Structural evolution and hardening of vanadium upon shear under pressure
- Authors: Gapontseva T.M.1, Chashchukhina T.I.1, Voronova L.M.1, Degtyarev M.V.1, Pilyugin V.P.1, Karamyshev K.Y.1
-
Affiliations:
- Mikheev Institute of Metal Physics, Ural Branch, Russian Academy of Sciences
- Issue: Vol 126, No 1 (2025)
- Pages: 87-97
- Section: СТРУКТУРА, ФАЗОВЫЕ ПРЕВРАЩЕНИЯ И ДИФФУЗИЯ
- URL: https://ogarev-online.ru/0015-3230/article/view/288566
- DOI: https://doi.org/10.31857/0015323025010093
- EDN: https://elibrary.ru/BZPEYF
- ID: 288566
Cite item
Abstract
The structural evolution and hardness of vanadium under high pressure torsion at room temperature is investigated. Strain localization has been observed at true strains less than 1 (e < 1), leading to the formation of a banded structure. The study shows that strain localization delays the transition to the SMC structure during subsequent deformation. The mechanisms underlying the formation of deformation bands in vanadium are discussed. Dislocations are found to play a dominant role in the hardening of vanadium during the initial deformation stages (e < 1), while high-angle grain boundaries of deformation origin emerged as the main contributors at higher strains. In addition, the parameters of the Hall–Petch-type equation are determined.
Full Text
ВВЕДЕНИЕ
Изучение эволюции структуры ОЦК-переходных металлов при пластической деформации на протяжении нескольких десятилетий вызывает неизменно интерес исследователей [1-6]. Наиболее существенными отличиями ОЦК-металлов от других являются сильная температурная зависимость предела текучести и достаточно высокое значение энергии дефекта упаковки (ЭДУ) [1, 7]. Высокая ЭДУ облегчает процессы поперечного скольжения и переползания, способствующие образованию ячеистых структур. Тогда как температурная зависимость предела текучести затрудняет перестройку дислокаций в энергетически более выгодные конфигурации, такие как ячеистые структуры или субзерна, при низких температурах деформации. Деформация всех ОЦК-металлов осуществляется путем появления и движения винтовых дислокаций. Известно [2], что подвижность винтовых дислокаций существенно ниже, чем краевых. При относительно низких температурах подвижность винтовых дислокаций контролируется образованием двойного перегиба (кинка), поскольку распространение перегиба происходит легче, чем движение всей линии дислокации. Выше определенной температуры, называемой критической Tc, дислокация легко преодолевает барьер Пайерлса под влиянием термической активации. В этом случае различие подвижностей винтовых и невинтовых сегментов уменьшается. Механическое поведение ОЦК-металлов тогда становится похожим на поведение кристаллов с ГЦК-решеткой [8].
Считается, что эволюция структуры ГЦК-металлов зависит от ЭДУ, в отличие от ОЦК, в которых эта зависимость очень слабая [9]. Напротив, согласно Трефилову [1], эволюция дислокационной структуры ОЦК-металлов согласуется с ЭДУ: ЭДУ у металлов V группы (V, Nb, Ta) ниже, чем у соседних элементов из VI группы (Cr, Mo, W), и при этом у первых в ходе деформации отмечаются трудности в образовании ячеистой структуры с узкими границами.
В то же время в ряде исследований было показано, что ниобий и ванадий характеризуются низкими значениями Tc и напряжения Пайерлса, что приводит к относительно высокой подвижности дислокаций и делает деформационное поведение этих ОЦК-металлов схожим с поведением ГЦК-металлов [10-14]. Эволюция структуры ниобия при большой пластической деформации сдвигом под давлением (СПД) при комнатной температуре исследована во многих работах [15-18]. Как и в других металлах с достаточно высокой ЭДУ (Fe [19, 20], Mo [21], Ni [22]), при деформации Nb происходит сначала формирование ячеистой структуры, в которой в ходе большой пластической деформации развиваются ротационных моды и происходит переход к коллективным дисклинационным эффектам [23]. В результате СПД формируется разориентированная субмикрокристаллическая (СМК) структура. Наблюдаемое в Nb замедление упрочнения связывают с развитием динамического возврата [18] или миграцией границ зерен под действием внутренних напряжений, вызванных деформацией [16, 17]. Также следует отметить, что в ниобии в ходе деформации при комнатной температуре не происходят ни фазовые превращения, вызванные давлением, ни двойникование. В ванадии более низкая ЭДУ (100 и 200 мДж/м2 для V и Nb соответственно [24]) повышает вероятность двойникования, в частности, при повышении содержания примесей [25].
