идентична. Поэтому на рис. 7 представлены данные Kiso(T) только для наиболее интенсивной линии 1. Как видим, с понижением температуры сдвиг Kiso(T) изменяется по закону Кюри–Вейса, повторяя температурную зависимость магнитной восприимчивости c(Т). Однако при T < 90 K возникает расхождение в поведении Kiso(T) и c(Т). В отличие от последней, сдвиг демонстрирует куполообразную температурную зависимость с широким максимумом в области Т = 70 K.
Рис. 7. Температурная зависимость магнитного сдвига ядер 51V Kiso в V7Se8; во вставке показана зависимость Kiso(c) с температурой в качестве параметра, аппроксимированная прямой линией.
В общем случае изотропный магнитный сдвиг линии ЯМР на ядрах 51V Kiso(T) можно записать в виде суммы трех основных вкладов [11]:
. (2)
Первое слагаемое в выражении (2) представляет собой вклад от электронов проводимости. Здесь Hс и Hcp – изотропные константы сверхтонкого взаимодействия (СТВ) контактного фермиевского и поляризации остова, соответственно. Контактный вклад в СТВ Hc обусловлен сверхтонким взаимодействием ядерного спина с валентными s-электронами. Он является положительным и существенен, как правило, в металлах. Слагаемое Hcp описывает сверхтонкое взаимодействие, обусловленное поляризацией неспаренными d-электронами заполненных s-оболочек иона. Этот вклад изотропен и, за редкими исключениями, отрицателен [12]. Величина cs – независящая от температуры паулиевская спиновая восприимчивость электронов проводимости. Второй вклад в сдвиг, орбитальный Кorb, обусловлен ван-флековским парамагнетизмом валентных d-электронов иона. Он возникает вследствие частичного размораживания орбитального момента во внешнем магнитном поле, не зависит от температуры и является положительным. Третье слагаемое в (2) обусловлено локализованными магнитными моментами (ЛММ) d-электронов. ЛММ на ионах ванадия могут давать два вида вкладов в сдвиг резонансной линии ядер 51V. Первый – это вклад от собственных ЛММ ионов V, равный , где Hintr – константа СТВ ядра ванадия с собственными электронами иона, – кюри-вейсовская восприимчивость ЛММ на ионах V. Второй вклад обусловлен магнитным полем, наводимым на ядра ванадия от ЛММ соседних ионов V. Данный вклад можно записать в виде: , где – константа наведенного СТВ с соседними ионами ванадия. Она определяется главным образом степенью перекрытия d- и s-орбиталей соседних ионов переходных металлов. Таким образом, мы можем представить сдвиг Kiso(T) в виде зависящей и независящей от температуры частей:
. (3)
Отметим, что термин локализованные магнитные моменты требует некоторого уточнения. Мы получили для эффективного магнитного момента иона ванадия значение 0.35 μB. Это не означает, что 3d-электроны полностью локализованы. Они достаточно подвижны, чтобы за время измерения много раз перескочить с одного на другой узел решетки. При этом внутриатомное обменное взаимодействие поляризует эти коллективизированные электроны (подобно внешнему магнитному полю), приводя к возникновению нескомпенсированного магнитного момента иона. Температурная зависимость восприимчивости таких коллективизированных электронов обычно близка к кюри-вейсовской [13].
В свою очередь, магнитная восприимчивость χ(T) также состоит из двух основных вкладов: зависящей от температуры по закону Кюри–Вейса спиновой восприимчивости χ и независящей от температуры :
(4)
Используя выражения (3) и (4), можно получить зависимость сдвига Kiso от χ с температурой в качестве параметра:
, (5)
которая имеет форму прямой линии с тангенсом угла наклона, равным . Такая параметрическая зависимость Kiso(χ) представлена на вставке рис. 7. Аппроксимируя данные параметрической зависимости Kiso(χ) прямой (5), находим значение суммарной константы собственного и наведенного СТВ ядер ванадия = 200(5) кЭ/mB.
Известно, что один неспаренный электрон в 3d-оболочке переходного элемента создает на ядре изотропное поле поляризации остова Hcp = –125 кЭ [14], а в 4s-оболочке ванадия – контактное СТП Hc = 3400 кЭ [15]. В нашем случае суммарная величина СТП от коллективизированных электронов составляет 200(5) кЭ/mB. Следовательно, мы должны предположить, что в ионах ванадия имеется существенная 4s–3d-гибридизация и что спиновая поляризация передается между соседними ионами V (посредством наведенного СТВ Htr) не только через 3d-, но и 4s-орбитали.