Эволюция структуры V при деформации, приводящей к формированию СМК-состояния, исследована пока недостаточно подробно [26-28]. Цель настоящей работы - изучение закономерностей изменения структуры ванадия, деформированного СПД при комнатной температуре, и его упрочнения в зависимости от величины деформации.
МАТЕРИАЛ И МЕТОДИКА ЭКСПЕРИМЕНТА
Исследовали ванадий чистотой 99.98 мас. %. Образцы были вырезаны из прокатанного листа, отожженного в вакууме при температуре 1100°С, 1 ч. Размер преимущественно равноосных зерен составлял несколько миллиметров (рис. 1а). В плоскости образца какой-либо четкой текстуры не зафиксировано, структура каждого образца до деформации была образована несколькими крупными зернами различной ориентировки (рис. 1).
Рис. 1. Исходная структура исследованного ванадия: а – ориентационная карта в цветах обратной полюсной фигуры (ОПФ); б – ОПФ. Данные EBSD-анализа.
Деформацию проводили методом сдвига под давлением в наковальнях Бриджмена без боковой поддержки [29, 30]. Давление при деформации составило 6 ГПа. Угол поворота наковальни (φ) варьировали от 0° (осадка без сдвига) до 3600° (10 оборотов наковальни). Образцы до деформации имели форму диска диаметром 5 мм и толщиной 0.3 мм. Истинную деформацию (е) рассчитывали с учетом толщины образца до и после деформации, угла поворота наковальни и расстояния до центра образца [21]. Исследованный интервал истинной деформации составил 0.4-10.7. Погрешность определения истинной деформации не превышала Δе = 0.2.
Измерение твердости методом Виккерса проводили по двум взаимно перпендикулярным диаметрам на каждом образце с шагом 0.25 мм при нагрузке 0.5Н на твердомере “Qness GmbH”, Австрия. Полученные на различных образцах результаты усредняли по интервалам истинной деформации 0.4. Погрешность измерения твердости составляла 7%.
Структуру деформированного ванадия исследовали с помощью просвечивающего электронного микроскопа (ПЭМ) JEM 200CX, Япония, при ускоряющем напряжении 160 кВ. Исследования проводили на расстоянии 1.5 ± 0.2 мм от центра образца. Фольги для ПЭМ получали механическим утонением и последующей электролитической полировкой. Образцы, деформированные СПД с углом поворота наковальни не более 15°, дополнительно исследовали на сканирующем электронном микроскопе (СЭМ) QUANTA 200 Pegasus, Нидерланды, с приставкой для анализа картин дифракции обратно рассеянных электронов (EBSD). EBSD-анализ проводили при ускоряющем напряжении 20 кВ, шаг сканирования составил 0.2-4.0 мкм. При анализе из рассмотрения исключали точки с индексом конфиденциальности (CI) ниже 0.1 и зерна, содержащие 4 и менее пикселей.
Средний размер элементов структуры определяли по результатам СЭМ-исследований методом секущих и ПЭМ-исследований методом обратных диаметров с погрешностью 5%.
РЕЗУЛЬТАТЫ
Эволюция структуры ванадия при СПД приведена на рис. 2-7. Деформация осадкой привела к формированию дислокационной ячеистой структуры (рис. 2а) и полос деформации (нескомпенсированных мезополос [31]), которые наблюдаются на разных масштабных уровнях (рис. 2б, 3а, б). Разориентировка на границах полос происходит скачком, его величина составляет от 15° до 55° (линия сканирования 1, рис. 3б). В ячеистой структуре разориентировка меняется плавно, но даже на значительном расстоянии (сотни микрон) в пределах одного исходного зерна накопленная разориентировка не превышает 13° (линия сканирования 2, рис. 3в).
Рис. 2. ПЭМ-изображение микроструктуры ванадия, деформированного осадкой (е = 0.4): а – светлопольное; б – темнопольное в рефлексе (21); в – микродифракция и схема расшифровки, оси зон [135] и [132].
Рис. 3. Микроструктура ванадия, деформированного осадкой (е = 0.4): а – ориентационная карта в цветах ОПФ с нанесенной схемой БУГ; б, в – изменение ориентировки вдоль линий сканирования 1 и 2 соответственно, A - разориентировка относительно исходной точки; B - разориентировка соседних точек. СЭМ.
Рис. 4. Гистограммы распределения элементов структуры по углам разориентировки: а – е = 0.4 (осадка); б - е = 0.7 (φ = 5°); в – е = 1.4 (φ = 15°). По данным EBSD-анализа.
Рис. 5. Микроструктура ванадия, деформированного с е = 1.4 (φ = 15°, а, б) и е = 2.5 (φ = 45°, в); а – ПЭМ-светлопольное изображение; б, в – темнопольные изображения в рефлексах типа (110) ОЦК и микродифракции на вставках, на рис. 5в стрелками указаны микрокристаллиты.
Рис. 6. Карты распределения кернер-разориентации, полученные в результате EBSD-анализа: а – е = 0.4 (осадка); б - е = 0.7 (φ = 5°); в - е = 1.4 (φ = 15°).
Рис. 7. СМК-структура ванадия и микродифракции (на вставках): а – е = 7.8 (3 об.); б – е = 9.8 (10 об.); ПЭМ-темнопольные изображения в рефлексе типа (110).
Анализ картин микродифракции (рис. 2в) показывает, что полосы деформации не находятся в двойниковой ориентировке по отношению к матрице. На гистограммах распределения элементов структуры по углам разориентировки (рис. 4а, б) видно, что после СПД с е < 1 (осадка и φ = 5°) доля малоугловых границ (МУГ) превышает 20%, а в области большеугловых границ (БУГ) не наблюдается четких пиков, соответствующих двойниковым разориентировкам (60° [25, 32]). Таким образом, в ванадии на начальных этапах деформации наряду с дислокационным скольжением наблюдается локализация деформации. При этом двойникования, как возможного механизма деформации, не обнаружено.
Деформационные полосы присутствуют в структуре и после большей деформации (рис. 5а, б). В ходе СПД с е = 1.4 (φ = 15°) происходит фрагментация полос, но не наблюдается образования новых полос, в которых фрагментация отсутствует. После этой деформации резко возрастает доля БУГ и соответственно изменяется форма распределения границ по углам разориентировки (рис. 4). Доля МУГ после СПД с е = 1.4 резко падает до 5%, а в области больших углов форма распределения практически соответствует таковой для ансамбля случайно ориентированных зерен [33] (рис. 4в).
Из экспериментальных EBSD-данных по картам распределения кернер-разориентации – между выбранной точкой (пикселем) и всеми соседними пикселями во второй координационной сфере (рис. 6) была рассчитана плотность геометрически необходимых дислокаций. Для расчета использовали выражение [34]:
, (1)
где a – постоянная (для ОЦК a = 2), b – вектор Бюргерса, x – шаг сканирования, θКАМ – средняя кернер-разориентация, определенная как средний угол разориентировки. Расчеты показали, что на начальном этапе деформации плотность дислокаций увеличилась на порядок: значение ρGND изменялось от 0.3 1014 1/м2 после е = 0.4 до 7 1014 1/м2 после е = 1.4.
Первые элементы структуры субмикронного размера, имеющие БУГ деформационного происхождения, микрокристаллиты, были зафиксированы в структуре ванадия после деформации е = 2.5 (указаны стрелками на рис. 5в). Продолжение деформации приводит к увеличению количества микрокристаллитов и снижению доли дислокационных ячеек. После деформации е = 7.8 дислокационные ячейки с малоугловыми границами уже не наблюдаются, т. е. происходит образование СМК-структуры (рис. 7а). Однако вплоть до е = 9.8 в пределах деформационных полос микрокристаллиты сохраняют близкие ориентировки (рис. 7б). Это свидетельствует о том, что образование полосовых структур на начальных этапах деформации оказывает заметное влияние на формирование СМК-структуры: в пределах исходной полосы затруднены развороты соседних микрокристаллитов.
По результатам СЭМ- и ПЭМ-исследования были построены гистограммы распределения элементов структуры по размерам (рис. 8), определены средние размеры (dср) и построена зависимость dср от истинной деформации (рис. 9а).
Рис. 8. Гистограммы распределения элементов структуры по размерам для ванадия, деформированного СПД: а – е = 0.4; б – е = 1.4; в – е = 5.1; г – е = 8.3.
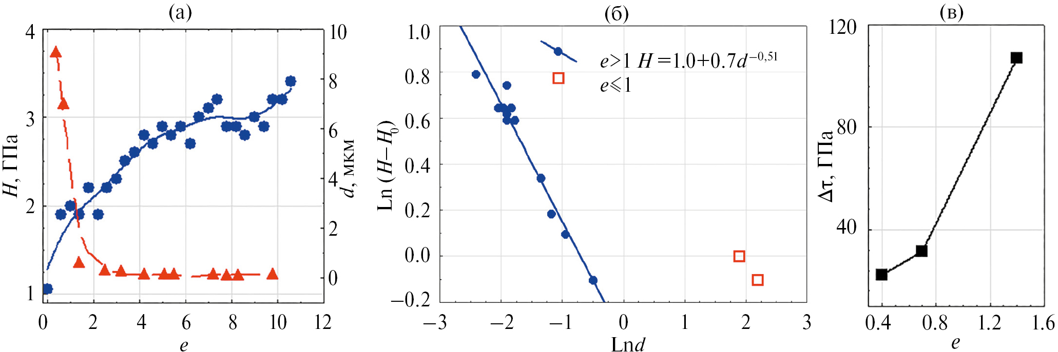
Рис. 9. Зависимость твердости (●) и среднего размера элементов структуры (▲) ванадия от истинной деформации (а) и определение вкладов в его упрочнение (б, в); б – установление параметров соотношения Холла-Петча, в – дислокационное упрочнение.