Как видно из рис. 3 и рис. 7, сдвиг Kiso(Т) и восприимчивость χ(Т) ведут себя различным образом ниже Т = 90 K. Первый демонстрирует максимум вблизи Т = 70 K, а χ(Т) имеет кюри-вейсовскую зависимость вплоть до Т = 2 K. Подобное различие может быть вызвано следующими причинами. Во-первых, наличие антиферромагнитных (АФ) корреляций ближнего порядка. Как уже упоминали во введении, в магнетике Fe7Se8, имеющем ту же самую структуру типа NiAs, что и V7Se8, магнитные моменты железа упорядочиваются ферромагнитно внутри каждого слоя, но антиферромагнитно по отношению к двум соседним слоям. Т. е. между слоями имеются сильные АФ-корреляции. При наличии таких корреляций в парамагнитном состоянии халькогенида V7Se8 может возникать взаимная компенсация внутриплоскостного и межплоскостного вкладов в наведенное СТП Htr. В итоге это поле, а следовательно и величина Kiso(Т), будет уменьшаться с понижением температуры. Подобный эффект мы наблюдали ранее в халькогениде Fe4Co3Se8 [8]. Казалось бы, при наличии АФ-корреляций также должна отклоняться от кюри-вейсовского поведения и магнитная восприимчивость, но этого не наблюдается. Дело в том, что магнитный сдвиг ЯМР пропорционален однородному вкладу в спиновую восприимчивость c(q = 0). Молярная восприимчивость χ(T) может включать в себя и неоднородные по образцу слагаемые. К ним относятся вклады от различного рода примесей, а также магнитных или немагнитных кластеров, распределенных внутри исследуемого образца. По-видимому, с такого рода микронеоднородностями мы имеем дело в образце V7Se8. Они вносят существенный вклад в χ(T), особенно при низких температурах, но не в сдвиг линии ЯМР.
Результаты измерений скорости спин-решеточной релаксации (СРР) ядерной намагниченности Mz = 51γnħ<Iz(t)> ионов ванадия в соединении V7Se8 представлены на рис. 8. Спин-решеточная релаксация макроскопической ядерной намагниченности Mz(t) к термодинамическому равновесному значению M0 происходит за характерное время Т1.
Рис. 8. Температурная зависимость скорости ядерной спин-решеточной релаксации T1–1. Штриховая линия – аппроксимация данных при T ≥ 90 K прямой линией.
В приближении свободного электронного газа в металлах величина Т1–1 растет пропорционально температуре. При этом выполняется так называемое соотношение Корринги [16]:
(6)
где γe и γn – электронное и ядерное гиромагнитные отношения. Данное соотношение является следствием того, что релаксация и сдвиг в металле определяются соответственно флуктуирующей и статической частями локального магнитного поля, обусловленного сверхтонким взаимодействием ядер с электронами проводимости. Кроме того, в 3d-металлах может быть значительным так называемый орбитальный вклад в СРР , вызываемый флуктуациями орбитальных токов d-электронов. В отличие от орбитального вклада в магнитный сдвиг слагаемое никак не связано с орбитальной восприимчивостью corb и потому не может быть выражено через сдвиг Korb. Этот вклад определяется непосредственно плотностью d-электронных состояний на уровне Ферми и так же, как , пропорционален температуре [17]. Таким образом, в 3d-металлах температурная зависимость скорости СРР может иметь корринговский тип, т. е. 1/T1 ∝ T. Флуктуации локальных магнитных моментов также могут приводить к ядерной спин-решеточной релаксации. Данный вклад в парамагнитной области является независящим от температуры, [18].
Рис. 8 демонстрирует, что в V7Se8 в диапазоне температур 300–90 K скорость СРР ядерных моментов ванадия пропорциональна температуре, т. е. имеет коррингоподобный характер, что является дополнительным подтверждением того, что данное соединение, по крайней мере в этом диапазоне температур, – это паулиевский парамагнитный металл. Кроме того, экстраполяция зависимости в область низких температур приводит в рамках погрешности к нулевому значению скорости СРР. Это свидетельствует об отсутствии вклада от ЛММ и о том, что СРР ядерных магнитных моментов ванадия определяется в основном электронами проводимости.