На рис. 8б видно, что в результате деформации с е = 1.4 (15°) элементы структуры (более 90%) измельчаются до субмикронных размеров и исчезают отдельные крупные элементы, которые образуют “хвост” распределения, наблюдающийся после деформации с е < 1 (рис. 8а). На рис. 9а зависимость также показывает, что в ванадии быстро происходит сильное измельчение структуры: средний размер элементов структуры составляет 170 нм после деформации е = 4. Затем, когда в структуре формируется значительное количество микрокристаллитов (деформация е > 5), их размер стабилизируется на уровне 140-150 нм. В этом случае гистограммы распределения по размерам практически не изменяются с ростом истинной деформации (рис. 8в, г).
На рис. 9а показана зависимость твердости ванадия от истинной деформации. Видно, что осадка под давлением 6 ГПа (е = 0.4) приводит к почти 2-кратному упрочнению ванадия. При увеличении истинной деформации до е = 7.0 твердость непрерывно растет, а далее в интервале 7.0-9.3 она практически не меняется. При деформации более 9.3 наблюдается дальнейший рост твердости. Максимально достигнутое значение твердости составляет 3.4 ГПа, что превышает значения 2.4-2.5 ГПа, полученные в работах [26–28] при деформации СПД на 10 оборотов наковальни ванадия чистотой 98.8, 99.9 и 99.8 мас. % соответственно. Авторы этих работ наблюдали выход деформации на установившуюся стадию, а в работе [28] констатировали развитие динамического возврата при увеличении угла поворота наковальни более 5 оборотов.
В работах [26-28] наименьший достигнутый размер зерна составлял 500-330 нм. Вероятно, формирование более дисперсной структуры в настоящей работе позволило получить более высокие значения твердости по сравнению с приведенными в литературе. Следует отметить, что в данных работах минимальная деформация составляла ¼ оборота, что, видимо, не позволило авторам наблюдать образования полосовых структур. Согласно нашему исследованию, после деформации с углом поворота наковальни 45° (1/8 об.) и более явные полосы деформации уже не наблюдаются (рис. 5в, рис. 7), об их былом присутствии свидетельствуют близкие ориентировки микрокристаллитов в пределах бывшей полосы. О возможной эволюции через образование полосовых структур может свидетельствовать тот факт, что в работе [26] даже после деформации на 10 оборотов наковальни наблюдали вытянутые зерна.
ОБСУЖДЕНИЕ
Как было отмечено во Введении, ванадий и ниобий отличаются низкими значениями критической температуры и напряжения Пайерлса, что определяет высокую подвижность дислокаций при сравнительно низких температурах. Однако эволюция структуры в ходе деформации СПД в этих материалах различна. В ванадии наряду с формированием ячеистой структуры происходит образование деформационных полос, которые не наблюдались в ниобии [18]. Кроме того, в ниобии деформация на стадии СМК-структуры практически не приводит к дальнейшему повышению твердости, тогда как в ванадии с СМК-структурой происходит рост твердости при деформации е > 9.3 (рис. 9а). Таким образом, можно предположить, что в V влияние динамического возврата меньше, чем в ниобии. Следует отметить, что график зависимости твердости от истинной деформации для ванадия подобен таковому для железа [20]: начальная стадия деформации с быстрым упрочнением сменяется интервалом, в котором упрочнение практически отсутствует, а затем происходит дальнейший рост твердости (рис. 9а). Однако в железе в ходе деформации СПД при комнатной температуре полосы деформации не образуются. Возможно, прекращение деформационного упрочнения при большой деформации ниобия вследствие развития динамического возврата, связано с более высоким, чем у железа и ванадия значением ЭДУ.