Ниже 90 K температурная зависимость скорости СРР приобретает нелинейный куполообразный вид. Подобная температурная зависимость характерна для систем с АФ ближним порядком. В этом случае пик в возникает при температуре, при которой в спектре антиферромагнитно коррелированных флуктуаций появляется максимум на частоте ЯМР. Таким образом, результаты измерения СРР ядерных моментов ванадия также свидетельствуют, что ниже T = 90 K в халькогениде V7Se8 формируется ближний АФ-порядок, однако дальнего магнитного порядка не возникает вплоть до самых низких температур.
Заключение
Выполнено исследование структурных и магнитных свойств соединения V7Se8 посредством рентгенографии, измерений намагниченности и использования ядерного магнитного резонанса ядер 51V.
Рентгеноструктурный анализ показал, что соединение V7Se8 обладает сверхструктурой 4C [a02√3×2a0×4c0], где a0 и c0 являются параметрами базовой гексагональной ячейки NiAs.
Обнаружено, что температурная зависимость магнитной восприимчивости χ(T) имеет аномалии в области температур Т = 175 K и Т = 50 K, которые свидетельствуют о возможных структурных фазовых переходах в V7Se8 при данных температурах. Выяснение типа этих переходов требует дополнительных исследований. Из температурной зависимости восприимчивости определено значение эффективного магнитного момента ионов ванадия μэфф = 0.35 mB. Столь малое значение момента свидетельствует о том, что 3d-электроны ванадия коллективизированы.
Анализ спектров ЯМР 51V выявил существенную локальную неоднородность как зарядовую, так и магнитную, соединения V7Se8. Из температурных зависимостей сдвига и восприимчивости в V7Se8 сделана оценка константы суммарного, собственного и наведенного сверхтонкого взаимодействия = 200(5) кЭ/mB ядерных и электронных магнитных моментов ванадия. Обнаружена куполообразная температурная зависимость магнитного сдвига линии ЯМР 51V при температурах ниже 90 K. Такое поведение сдвига указывает на возникновение сильных антиферромагнитных корреляций между магнитными моментами ванадия в соседних слоях при низких температурах.
О малом значении μэфф ионов ванадия косвенно свидетельствуют также данные по температурной зависимости скорости спин-решеточной релаксации ядерных моментов 51V, которая демонстрирует коррингоподобное поведение и отсутствие вклада от локализованных магнитных моментов ионов ванадия при Т ≥ 90 K. Наличие же отклонения от корринговской температурной зависимости скорости ССР ниже 90 K указывает на наличие сильных АФ-корреляций в спектре спиновых флуктуаций халькогенида V7Se8.
Исследование выполнено за счет гранта Российского научного фонда (проект № 22-12-00220 https://rscf.ru/project/22-12-00220/, ИФМ УрО РАН, Свердловская обл.). Работа выполнена с использованием оборудования ЦКП “Испытательный центр нанотехнологий и перспективных материалов” и “Отдел криогенных технологий” ИФМ УрО РАН.
Авторы данной работы заявляют, что у них нет конфликта интересов.
About the authors
N. A. Utkin
Mikheev Institute of Metal Physics, Ural Branch, Russian Academy of Sciences; Ural Federal University named after the First President of Russia B. N. Yeltsin
Email: piskunov@imp.uran.ru
Russian Federation, Ekaterinburg; Ekaterinburg
M. E. Kashnikova
Mikheev Institute of Metal Physics, Ural Branch, Russian Academy of Sciences; Ural Federal University named after the First President of Russia B. N. Yeltsin
Email: piskunov@imp.uran.ru
Russian Federation, Ekaterinburg; Ekaterinburg
Yu. V. Piskunov
Mikheev Institute of Metal Physics, Ural Branch, Russian Academy of Sciences
Author for correspondence.