Образование полос деформации в ванадии может быть связано с особенностями взаимодействия “вакансия-дислокация”. В работе [35] разработана модель деформации ОЦК-металлов, согласно которой существует температура деформации T0, ниже которой затруднено взаимодействие дислокации с вакансией. Согласно модели, для Fe –Т0=229-245 К, а для V – Т0=396 К. Кроме того, рассчитанная в работе [35] энергия миграции вакансий в V значительно выше, чем в Fe (125.4 и 73.3 кДж/моль соответственно). Таким образом, в ходе деформации при комнатной температуре (300 К) в ванадии должно быть затруднено переползание дислокаций, так как, во-первых, температура деформации ниже Т0 и, во-вторых, высокое значение имеет энергия миграции вакансий. Это приводит на начальных этапах деформации (е < 1) к затруднению образования ячеистой структуры и создает условия для локализации деформации, проявляющейся в образовании полосовых структур. Такие малые деформации при сдвиге под давлением реализуются только при малых углах порота наковальни и соответствуют началу зависимости “Н-е” на рис. 9а, где присутствует малое количество значений. Таким образом, проведенный в настоящей работе эксперимент не позволяет подробно изучить эволюцию полосовых структур, можно только утверждать, что в ходе деформации происходит их фрагментация. Однако такая локализация деформации существенно повлияла на последующую эволюцию структуры, поскольку в пределах полосы развороты элементов структуры оказались затруднены. В результате формирование СМК-структуры произошло в ванадии при значительно большей деформации, чем в железе (7.8 и 5.3 [36]). Следует отметить, что образование первых микрокристаллитов в V и Fe происходит при близких значениях истинной деформации (2.5 и 3.0 [36] соответственно). Увеличение истинной деформации, необходимой для перехода на стадию СМК-структуры, обусловленное наличием полосовых структур различных типов, было ранее отмечено и в других материалах, например в конструкционной стали со структурой реечного мартенсита [37], в аустенитной нержавеющей стали, Ti и Zr, склонных к барическим превращениям [38-40], а также при криогенной деформации железа и никеля, на начальных этапах которой происходило деформационное двойникование [41, 42].
В работе [9] показано, что основной вклад в упрочнение чистых металлов в ходе СПД вносят главным образом границы зерен и дислокации. Зернограничное упрочнение определяется уравнением Холла-Петча [9]:
, (2)
где d - размер зерна (или субзерна, но в этом случае показатель степени изменится до –1), k – константа для данного материала. Для оценки механических свойств нано- и субмикрокристаллических материалов обычно используют значения твердости в качестве напряжения течения [43-45]. Для установления параметров уравнения “Н – d-n” была построена зависимость ln (H – H0) от lnd (рис. 9б). За H0 приняли значение 1 ГПа, соответствующее микротвердости недеформированного крупнозернистого V, структура которого приведена на рис. 1. На рис. 9б видно, что после деформации с е > 1 экспериментальные значения аппроксимируются прямой линией. Расчет приводит к уравнению типа Холла-Петча, в котором k = 0.7 (ГПа мкм1/2), а n = 0.51, что близко к значению 1/2, характерному для зеренной структуры. Значения твердости ванадия, деформированного с е < 1, не ложатся на полученную зависимость (рис. 9б), т. е. твердость ванадия возрастает значительно быстрее, чем это можно ожидать согласно уравнению (2). В настоящей работе экспериментально установлено, что при истинной деформации с е < 2 в ванадии происходит резкий рост плотности дислокаций.
Вклад дислокаций в упрочнение может быть оценен согласно выражению [9]:
, (3)
где α - эмпирическая константа, равная 0.3; G – модуль сдвига, 53.2 ГПа; b – вектор Бюргерса, 0.262 нм для V [46]; ρ – плотность дислокаций, м-2. Общая плотность дислокаций представляет собой сумму плотности статистически сохраненных дислокаций (ρS) и плотности геометрически необходимых дислокаций (ρGND) [47]. Как показано в работах [48, 49], при СПД плотность геометрически необходимых дислокаций может превышать плотность статистически сохраненных в 3 раза. В этом случае упрочнение материала будет контролироваться геометрически необходимыми дислокациями. Подставив в выражение (3) полученные по выражению (1) данные ρGND, можно оценить, как меняется вклад дислокационного упрочнения на начальном этапе деформации до е = 2 (рис. 9в). Анализ рис. 9 позволяет заключить, что основной вклад в упрочнение ванадия при СПД на начальной стадии (е < 1) вносят дислокации, а при дальнейшей деформации – большеугловые границы, доля которых после е = 1.4 уже превышает 90% (рис. 4). Доминирующая роль зернограничного упрочнения отмечалась и ранее. Например, в работе [50] было показано возрастание вклада зернограничного упрочнения при измельчении элементов СМК-структуры железа.
ЗАКЛЮЧЕНИЕ
В ванадии, деформированном сдвигом под давлением, на начальном этапе (при е < 1) наряду с формированием дислокационной ячеистой структуры происходит локализация деформации, которая приводит к образованию полосовых структур – полос деформации.
Начальный этап (е < 1) характеризуется интенсивным деформационным упрочнением. В этом случае твердость растет значительно быстрее, чем можно ожидать согласно уравнению типа Холла-Петча. При большей деформации упрочнение подчиняется уравнению Холла–Петча с показателем степени близким к –1/2, характерным для зеренной структуры. Таким образом, основной вклад в упрочнение ванадия при СПД на начальном этапе вносят дислокации, а при дальнейшей деформации – большеугловые границы.