Email: piskunov@imp.uran.ru
Russian Federation, Ekaterinburg
A. G. Smolnikov
Mikheev Institute of Metal Physics, Ural Branch, Russian Academy of Sciences
Email: piskunov@imp.uran.ru
Russian Federation, Ekaterinburg
V. V. Ogloblichev
Mikheev Institute of Metal Physics, Ural Branch, Russian Academy of Sciences
Email: piskunov@imp.uran.ru
Russian Federation, Ekaterinburg
A. F. Sadykov
Mikheev Institute of Metal Physics, Ural Branch, Russian Academy of Sciences
Email: piskunov@imp.uran.ru
Russian Federation, Ekaterinburg
A. P. Gerashchenko
Mikheev Institute of Metal Physics, Ural Branch, Russian Academy of Sciences
Email: piskunov@imp.uran.ru
Russian Federation, Ekaterinburg
N. V. Selezneva
Ural Federal University named after the First President of Russia B. N. Yeltsin
Email: piskunov@imp.uran.ru
Russian Federation, Ekaterinburg
N. V. Baranov
Mikheev Institute of Metal Physics, Ural Branch, Russian Academy of Sciences; Ural Federal University named after the First President of Russia B. N. Yeltsin
Email: piskunov@imp.uran.ru
Russian Federation, Ekaterinburg; Ekaterinburg
References
- Wang H., Salveson I. A review on the mineral chemistry of the non-stoichiometric iron sulphide, Fe1−xS (0 ≤ x ≤ 0.125): polymorphs, phase relations and transitions, electronic and magnetic structures // Phase Transition. 2005. V. 78. P. 547–567.
- Powell A.V., Vaqueiro P., Knight K.S., Chapon L.C., Sanchez R.D. Structure and magnetism in synthetic pyrrhotite Fe7S8; a powder neutron diffraction study // Phys. Rev. B. 2004. V. 70. P. 014415.
- Kawaminami M., Okazaki A. Neutron diffraction study of Fe7Se8 // J. Phys. Soc. Japan. 1967. V. 22. Р. 925.
- Andresen A.F., Leciejewicz J. A neutron diffraction study of Fe7Se8 // J. Phys. 1964. V. 25. Р. 574–578.
- Kawaminami М., Okazaki А. Neutron diffraction study of Fe7Se8 II // J. Phys. Soc. Japan. 1970. V. 29. P. 649–655.
- Terzieff P. The paramagnetism of transition metal substituted Fe7Se8 // J. Phys. Chem. Solids. 1982. V. 43. P. 305–309.
- Piskunov Yu.V., Ogloblichev V.V., Sadykov A.F., Akramov D.F., Smol’nikov A.G., Gerashchenko A.P., Selezneva N.V., Baranov N.V. Magnetic State of Layered Cobalt Chalcogenides Co7Se8 and Co7Te8 // JETP Letters. 2023. V. 117. P. 54–60.
- Piskunov Yu.V., Ogloblichev V.V., Sadykov A.F., Akramov D.F., Smol’nikov A.G., Gerashchenko A.P., Selezneva N.V., Baranov N.V. Magnetic State of Cobalt in Layered Chalcogenide Fe4Co3Se8 // Phys. Met. Metal. 2024. V. 125. P. 12–19.
- Хоссени У.А.Л. Влияние замещения железа ванадием на структуру и свойства системы Fe7-yVySe8 /Магистерская диссертация. Екатеринбург, 2017. 76 с.
- Свидетельство о государственной регистрации программы для ЭВМ #2018663091. Simul 2018. А.П. Геращенко, С.В. Верховский, А.Ф. Садыков, А.Г. Смольников, Ю.В. Пискунов, К.Н. Михалев / Зарегистрировано в Реестре программ для ЭВМ 22.10.2018 г.
- Винтер Ж. Магнитный резонанс в металлах: Пер. с англ. Под ред. А.П. Степанова. М.: Мир, 1976. 288 с.
- Freeman A.J., Frankel R.R. Hyperfine Interactions. New York and London: Academic Press, 1967. 756 p.
- Мория Т. Спиновые флуктуации в магнетиках с коллективизированными электронами: Пер. с англ. Под ред. А.В. Ведяева. М.: Мир, 1988. 288 с.
- Carter G.C., Bennett L.H., Kahan D.J. Metallic shifts in NMR-review of theory and comprehensive critical data compilation of metallic materials. 1. Review chapters NMR tables, evaluated knight-shifts in metals together with other solid-state and nuclear properties // Progress Mater. Sci. 1977. V. 20. P. 1–378.
- Koh A.K., Miller D.J. Hyperfine coupling constants and atomic parameters for electron paramagnetic resonance data // Atomic data and nuclear data tables. 1985. V. 33. P. 235–253.
- Korringa J. Nuclear magnetic relaxation and resonnance line shift in metals // Physica. 1950. V. 16. P. 601–610.
- Obata Y. Nuclear Magnetic Relaxation in Transition Metals // J. Phys. Soc. Japan. 1963. V. 18. P. 1020–1024.
- Moriya T. Nuclear Magnetic Relaxation in Antiferromagnetics // Progress Theoret. Phys. 1956. V. 16. P. 23–44.
Supplementary files