Сравнение эволюции структуры ванадия и железа при деформации методом СПД позволило выявить влияние локализации деформации при формировании полосовых структур на достижение в ванадии СМК-состояния. Локализация деформации не влияет на образование первых микрокристаллитов, но способствует переходу к СМК-структуре при более высоком значении истинной деформации, т. е. удлиняет стадию существования структуры смешанного типа.
Работа выполнена в рамках государственного задания Минобрнауки России для ИФМ УрО РАН (тема “Давление”, № 122021000032-5). Электронно-микроскопическое исследование выполнено в ЦКП “Испытательный центр нанотехнологий и перспективных материалов” ИФМ УрО РАН.
Авторы данной работы заявляют, что у них нет конфликта интересов.
About the authors
T. M. Gapontseva
Mikheev Institute of Metal Physics, Ural Branch, Russian Academy of Sciences
Email: highpress@imp.uran.ru
Russian Federation, Ekaterinburg, 620108
T. I. Chashchukhina
Mikheev Institute of Metal Physics, Ural Branch, Russian Academy of Sciences
Email: highpress@imp.uran.ru
Russian Federation, Ekaterinburg, 620108
L. M. Voronova
Mikheev Institute of Metal Physics, Ural Branch, Russian Academy of Sciences
Author for correspondence.
Email: highpress@imp.uran.ru
Russian Federation, Ekaterinburg, 620108
M. V. Degtyarev
Mikheev Institute of Metal Physics, Ural Branch, Russian Academy of Sciences
Email: highpress@imp.uran.ru
Russian Federation, Ekaterinburg, 620108
V. P. Pilyugin
Mikheev Institute of Metal Physics, Ural Branch, Russian Academy of Sciences
Email: highpress@imp.uran.ru
Russian Federation, Ekaterinburg, 620108
K. Yu. Karamyshev
Mikheev Institute of Metal Physics, Ural Branch, Russian Academy of Sciences
Email: highpress@imp.uran.ru
Russian Federation, Ekaterinburg, 620108
References
- Трефилов В.И., Мильман Ю.В., Фирстов С.А. Физические основы прочности тугоплавких металлов. Киев: Наукова думка, 1975. 316 с.
- Weinberger C.R., Boyce B.L., Battaile C.C. Slip planes in bcc transition metals //International Mater. Rev. 2013. V. 58. № 5. Р. 296314.
- Swinburne T.D., Dudarev S.L., Fitzgerald S.P., Gilbert M.R., Sutton A.P. Theory and simulation of the diffusion of kinks on dislocations in bcc metals // Phys. Rev. B. 2013. V. 87. Р. 064108.
- Yang Cao, Song Ni, Xiaozhou Liao, Min Song, Yuntian Zhu. Structural evolutions of metallic materials processed by severe plastic deformation // Mater. Sci. Eng. R. 2018. V. 133. P. 1–59.
- Kraych A., Clouet E., Dezerald L., Ventelon L., Willaime F., Rodney D. Non-glide effects and dislocation core fields in BCC metals // Comp. Mater. 2019. V. 5. P. 109.
- Bienvenu B., Dezerald L., Rodney D., Clouet E. Ab initio informed yield criterion across body-centered cubic transition metals // Acta Mater. 2022. V. 236. P. 118098.
- Firstov S.A. Deformation Substructure and Mechanical Properties of BCC-Polycrystals / In: Conference of Nanomaterials by severe plastic deformation: Fundamentals Processing Application (NanoSPD2) / Eds. M.J. Zehetbauer, R.Z. Valiev. Proc. 2nd. Vienna, Austria, 2002. P. 72–79.
- Tang M., Kubin L.P., and Canova G.R. Dislocation mobility and the mechanical response of b.c.c. single crystals: a mesoscopic approach // Acta Mater. 1998. V. 46. № 9. P. 3221–3235.
- Starink M.J., Cheng X., Yang S. Hardening of pure metals by highpressure torsion: A physically based model employing volume-averaged defect evolutions // Acta Mater. 2013. V. 61. № 1. Р. 183–192.
- Kim J.-Y., Jang D., Greer J.R. Tensile and compressive behavior of tungsten, molybdenum, tantalum and niobium at the nanoscale // Acta Mater. 2010. V. 58. P. 2355.
- Shpeǐzman V.V., Nikolaev V.I., Smirnov B.I., Lebedev A.B., Kopylov V.I. Low-temperature deformation of nanocrystalline niobium // Phys. Solid State. 2000. V. 42. № 6. P. 1066.
- Han S.M., Feng G., Jung J.Y., Jung H.J., Groves J.R., Nix W.D., Cui Y. Critical-temperature/Peierls-stress dependent size effects in body centered cubic nanopillars // Appl. Phys. Lett. 2013. V. 102. P. 041910.
- Seung Min Han, Tara Bozorg-Grayeli, Groves J.R., and William D. Nix Size effects on strength and plasticity of vanadium nanopillars // Scripta Mater. 2010. V. 63. P. 1153–1156.
- Yilmaz H., Williams C.J., Risan J., Derby B. The size dependent strength of Fe, Nb and V micropillars at room and low temperature // Materialia. 2019. V. 7. P. 100424.
- Попова Е.Н., Попов В.В., Романов Е.П., Пилюгин В.П. Влияние степени деформации на структуру и термическую стабильность нанокристаллического ниобия, полученного сдвигом под давлением // ФММ. 2007. Т. 103. № 4. С. 426–432.
- Popov V.V., Popova E.N., Stolbovsky A.V., Pilyugin V.P. The Structure of Nb obtained by severe plastic deformation and its thermal stability // Mater. Sci. Forum. 2011. V. 409. P. 667–669.
- Popov V.V., Popova E.N., Stolbovskiy A.V. Nanostructuring Nb by various techniques of severe plastic deformation // Mater. Sci. Eng. A. 2012. V. 539. P. 22–29.
- Гапонцева Т.М., Дегтярев М.В., Пилюгин В.П., Чащухина Т.И., Воронова Л.М., Пацелов А.М. Влияние температуры деформации в наковальнях Бриджмена и исходной ориентировки на эволюцию структуры монокристаллического ниобия // ФММ. 2016. Т. 117. № 4. С. 349–361.
- Vorhauer A., Pippan R. On the Onset of a Steady State in Body-Centered Cubic Iron during Severe Plastic Deformation at Low Homologous Temperatures // Metall. and Mater. Trans. A. 2008. V. 39. P. 417–429.
- Дегтярев М.В., Воронова Л.М., Чащухина Т.И., Выходец Б.В., Давыдова Л.С., Куренных Т.Е., Пацелов А.М., Пилюгин В.П. Образование и эволюция субмикрокристаллической структуры в чистом железе при сдвиге под давлением // ФММ. 2003. Т. 96. № 6. С. 100–108.
- Voronova L.M., Chashchukhina T.I., Gapontseva T.M., Patselov A.M., Pilyugin V.P., Degtyarev M.V. Effect of single-crystal orientation on the molybdenum structure and hardness upon high pressure torsion // Intern. J. Refract. Met. Hard Mater. 2022. V. 103. P. 105754.
- Смирнова Н.А., Левит В.И., Пилюгин В.П., Кузнецов Р.И., Давыдова Л.С., Сазонова В.А. Эволюция структуры ГЦК монокристаллов при больших пластических деформациях // ФММ. 1986. Т. 61. № 6. С. 1170–1177.
- Владимиров В.И., Романов А.Е. Дисклинации в кристаллах. Л.: Наука, 1986. 224 с.
- Носкова Н.И. Дефекты и деформация монокристаллов. Екатеринбург: УрО РАН, 1995. 183 с.
- Gröger R., Chlup Z., Kuběnová T. Deformation twinning in vanadium single crystals tested in compression at 77 K // Mater. Sci. & Eng. A. 2018. V. 737. № 8. P. 413–421.
- Hohenwarter A., Wurster S. Deformation and fracture characteristics of ultrafine-grained vanadium // Mater. Sci. & Eng. A. 2016. V. 650. P. 492–496.
- Lee S., Edalati K., and Horita Z. Microstructures and Mechanical Properties of Pure V and Mo Processed by High-Pressure Torsion // Mater. Trans. 2010. V. 51. No. 6. P. 1072–1079.
- Huang Y., Lemang M., Zhang N.X., Pereira P.H.R., Langdon T.G. Achieving superior grain refinement and mechanical properties in vanadium through high-pressure torsion and subsequent short-term annealing // Mater. Sci. & Eng. A. 2016. V. 655. P. 60–69.
- Zhilyaev A.P. and Langdon T.G. Using high-pressure torsion for metal processing: Fundamentals and applications // Prog. Mater. Sci. 2008. V. 53. P. 893–979.
- Pereira P.H.R. and Figueiredo R.B. Finite Element Modelling of High-Pressure Torsion: An Overview // Mater. Trans. 2019. V. 60. № 7. Р. 1139–1150.
- Рыбин В.В. Большие пластические деформации и разрушение металлов. М: Металлургия, 1986. 224 с.
- Di Wan, Afrooz Barnoush. Plasticity in cryogenic brittle fracture of ferritic steels: Dislocation versus twinning // Mater. Sci. & Eng. A. 2019. V. 744. P. 335–339.
- Humphreys F.J. Review grain and subgrain characterization by electron backscatter diffraction // J. Mater. Sci. 2001. V. 36. P. 3833–3854.
- Calcagnotto M., Ponge D., Demir E., Raabe D. Orientation gradients and geometrically necessary dislocations in ultrafine grained dual-phase steels studied by 2D and 3D EBSD //Mater. Sci. & Eng. A. 2010. V. 527. P. 2738–2746.
- Galindo-Nava E.I., Rivera-Dı´az-del-Castillo P.E.J. Modelling plastic deformation in BCC metals: Dynamic recovery and cell formation effects // Mater. Sci. & Eng. A. 2012. V. 558. P. 641–648.
- Talantsev E.F., Degtyarev M.V., Chashchukhina T.I., Voronova L.M., and Pilyugin V.P. Piecewise Model with Two Overlapped Stages for Structure Formation and Hardening upon High-Pressure Torsion // Metal. Mater. Trans. A. 2021. V. 52. P. 4510–4517.
- Дегтярев М.В., Воронова Л.М., Чащухина Т.И. Особенности формирования и рекристаллизации субмикрокристаллической структуры закаленной стали 20Г2Р. Ч.1. Эволюция структуры при деформации сдвигом под давлением // ФММ. 2005. Т. 99. № 4. С. 75–82.
- Чащухина Т.И., Дегтярев М.В., Воронова Л.М. Формирование ультрадисперсной структуры в аустенитной стали, устойчивой к фазовому превращению под давлением // Изв. РАН. Сер. физическая. 2007. Т. 71. № 2. С. 287–289.
- Edalati K., Daio T., Arita M., Lee S., Horita Z., Togo A., Tanaka I. High-pressure torsion of titanium at cryogenic and room temperatures: Grain size effect on allotropic phase transformations // Acta Mater. 2014. V. 68. P. 207–213.
- Егорова Л.Ю., Хлебникова Ю.В., Пилюгин В.П., Реснина Н.Н. Калориметрия и особенности обратного ω→α фазового превращения в псевдомонокристаллах Zr и Ti // ФММ. 2022. Т. 123. № 5. С. 515–521.
- Пилюгин В.П., Воронова Л.М., Дегтярев М.В., Чащухина Т.И., Выходец В.Б., Куренных Т.Е. Эволюция структуры чистого железа при низкотемпературной деформации под высоким давлением // ФММ. 2010. Т. 110. № 6. С. 590–599.
- Пилюгин В.П., Гапонцева Т.М., Чащухина Т.И., Воронова Л.М., Щинова Л.И., Дегтярев М.В. Эволюция структуры и твердости никеля при холодной и низкотемпературной деформации под давлением // ФММ. 2008. Т. 105. Вып. 4. С. 438–448.
- Marulanda Cardona D.M., Wongsa-Ngam J., Jimenez H., Langdon T.G. Effects on hardness and microstructure of AISI 1020 low-carbon steel processed by high-pressure torsion // J. Mater. Res. Technol. 2017. V. 6. № 4. Р. 355.
- Dangwal S., Edalati K., Valiev R.Z. and Langdon T.G. Breaks in the Hall–Petch Relationship after Severe Plastic Deformation of Magnesium, Aluminum, Copper, and Iron // Crystals. 2023. V. 13. P. 413.
- Wu X.L., Zhu Y.T., Wei Y.G., Wei Q. Strong Strain Hardening in Nanocrystalline Nickel // Phys. Rev. Lett. 2009. V. 103. P. 205504.
- Yilmaz H., Williams C.J., Risan J., Derby B. The size dependent strength of Fe, Nb and V micropillars at room and low temperature // Materialia. 2019. V. 7. P. 100424.
- Zhuang Z., Liu Z., Cui Y. Strain Gradient Plasticity Theory at the Microscale / in Dislocation Mechanism-Based Crystal Plasticity. Theory and Computation at the Micron and Submicron Scale. 2019. P. 57–90.
- Tirsatine K., Baudin T., Mathon M.-H., Helbert A.-L., Brisset F., Bradai D. On the stored energy evolution after accumulative roll-bonding of invar alloy // Mater. Chem. Phys. 2017. V. 201. № 1. P. 408.
- Ashby M.F. The deformation of plastically non-homogeneous materials // Philos. Mag. A J. Theor. Exp. Appl. Phys. 1970. V. 21 (170). P. 399.
- Дегтярев М.В., Чащухина Т.И., Воронова Л.М. Зависимость твердости от параметров ультрадисперсной структуры железа и конструкционных сталей // ФММ. 2004. Т. 98. № 5. С. 98–110.
Supplementary files










